Maple微分命令简介
借助maple处理数学问题,其强大的符号计算能力功不可没。maple支持符号和数值的微分操作,接下来将展示一些常用的maple微分指令。若想深入了解基础指令的具体应用,可以前往maple中文游戏查询。
免费影视、动漫、音乐、游戏、小说资源长期稳定更新! 👉 点此立即查看 👈
在左侧的表达式面板里,选择微分或者偏微分选项。
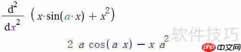
首先定义表达式及其自变量,然后执行求值过程。例如,求解 xsin(ax) 对 x 的一阶导数:



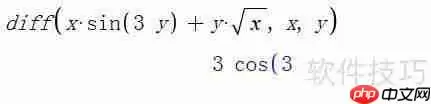
Maple利用diff命令来完成表达式的微分计算,常规格式为diff(expr, var),其中var代表微分变量。
举例来说:




相关攻略
mac系统数据变大是因为缓存文件、临时文件、系统日志和用户数据占用大量空间。1 使用“存储管理”工具查看和清理系统数据。2 使用df -h命令查看磁盘使用情况。3 使用第三方工具如
本项目基于ComfyUI探索爽文小说文生图,灵感源于高热度的爽文AI绘图视频。项目先介绍图生图基础操作,即通过拼接两个文生图工作流,将生成图片传入新K采样器实现再生成。还讲解进阶的
Mac 设备管理员用户丢失导致无权操作系统的问题解决方法: 此前的解决办法: 开机时按住 command+s,进入单用户模式后依次输入以下命令: sbin mount -u
您可以将外部存储设备或备用分区设置为 macOS 安装程序的启动磁盘。以下是高级步骤,主要面向系统管理员和其他熟悉命令行的用户。安装 macOS 时不需要可引导安装程序,但如果您需
飞书机器人响应延迟是一个常见问题,可能由多种因素引起。本文将指导您如何检查接口状态,从而定位并解决飞书机器人响应延迟的问题。检查机器人与飞书平台的连接首先,需要确认机器人是否能够正
热门专题
热门推荐
加密货币行业翘首以盼的监管里程碑,终于有了实质性进展。美国证券交易委员会(SEC)主席保罗·阿特金斯(Paul Atkins)近日证实,那份允许加密项目在早期获得注册豁免权的“安全港”框架提案,已经正式送抵白宫,进入了最终审查阶段。 在范德堡大学与区块链协会联合举办的数字资产峰会上,阿特金斯透露了这
微策略Strategy报告:第一季录得144 6亿美元浮亏 再斥资约3 3亿美元买进4871枚比特币 市场震荡的威力有多大?看看Strategy的最新季报就明白了。根据其最新向美国证管会(SEC)提交的8-K报告,受市场剧烈波动影响,这家公司所持的比特币在第一季度录得了一笔惊人的数字——144 6亿
稳定币巨头Tether的动向,向来是加密世界的风向标。这不,它向Web3基础设施的版图扩张,又迈出了关键一步。公司执行长Paolo Ardoino在社交平台X上透露,其工程团队正在全力“烹制”一个新项目——去中心化搜索引擎 “Hypersearch”。这个消息一出,立刻引发了行业的广泛猜想。 采用D
基地位于Coinbase旗下以太坊Layer2网络Base的Seamless Protocol,日前正式宣告了服务的终结。这个曾经吸引了超过20万用户的原生DeFi借贷协议,在运营不到三年后,终究没能跑赢时间。它主打的核心产品是Integrated Leverage Markets(ILMs)——一
PAAL代币揭秘:深度解析Web3社区治理的核心钥匙 在去中心化自治组织的浪潮中,谁真正掌握了项目的话语权?PAAL代币提供了一套系统化的答案。它不仅是生态内流转的价值媒介,更是开启链上治理大门的核心凭证。通过持有并质押PAAL代币,用户能够对协议升级、资金分配乃至战略方向等关键事务投出决定性的一票





