清华大学校友团队:DeepSeek出手终结ResNet十年统治

免费影视、动漫、音乐、游戏、小说资源长期稳定更新! 👉 点此立即查看 👈
新智元报道
编辑:桃子 好困
【新智元导读】2026年架构革命的枪声已经打响!ResNet用十年证明了「加法捷径」能救训练,但也暴露了「只加不减」的天花板。DeepSeek新年王炸之后,普林斯顿和UCLA新作DDL让网络学会忘记、重写和反转。
新年第一天,DeepSeek祭出大杀器——mHC,对「残差连接」做出了重大改进,引爆全网。
紧接着,另一篇重磅研究诞生了!
斯坦福著名教授Christopher Manning读完后直言,「2026年,将成为改进残差连接之年」。
拓展阅读:刚刚,DeepSeek扔出大杀器,梁文锋署名!暴力优化AI架构


这篇来自普林斯顿和UCLA新研究,提出了一个全新架构:Deep Delta Learning(DDL)。
它不再把「捷径」(shortcut)当作固定的恒等映射,而让它本身也能学习并随数据变化。

论文地址:https://github.com/yifanzhang-pro/deep-delta-learning/blob/master/Deep_Delta_Learning.pdf
一个是mHC流形约束超连接,一个是DDL深度增量学习,几乎在同一时间,传递出一个强烈的信号:
残差连接,正在进入一个必须被重新设计的时代。


那么,这篇论文主要解决了什么问题?
ResNet用了十年「加法」
终于被改写了
2015年,ResNet(残差网络)横空出世后,「加法捷径(shortcut)」几乎成为了深度网络的默认配置。
它解决了梯度消失的难题,撑起了现代深度学习的高楼。

ResNet通过残差学习,解决了深度神经网络训练中的核心难题——层数加深,AI性能不升反降。
ResNet为什么能训得这么深?
因为它只做了一件极其「保守」的事,当深度网络什么都学不会的时候,至少别把输入弄坏。
如今,无论是CNN、ViT,还是各种混合架构,那条「直接把输入加回去」的残差连接,成为了标配。
这套架构设计稳定的同时,也带来了一个后果——
神经网络几乎只会累加信息,却很难修改状态。
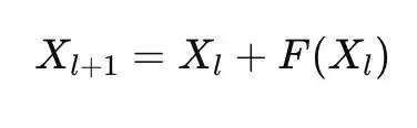
经典ResNet核心更新公式非常简单:

从动力系统角度看,它等价于对微分方程做一步前向欧拉离散。
这意味着,对应的线性算子所有特征方向的特征值都是+1,网络只能「平移」状态,而不能反转、选择性遗忘。
换句话说,旧特征很难被彻底清除,中间表示几乎不会被「反转」,深度网络在表达复杂动态时,显得有些笨重。
如果「捷径」永远只是恒等映射,深度神经网络不够灵活,本质上只能「加法叠加」。
来自普林斯顿和UCLA的最新论文,第一次系统性提出——
这条「捷径」,其实限制了深度神经网络的想象力。
此外,近期一些研究还指出,缺乏负特征值,是深度网络建模能力的隐形天花板。
让深度网络学会「忘记」
如果允许「捷径」本身可以被学习,可以选择性遗忘,甚至可以反转某些特征,会发生什么?
DDL给出的答案是:用一个rank-1的线性算子,替代固定的identity shortcut。
简单来说,DDL把ResNet的「固定加法捷径」,升级成了一个可控的状态更新机制。
其核心变化只有一个——
每一层不再只是加新东西,而会先决定:要不要保留旧状态。

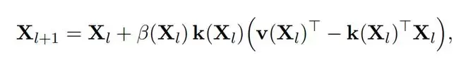
在这个全新架构中,引入了一个非常关键的标量β,这个数值决定了当前层如何对待已有特征。
增量残差块
DDL不再把隐藏状态,看成一个向量,而是一个矩阵

这个设计,让网络状态具备了「记忆矩阵」的含义,也为后续的Delta Rule的对齐埋下了伏笔。
其核心更新公式如下所示:

而DDL真正的关键所在,是Delta Operator,让「捷径」不再是I,而是

这是一个rank-1 的对称线性算子,其谱结构异常简单。即d−1个特征值恒为1,只有一个特征值是1−β。
换句话说,一个标量β,就能精确控制某个特征方向的命运。
DDL将三种几何行为,统一在一个模块中,以下当β ∈ [0, 2]时,不同情况——
当β接近0时,DDL什么都不做
这一层几乎被跳过,DDL的行为和ResNet完全一致,非常适合深层网络的稳定训练。
当β接近1时,DDL会先忘掉,再写入
这时,网络会主动「清空」某个特征方向,再写入新的内容,类似一次精准的状态重置。
这也恰恰是,传统ResNet很难做到的事。
当β接近2时,DDL就会实现特征反转
某些特征会被直接「翻转符号」,深度网络第一次具备了「反向表达」的能力,这对建模振荡、对立关系非常关键。
值得注意的是,它还出现了负特征值,这是普通残差网络几乎不可能产生的行为。
目前,论文主要提出了DDL核心方法,作者透露实验部分即将更新。

残差网络,2.0时代
为什么这一方法的提出,非常重要?
过去十年,传统残差网络的一个隐患是:信息只加不减,噪声会一路累积。
DDL明确引入了忘记、重写、反转,让网络可以主动清理无用特征,重构中间表示,让建模成为非单调动态过程。
神经网络可以自己决定,如何处理输入的信息。
DDL不会推翻ResNet,当门控(gate)关闭时,它就是普通残差网络,当它完全打开时,便进入了全新的表达空间。

ResNet让深度学习进入了「可规模化时代」,而DDL提出的是下一步——
让深度神经网络不仅稳定,而且具备真正的状态操控能力。
也许多年后回头看,残差网络真正的进化,不仅仅是更深,还会改自己。
最后的最后,我们让ChatGPT分别总结下DDL和mHC的核心贡献:

一位网友对这两种革命性架构的亮点总结:

这一切,只说明了一件事:残差连接,真正被当成「可设计对象」来认真对待。
这就像是一个「时代切换」的信号,过去模型变强=更大+更深+更多参数,现在「模型变强=更合理的结构约束」。
作者介绍
Yifan Zhang
Yifan Zhang是普林斯顿大学的博士生,也是普林斯顿AI实验室的Fellow,师从Mengdi Wang教授、姚期智教授和Quanquan Gu教授。
此前,他获得了清华大学交叉信息研究院计算机科学硕士学位并成为博士候选人;本科毕业于北京大学元培学院,获数学与计算机科学理学学士学位。
个人研究重点是:构建兼具高扩展性和高性能的LLM及多模态基础模型。
Yifeng Liu

Yifeng Liu是加州大学洛杉矶分校的计算机博士,本科毕业于清华信息科学与技术学院,姚班出身。
Mengdi Wang

Mengdi Wang是普林斯顿大学电气与计算机工程系以及统计与机器学习中心的副教授。
她曾获得了MIT电气工程与计算机科学博士学位,在此之前,她获得了清华大学自动化系学士学位。
个人研究方向包括机器学习、强化学习、生成式AI、AI for science以及智能系统应用。
Quanquan Gu

Quanquan Gu是UCLA计算机科学系的副教授,同时领导UCLA通用人工智能实验室。
他曾获得伊利诺伊大学厄巴纳-香槟分校计算机科学博士学位,分别于2007年和2010年获得了清华大学学士和硕士学位。
个人研究方向是人工智能与机器学习,重点包括非凸优化、深度学习、强化学习、LLM以及深度生成模型。
参考资料:
https://x.com/chrmanning/status/2006786935059263906
https://x.com/yifan_zhang_/status/2006674032549310782?s=20
https://github.com/yifanzhang-pro/deep-delta-learning/blob/master/Deep_Delta_Learning.pdf
秒追ASI
⭐点赞、转发、在看一键三连⭐
点亮星标,锁定新智元极速推送!

相关攻略
在大模型时代,资源瓶颈不只是硬件问题,更是数学问题。作者|王艺3月25日美股开盘,存储芯片板块集体遭遇“黑色时刻”。美光科技收跌4%,西部数据下跌4 4%,SK海力士跌去5 6%,闪迪更是重挫6 5
破解算力问题,降低模型所需的存算空间,有很多种途径,是减少训练时算力,还是减少推理时算力?稀疏化、量化、压缩、蒸馏等手段,都是方法之一。只是当前鉴于不同方法的优势特征,各家模型企业及研究机构都会选择
马斯克亲自点赞,Kimi动了十一年没人敢碰的东西导语: AI界最“理所当然”的设计之一,终于被质疑了科技博主Avi Chawla在X上发了一条长帖,详细拆解了月之暗面Kimi团队刚刚发布的一篇技术报
机器之心编辑部新年第一天,DeepSeek 发布了一篇新论文,提出了一种名为mHC(流形约束超连接)的新架构。该研究旨在解决传统超连接在大规模模型训练中的不稳定性问题,同时保持其显著的性能增益 。简
新智元报道编辑:桃子 好困【新智元导读】2026年架构革命的枪声已经打响!ResNet用十年证明了「加法捷径」能救训练,但也暴露了「只加不减」的天花板。DeepSeek新年王炸之后,普林斯顿和UCL
热门专题
热门推荐
技能深度解析 异端审判者的技能体系颇具深度,若想在DNF的VP(团队副本)模式中表现出色,对技能的遴选与搭配便需深思熟虑。每个技能都肩负着独特使命,需综合权衡其爆发伤害、辅助效益与技能循环的流畅度。核心输出技如【怒火蔓延】,不仅伤害总量可观,且攻击范围宽广,是应对群体敌人、提供稳定持续输出的中坚力量
斗破仙境:宗门掌门培养核心弟子的进阶策略 在斗破仙境中,如何培养出能独当一面的核心弟子,是每个宗门掌门成功的关键。弟子作为宗门的基石与未来,其成长速度与潜力上限,直接决定了宗门在**修仙世界**的地位。本文将系统性地为您解析,如何通过全方位的培养策略,让弟子从璞玉蜕变成为真正的**顶尖强者**。 从
明日之后×灵笼联动今日开启:临渊对决,为生存而战 废墟之上,噬极兽的嘶吼已然划破寂静;战备区内,重立体引擎的轰鸣正在集结最后的幸存者。这场被无数玩家期待已久的生存之战,于今日正式拉开帷幕。 4月2日,《明日之后》与国产动画巅峰《灵笼》的史诗级联动版本“临渊对决”震撼上线。在这个末日危机交织的世界里,
三国天下归心追击灼烧队核心成员与搭配攻略 在策略手游《三国:天下归心》中,组建一支高爆发的追击灼烧队是许多玩家的目标。这套阵容的核心成员由三位关键英雄构成:陆逊、周瑜与蔡文姬。相较于经典的陆逊、周瑜、黄盖灼烧体系,本阵容的核心调整在于以蔡文姬替换黄盖。这一更换绝非简单置换,它显著提升了队伍的瞬间爆发
饼干人联盟扭蛋券获取与使用全攻略 在人气手游《饼干人王国》中,想要轻松通关与赢得对战,组建一支强力的饼干阵容至关重要。而获取新角色的核心途径,正是合理使用“扭蛋券”。本文将为你全面解析扭蛋券的获取途径、使用策略及抽卡技巧,帮助你在有限的资源下最大化收益,更快收集心仪的角色。无论你是新手玩家还是老手,





