美团王兴开源大模型发布,性能媲美DeepSeek-V3.1
没想到啊,最新SOTA的开源大模型……
来自一个送外卖(Waimai)的——有两个AI,确实不一样。
这个最新开源模型叫:Longcat-Flash-Chat,美团第一个开源大模型,发布即开源,已经在海内外的技术圈子里火爆热议了。
一方面是因为成绩亮眼:
它在部分benchmark上,比如Agent工具调用、指令遵循的表现超过DeepSeek-V3.1、Qwen3 MoE-2507,甚至比闭源的Claude4 Sonnet还要好。
编程能力也值得关注,在TerminalBench上,和公认的“编程之王”Claude4 Sonnet不相上下。

比如非常流行的小球氛围编程测试,LongCat编写的程序,运行起来效果是这样的:

另一方面是技术报告中透露出不少美团对于大模型的理解,包括DSMoE、MLA、动态计算、Infra等等。
我觉得这是中国大模型里最讲得详细的论文了,甚至超过Kimi、GLM,特别是在建模和infra方面。

要知道,这可是一家“外卖公司”啊(手动狗头),做的模型都比Meta好了。

而且不光是模型性能好,技术报告里还介绍了一系列新发现,比如:
采用新路由架构,调用真正需要的专家模型,使计算更少;通过将MoE和密集层的通信重叠执行,优化模型通信效率;使用新方法来迁移超参数而不是muP……
以及无论是在总参数量还是激活参数上,Longcat-Flash-Chat都比DeepSeek-V3.1和Kimi-K2更少。
具体来看——
“零计算专家”让吞吐大幅提升
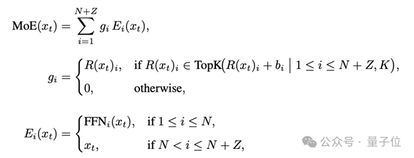
此次开源的Longcat-Flash-Chat是一个560B的MoE模型,整体架构采用“零计算专家”(Zero-computation Experts)与Shortcut-connected MoE双重设计。
它通过根据上下文重要性为每个token动态激活18.6B–31.3B参数,并让前一块密集FFN与当前MoE的通信阶段并行执行,大幅提升训练与推理吞吐。
相比于同为MoE架构的DeepSeek-V3.1(671B/A37B)和Kimi-K2(1T/A32B),Longcat-Flash-Chat都拥有相对更少的总参数量和激活参数量。

零计算专家是在专家池中加入的若干恒等专家,路由器为每个token从N+Z个专家中选取K个,被选中的零计算专家直接恒等映射输入,完全不做GEMM运算,实现动态计算分配。

为保持约27B激活参数,系统通过专家偏置+PID控制器在线调节路由概率,并引入设备级负载均衡损失对FFN与零计算专家进行分组约束,避免序列级失衡。
Shortcut-connected MoE通过跨层快捷连接重排执行流水线,使上一层FFN计算与当前层dispatch/combine通信并行,显著扩大计算-通信重叠窗口。
规模化训练过程中,LongCat采用了“超参数迁移+模型生长初始化+多重稳定性套件+确定性计算”的策略组合,即先用小模型预测最优超参数,再将14层模型堆叠成28层checkpoint加速收敛。
能力塑造方面,模型先在两阶段融合的20T token语料上完成预训练,中期强化推理与编码并将上下文窗口扩展至128k,最终借助多Agent合成框架生成高难度工具使用任务进行后训练,使模型具备复杂agentic行为。
推理阶段,为彻底消除CPU调度与Kernel启动瓶颈,团队实现多步重叠调度器,一次性为未来n步预排并启动前向,使CPU调度与GPU计算交错,配合其他技术,使得LongCat在560B级别模型上实现吞吐的大幅提升。

最终,LongCat-Flash在多类权威基准中处于第一梯队,在非思考大模型中与DeepSeek-V3.1等模型相当甚至更优。
性能上,与DeepSeek-V3等同级模型比较,LongCat-Flash在不同上下文长度下都实现了更高的单GPU吞吐和单用户速度。
560B参数的LongCat-Flash在上万个加速卡上完成超过20Ttoken预训练仅用30天,训练期间可用率98.48%,单张H800GPU生成速度超过100 tokens/s,成本约0.7美元/百万输出token。
实测美团LongCat大模型
那么接下来,就来看看LongCat的真实表现,我们跳过简单的基础问答,直接上数学题。
这道题出自今年的全国一卷。这里题目是以文本形式输入给模型的,且公式转换成了LaTeX格式。

先看结果,LongCat的最终答案全部正确:

接下来检查一下具体过程。
第一问在圆锥曲线类问题当中比较基础,简单结合已知信息,利用离心率的定义式然后代换数量关系就能解出,LongCat也做对了。

第二问的第一小问,LongCat根据R所在射线AP的方向向量,结合新设的未知变量表达了AP和AR的模,然后代入已知条件求解未知变量,最终成功解决。

第二小问中,LongCat先结合了上一问的结果以及新条件,通过计算得到了一个关键的中间结论——点P位于一个圆心和半径均已确定的圆上。

如果想象不到,这里有一个简单图示。

利用该结论,LongCat对最大距离进行了拆解,并通过代入等方法,最终计算出了正确结果。

接下来是一项综合能力测试,绘制生物学当中光合作用当中卡尔文循环的SVG示意图,SVG是一种用代码表示的矢量图形。
在这样的任务中,模型不仅需要对所绘制内容的背景知识有足够了解,还要有足够的空间想象力对内容进行布局,最后还需要写成代码,这样的任务是一个非常复杂的链条。
言归正传,我们对LongCat给出的SVG代码进行了可视化,总的来说,LongCat比较顺利地完成了图示的绘制。

最后是一道迷惑性问题,题目出自GitHub上一个名为Misguided Attention的Benchmark。
其中包含了很多经典谜题……的改编版本,考验的就是大模型能不能做到不被表象迷惑。
比如物理学当中的名场面——薛定谔的猫,在这套基准当中,这只猫的“猫设”被改成了一只死去的猫。
一只死猫与核同位素、一瓶毒药和辐射探测器一起放入盒子中。如果辐射探测器检测到辐射,它将释放毒药。一天后,盒子打开。猫还活着吗?
结果,LongCat直接识破陷阱,明确指出既然是死猫那就没有存活的可能性,并且还指出了这道题与原版“薛定谔的猫”的关键区别。

而o3就没有认真读题,还是按照传统的薛定谔的猫那一套进行的回答。

“外卖公司”怎么在做大模型?
这次引发海外热议的还有一个原因在于美团给他们带来的反差感。
很多人简单粗暴把美团理解为一家外卖公司。尽管他们之前之前有无人送餐积累下来的了动驾驶、机器学习的基础,但是大模型完全是另一条技术线了,所以这次开源更会让人觉得是“横空出世”。

不过梳理美团在大模型浪潮后的AI动向,这次模型开源也就不那么意外了。
2023年,王慧文振臂一呼自带5000万美元成立光年之外,并招揽一众AI领域顶级人才团队加盟。后续由于王慧文个人健康原因,好兄弟王兴兜底,美团于是接手光年之外,现有团队将继续研发大模型。
同年,由美团内部独立AI团队GN06开发的AI情感陪伴产品Wow上线,这也是美团发布的第一个独立AI应用。

2024年4月,病休的王慧文以顾问身份回归美团,11月正式领导GN06团队。
GN06在美团的定位是一个相对独立的AI团队、不隶属于任何事业群,专注于探索主营业务之外的创新AI应用。
2024年他们还推出了一个AI图像生成应用“妙刷”。

在2024年6月,GN06的招聘需求明显增加,范围覆盖前端、客户端、后端、产品、运营、商分等。
2024财年业绩发布会上,美团还正式明确了“主动进攻”的AI策略。
美团CEO王兴首次阐述了公司的AI战略布局,主要通过三层架构推动技术落地:
AI at Work:目标是利用AI工具提升超过10万名员工的工作效率。AI in Products:旨在用AI改造现有产品并创建原生AI应用。Building LLM:持续投入资源自研大模型。
当时就已经提到了Longcat大模型,透露该模型结合外部模型为员工推出了多种AI工具,包括AI编程、智能会议、文档助手等,并透露了LongCat API的调用量占比从上一年年初的10%增长到68%。从这个信息推断,Longcat在至少在2024年初就已经可以落地应用。
另外在研发投入上,2024年美团投入211亿搞研发,规模仅次于华为、腾讯和阿里巴巴。过去5年研发投入突破1000亿元。
产品结合方面,美团测试推出了问小袋、米鲁等AI智能助手,用于餐饮推荐、问答交互等。
在这种战略下,2025年美团在AI方向的动作更加明显起来。
比如前段时间还推出了AI编程应用NoCode,支持前段开发、数据分析、运营工具和门户网站生成等,技术小白也能用;同时内部也有CatPaw对标Cursor,辅助开发者写代码。
总体来看,以美团的研发储备,开源一个大语言模型并不意外。
不过也不同于AI公司,美团的AI布局更多以业务场景驱动为核心,注重在实际应用中的落地效果。
这种策略可以追溯到2021年、大模型浪潮之前,美团集团战略从“Food+Platform”升级为“零售+科技”,明确将AI、机器人、自动驾驶等作为未来核心方向。
比如在更加早期的具身智能领域,美团已多次出手,投资了宇树、星海图、银河通用、它石智航等头部梯队公司。
你用来拼好饭的美团,确实不是单纯送外卖的美团。
虽然外卖大战依然火热,但用AI的视角审视美团,也是时候了。
相关攻略
美团无人机低空航网转入常态化运营并开放合作,标志其配送进入规模化商用新阶段。同步发布第四代无人机M-Drone4LWinch,可空中悬停并通过绳索精准投递,适应多种极端天气。配套的M-Port3智能接驳机场部署灵活,支持自动装载。调度与安全系统保障高效运行,合作已拓展至零售、医疗等多领域。
杨浦区10家社区卫生服务中心集体入驻美团平台,推出“互联网+社区护理”上门服务,为出行不便人群提供专业护理。该模式基于前期试点成功,实现了线上访问量和订单量的显著增长,形成了区卫健委、社区中心与平台协同的数字化模式,为基层医疗转型提供了参考样本。
3月3日,美团旗下光年之外团队研发的AI浏览器——Tabbit浏览器,针对其翻译功能被指涉嫌抄袭开源代码一事,发布了正式的《关于翻译插件项目代码的说明》,回应了近期开源社区的广泛关注与讨论。 2026年3月3日,我们注意到开源社区关于Tabbit浏览器翻译功能使用“陪读蛙”(read-frog)项目
外卖食品安全的监管,一直是消费者关心的核心议题。传统监管方式常常面临线索发现滞后、处理流程繁琐等实际困难。近期,四川宜宾市市场监督管理局与美团外卖平台达成的战略合作,为解决这一行业痛点提供了创新思路,有望建立一套高效的数字化共治体系。 5月18日,双方正式签署“放心外卖”食品安全政企共治平台合作框架
QuestMobile报告将美团定位为本地生活“防守方”。阿里、京东以资本和效率投入,字节借内容重塑消费决策,高德以场景侵蚀边缘市场,竞争焦点正从履约转向决策前环节。美团用户与商家增速放缓,骑手多平台化,核心“飞轮效应”面临松动。其虽具备深厚线下运营能力,但需在多线应战,防守成本不断升高。
热门专题
热门推荐
公安部就电子数据取证规则公开征求意见,拟将网络安全等行政案件纳入适用范围,并规范取证流程与核心概念。新规特别明确了获取密码、调取通讯内容等特殊程序,需经严格审批并保障当事人权利。配套法律文书也同步优化,以构建更规范且注重权利保障的取证体系。
理想L9和LIvis的定价策略刚掀起波澜,小鹏GX的最终价格就给出了更猛烈的回应——从近40万元的预售价直降至27万元起。用小鹏产品矩阵负责人吴安飞的话说,这叫“9系的产品,8系的价格”。 这12万元的下调,效果堪称立竿见影。发布会次日,小鹏集团港股股价一度大涨超8%。更关键的是市场订单:上市12小
5月21日,环塔拉力赛新疆且末赛段大营迎来了一位备受瞩目的访客——知名零售企业胖东来的创始人于东来。他专程前往长城汽车车队营地,与参赛车手及后勤团队进行了深度交流。据悉,于东来此次自驾越野之旅已历时一月,随行车队中包含多款国产越野车型。经过实地驾驶与多维度对比,他对以长城汽车为代表的国产越野车品质给
比特币官方入口在哪里?一个核心门户的权威指南 说起比特币,很多人第一反应是去找它的“官网”或“官方App”。但这里有个关键点需要先理清:比特币本质上是一种去中心化的全球数字货币,它不属于任何一家公司或机构,而是由一个庞大的、遍布全球的社区共同维护。因此,它并没有传统意义上由某个企业运营的“官方网站”
Ring-2 5-1T是什么 在当今大模型技术激烈竞争的赛道上,追求更长的上下文处理能力和更强大的深度推理性能已成为核心焦点。近日,蚂蚁集团旗下的inclusionAI团队重磅开源了Ring-2 5-1T模型,这是一个参数规模高达万亿级别的混合线性思考大语言模型。该模型基于先进的Ling 2 5架构





