科学家首获神奇晶体“绝缘魔角”,无发热芯片或成未来关键
在一种神奇的晶体里,电子和它的孪生镜像——空穴,在强大磁场的撮合下不仅成功牵手,还组成了一个绝 缘小分队,这个小分队不会导电,但却能以一种特别的方式传递自旋信息。这便是自旋三重态。
免费影视、动漫、音乐、游戏、小说资源长期稳定更新! 👉 点此立即查看 👈
最近,刘金雨和所在团队在一种名为五碲化铪的材料中,首次在超强磁场下观察到了这种自旋三重态激子绝缘体,能为未来研发速度更快、能耗更低的自旋电子器件比如不发热的计算机芯片打开一扇崭新的大门。

(来源:https://doi.org/10.1103/bj2n-4k2w)
一场发生在微观世界的材料相遇
在材料世界里,电子就像一个个带有负电的小精灵, 而空穴则是它们离开后带正电的空座位。通常情况下,带相反电荷的电子和空穴会互相吸引,如果它们牵手成功,就会形成一个叫做激子的配对。
但这次的发现格外特别。在普通的激子中,电子和空穴的自旋方向(等效电子自旋而言)是相同的,对于自旋可以将其粗略理解为粒子的小磁针方向,这种配对叫做单重态。
而这次,刘金雨等人在超强磁场的帮助下,成功促成了自旋反向相反的电子和空穴的牵手,形成了三重态激子。这就像让两个旋转方向完全相反的小陀螺牢牢结合在一起一样,难度很大也很罕见。
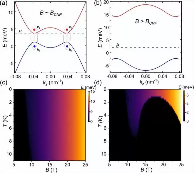
五碲化铪是一种拓扑材料,其内部结构好像一个迷宫。这个迷宫的特殊之处在于,它的导电性质非常敏感, 很容易被外部条件改变。
刘金雨等人把这个晶体放在极低温和超强磁场的极端环境中。当磁场强大到一定程度的时候,晶体内部电子门的运动会被严格限制,几乎只能沿着磁场方向排成一列行进。在这种状态之下,系统的行为发生了巨变。
随着磁场的继续增强,代表电子和空穴的两条关键能带,因为自旋被磁场极化的员工,开始彼此靠近最终交叉在一起,形成一个被称为一维外尔模式的状态。
他告诉 DeepTech:“总的来说,我们首次在拓扑材 料中,通过实验实现了自旋三重态激子绝缘体。此外,虽然存在其他材料体系的理论预言,但尚未被实验证实。同时,我们首次在实验上证实了基于第零级朗道能级可以形成自旋三重态激子绝缘体。”

(来源:https://doi.org/10.1103/bj2n-4k2w)
绝缘的真相:不是堵塞,而是完美的平衡
就在上述相遇的位置,此次研究发现材料的电阻在某个临界磁场之上突然开始急剧上升,这意味着它从金属变成了绝缘体,电流很难通过。但是奇怪的是,同时测量的霍尔信号却变成了零。
这通常意味着材料里既没有多余的电子,也没有多余的空穴,正负电荷达到了完美平衡,整体呈现出电中性。这就引出了一个核心问题:是什么导致了这种绝缘态?
这不仅仅是电子耗尽了,材料应该是不导电的,但是霍尔信号不会恰好为零。这种同时满足绝缘和电荷完美平衡的状态,强烈暗示着电子和空穴并没有消失或者耗尽,而是彼此束缚在了一起,形成了整体呈现出电中性的激子。它们就像一对对牢牢牵手的伙伴,虽然各自都带电,但是作为一个整体对外不显示电性,也不再通过自由移动去导电。
计算结果和模拟结果也支持了这一猜想,打开的这个绝缘能隙大约有 250 微电子伏特,正是一对自旋相反的三重态激子配对形成所需的能领。

(来源:https://doi.org/10.1103/bj2n-4k2w)
为什么是三重态?有何厉害之处?
与常见的单重态激子不同的是,这次发现的三重态激子有一些独特优势:首先是能够保持平移对称性,它们的形成不会破坏晶体结构的周期性,这意味着状态可能更加稳定和更加均匀;其次是与磁场兼容性更好,自旋三重态配对在高磁场之下可能比单重态更加稳定,这为在强场环境下的应用提供了可能;再次是承载自旋流,由于配对双方自旋相反,因此这种激子态可以携带和传输纯的自旋角动量,而不会伴随净电荷的流动。
电流是电荷的定向流动,会产生热量。这就是手机和电脑会发热和耗能的原因。那么,是否只传递信息的指令也就是自旋,而不搬运电荷本身,从而避免发热和能量损耗?
本次自旋三重态激子绝缘体的发现,让这个设想走进 了一步。它的性质是构建未来超低功耗自旋电子器件、甚至用于量子计算的潜在基础元件所梦寐以求的。

图 | 刘金雨(来源:刘金雨)
刘金雨表示:“基于本次成果,我们后续的研究计划将集中在器件制备上。目前,我们已经能够将该材料减薄到 10 纳米至几十纳米的厚度,并尝试制备门电压可调的器件,旨在从二维极限下探测相关的激子绝缘体或其他量子输运现象。”
其继续说道:鉴于不少理论预言的材料体系在零磁场下就是自旋三重态的激子绝缘体,如果能确证该非凡量子物态无需外加磁场即可在真实材料中自发、稳定存在,无疑将是一项突破性且更具有应用前景的实验进展。结合我的研究背景,我亦矢志投身于此方向的研究。
参考资料:
相关论文 https://doi.org/10.1103/bj2n-4k2w
运营/排版:何晨龙
相关攻略
近日,上海临港新片区传来核聚变领域的重磅突破,能量奇点能源科技(上海)有限公司自主研发的全球首台全高温超导托卡马克装置“洪荒70”,成功实现1337秒稳态长脉冲等离子体运行。这一成果让能量奇点成为全
宣称能降农残、嘌呤的“神锅”,靠苹果变色实验施“障眼法”。(02:51)在电商平台上售卖的有特殊功效的“养生锅”“能量锅”到底有何玄机“?近日,澎湃新闻“马上测工作室”在名为“有享猫”的APP购买并
记者从临港新片区了解到,近期,上海核聚变能源商业公司能量奇点自主研发的全球首台全高温超导托卡马克装置“洪荒70”,成功实现1337秒稳态长脉冲等离子体运行,成为全球唯一实现千秒级长脉冲运行的商业核
当前,中东战火正在扰动全球能源供给、加速能源转型。在新能源中,“人造太阳”也就是可控核聚变,被视为人类摆脱化石能源依赖的最后一块拼图,成为各国的竞争的战略制高点。最近,在上海临港,中国“人造太阳”实
韩国电子通信研究院研究团队近日在地下无线通信领域取得重要突破,研发出一款可穿透地层的类Wi-Fi无线组网技术,成功实现地表下100米深度的稳定通信,相关成果已发表于IEEEXplore期刊。传统地下
热门专题
热门推荐
通过AirDrop功能,可在iPhone16之间快速传输已安装的App,无需重新下载。 省去重新下载的等待,直接在两部iPhone 16之间“搬运”已经安装好的App——这个用AirDrop传App的功能,确实方便。不过,想顺利操作,有几个关键前提得先摆正。 准备工作与条件确认 开始之前,最好花一分
修改iPhone17设备名称的核心步骤 想给你的iPhone17换个独具特色的名字吗?其实很简单,整个操作的核心路径就在「设置」>「通用」>「关于本机」>「名称」里,几步就能完成自定义。 为什么要修改iPhone17的设备名称? 给iPhone17改个名,可不仅仅是图个新鲜。它在蓝牙配对、使用Air
解除iPhone14隐藏ID的核心方法是联系原机主或提供购买凭证,通过官方渠道重置Apple ID 手里突然多出一台被锁的iPhone 14,用起来处处受限,这事儿确实头疼。好消息是,只要遵循官方路径,问题基本都能解决。关键在于,你得有耐心走完正规流程。 什么是iPhone隐藏ID? 简单来说,iP
通过“查找”应用或iCloud网站,登录Apple ID即可实时定位iPhone 17,即使设备离线也能显示最后已知位置。 使用“查找”应用定位iPhone 17 如果你手边还有别的苹果设备,比如iPad或者Mac,最省事的方法就是直接用上面的“查找”应用。打开应用,登录和iPhone 17同一个
iPhone 16通知权限设置与微信提示音修复指南 微信消息突然“静音”了?先别急着怀疑手机坏了。在iPhone 16上,通知体系和声音管理比以往更精细,有时只是某个开关没到位。接下来,咱们就把系统通知中心、应用权限、勿扰模式这几个关键环节捋清楚,帮你快速找回失联的提示音,避免错过重要信息。 iPh





