“机器学习”系列之决策树
本文介绍决策树的ID3、C4.5和CART三种生成算法。ID3以信息增益划分,有过拟合等缺点;C4.5用信息增益率,改进了缺失值处理等;CART为二叉树,用基尼系数,可分类回归,有独特剪枝和平衡策略。还附ID3实现及sklearn中CART的使用代码。

“机器学习”系列之决策树
0 前言
决策树是一种机器学习的方法。决策树的生成算法有ID3, C4.5和CART等。决策树是一种树形结构,其中每个内部节点表示一个属性上的判断,每个分支代表一个判断结果的输出,最后每个叶节点代表一种分类结果。算法主要是公式的讲解,如果初学建议先去看一下这方面的图例说明,再回来看此项目。
1 ID3
1.1 思想
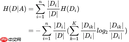
从信息论的知识中我们知道:信息熵越大,从而样本纯度越低,。ID3 算法的核心思想就是以信息增益来度量特征选择,选择信息增益最大的特征进行分裂。算法采用自顶向下的贪婪搜索遍历可能的决策树空间(C4.5 也是贪婪搜索)。 其大致步骤为:(1)初始化特征集合和数据集合;(2)计算数据集合信息熵和所有特征的条件熵,选择信息增益最大的特征作为当前决策节点;(3)更新数据集合和特征集合(删除上一步使用的特征,并按照特征值来划分不同分支的数据集合);(4)重复 2,3 两步,若子集值包含单一特征,则为分支叶子节点。1.2 划分标准
ID3 使用的分类标准是信息增益,它表示得知特征 A 的信息而使得样本集合不确定性减少的程度。数据集的信息熵公式如下:


1.3 缺点
ID3 没有剪枝策略,容易过拟合;信息增益准则对可取值数目较多的特征有所偏好,类似“编号”的特征其信息增益接近于 1;只能用于处理离散分布的特征;没有考虑缺失值。2 C4.5
C4.5 算法最大的特点是克服了 ID3 对特征数目的偏重这一缺点,引入信息增益率来作为分类标准。2.1 思想
C4.5 相对于 ID3 的缺点对应有以下改进方式:(1)引入悲观剪枝策略进行后剪枝;(2)引入信息增益率作为划分标准;(3)将连续特征离散化,假设 n 个样本的连续特征 A 有 m 个取值,C4.5 将其排序并取相邻两样本值的平均数共 m-1 个划分点,分别计算以该划分点作为二元分类点时的信息增益,并选择- - (4)信息增益最大的点作为该连续特征的二元离散分类点;2.2 对于缺失值的处理可以分为两个子问题
(1)问题一:在特征值缺失的情况下进行划分特征的选择?(即如何计算特征的信息增益率)(2)问题二:选定该划分特征,对于缺失该特征值的样本如何处理?(即到底把这个样本划分到哪个结点里)(3)针对问题一,C4.5 的做法是:对于具有缺失值特征,用没有缺失的样本子集所占比重来折算;(4)针对问题二,C4.5 的做法是:将样本同时划分到所有子节点,不过要调整样本的权重值,其实也就是以不同概率划分到不同节点中。2.3 划分标准
利用信息增益率可以克服信息增益的缺点,其公式如下
2.4 剪枝策略
为什么要剪枝:过拟合的树在泛化能力的表现非常差。2.4.1 预剪枝
在节点划分前来确定是否继续增长,及早停止增长的主要方法有:(1)节点内数据样本低于某一阈值;(2)所有节点特征都已分裂;(3)节点划分前准确率比划分后准确率高。(4)预剪枝不仅可以降低过拟合的风险而且还可以减少训练时间,但另一方面它是基于“贪心”策略,会带来欠拟合风险。2.4.2 后剪枝
在已经生成的决策树上进行剪枝,从而得到简化版的剪枝决策树。C4.5 采用的悲观剪枝方法,用递归的方式从低往上针对每一个非叶子节点,评估用一个最佳叶子节点去代替这课子树是否有益。如果剪枝后与剪枝前相比其错误率是保持或者下降,则这棵子树就可以被替换掉。C4.5 通过训练数据集上的错误分类数量来估算未知样本上的错误率。后剪枝决策树的欠拟合风险很小,泛化性能往往优于预剪枝决策树。但同时其训练时间会大的多。2.5 缺点
剪枝策略可以再优化;C4.5 用的是多叉树,用二叉树效率更高;C4.5 只能用于分类;C4.5 使用的熵模型拥有大量耗时的对数运算,连续值还有排序运算;C4.5 在构造树的过程中,对数值属性值需要按照其大小进行排序,从中选择一个分割点,所以只适合于能够驻留于内存的数据集,当训练集大得无法在内存容纳时,程序无法运行。3 CART
ID3 和 C4.5 虽然在对训练样本集的学习中可以尽可能多地挖掘信息,但是其生成的决策树分支、规模都比较大,CART 算法的二分法可以简化决策树的规模,提高生成决策树的效率。
3.1 思想
CART 包含的基本过程有分裂,剪枝和树选择。分裂:分裂过程是一个二叉递归划分过程,其输入和预测特征既可以是连续型的也可以是离散型的,CART 没有停止准则,会一直生长下去;剪枝:采用代价复杂度剪枝,从最大树开始,每次选择训练数据熵对整体性能贡献最小的那个分裂节点作为下一个剪枝对象,直到只剩下根节点。CART 会产生一系列嵌套的剪枝树,需要从中选出一颗最优的决策树;树选择:用单独的测试集评估每棵剪枝树的预测性能(也可以用交叉验证)。3.2 CART 在 C4.5 的基础上进行了很多提升。
C4.5 为多叉树,运算速度慢,CART 为二叉树,运算速度快;C4.5 只能分类,CART 既可以分类也可以回归;CART 使用 Gini 系数作为变量的不纯度量,减少了大量的对数运算;CART 采用代理测试来估计缺失值,而 C4.5 以不同概率划分到不同节点中;CART 采用“基于代价复杂度剪枝”方法进行剪枝,而 C4.5 采用悲观剪枝方法。3.3 划分标准
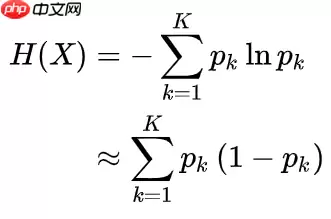
熵模型拥有大量耗时的对数运算,基尼指数在简化模型的同时还保留了熵模型的优点。基尼指数代表了模型的不纯度,基尼系数越小,不纯度越低,特征越好。这和信息增益(率)正好相反。



3.4 缺失值处理
模型对于缺失值的处理会分为两个子问题:(1)如何在特征值缺失的情况下进行划分特征的选择?(2)选定该划分特征,模型对于缺失该特征值的样本该进行怎样处理?对于问题 1,CART 一开始严格要求分裂特征评估时只能使用在该特征上没有缺失值的那部分数据,在后续版本中,CART 算法使用了一种惩罚机制来抑制提升值,从而反映出缺失值的影响(例如,如果一个特征在节点的 20% 的记录是缺失的,那么这个特征就会减少 20% 或者其他数值)。对于问题 2,CART 算法的机制是为树的每个节点都找到代理分裂器,无论在训练数据上得到的树是否有缺失值都会这样做。在代理分裂器中,特征的分值必须超过默认规则的性能才有资格作为代理(即代理就是代替缺失值特征作为划分特征的特征),当 CART 树中遇到缺失值时,这个实例划分到左边还是右边是决定于其排名最高的代理,如果这个代理的值也缺失了,那么就使用排名第二的代理,以此类推,如果所有代理值都缺失,那么默认规则就是把样本划分到较大的那个子节点。代理分裂器可以确保无缺失训练数据上得到的树可以用来处理包含确实值的新数据。3.5 剪枝策略
采用一种“基于代价复杂度的剪枝”方法进行后剪枝,这种方法会生成一系列树,每个树都是通过将前面的树的某个或某些子树替换成一个叶节点而得到的,这一系列树中的最后一棵树仅含一个用来预测类别的叶节点。然后用一种成本复杂度的度量准则来判断哪棵子树应该被一个预测类别值的叶节点所代替。这种方法需要使用一个单独的测试数据集来评估所有的树,根据它们在测试数据集熵的分类性能选出最佳的树。首先我们将最大树称为T0 ,我们希望减少树的大小来防止过拟合,但又担心去掉节点后预测误差会增大,所以我们定义了一个损失函数来达到这两个变量之间的平衡。损失函数定义如下:




3.6 类别不平衡
CART 的一大优势在于:无论训练数据集有多失衡,它都可以将其子冻消除不需要建模人员采取其他操作。CART 使用了一种先验机制,其作用相当于对类别进行加权。这种先验机制嵌入于 CART 算法判断分裂优劣的运算里,在 CART 默认的分类模式中,总是要计算每个节点关于根节点的类别频率的比值,这就相当于对数据自动重加权,对类别进行均衡。对于一个二分类问题,节点 node 被分成类别 1 当且仅当:
3.7 回归树
CART(Classification and Regression Tree,分类回归树),从名字就可以看出其不仅可以用于分类,也可以应用于回归。其回归树的建立算法上与分类树部分相似,这里简单介绍下不同之处。3.7.1 连续值处理
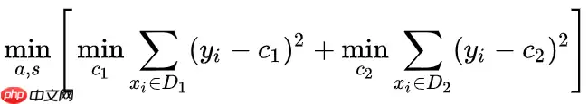
对于连续值的处理,CART 分类树采用基尼系数的大小来度量特征的各个划分点。在回归模型中,我们使用常见的和方差度量方式,对于任意划分特征 A,对应的任意划分点 s 两边划分成的数据集 D1 和 D2 ,求出使 D1 和 D2 各自集合的均方差最小,同时 D1 和 D2 的均方差之和最小所对应的特征和特征值划分点。表达式为:
3.7.2 预测方式
对于决策树建立后做预测的方式,上面讲到了 CART 分类树采用叶子节点里概率最大的类别作为当前节点的预测类别。而回归树输出不是类别,它采用的是用最终叶子的均值或者中位数来预测输出结果。4 代码实现
4.1 导入相关包
In [1]import numpy as npimport pandas as pdimport matplotlib.pyplot as plt%matplotlib inlinefrom sklearn.datasets import load_irisfrom sklearn.model_selection import train_test_splitfrom collections import Counterimport mathfrom math import logimport pprint登录后复制
4.2 数据定义
In [2]def create_data(): datasets = [['青年', '否', '否', '一般', '否'], ['青年', '否', '否', '好', '否'], ['青年', '是', '否', '好', '是'], ['青年', '是', '是', '一般', '是'], ['青年', '否', '否', '一般', '否'], ['中年', '否', '否', '一般', '否'], ['中年', '否', '否', '好', '否'], ['中年', '是', '是', '好', '是'], ['中年', '否', '是', '非常好', '是'], ['中年', '否', '是', '非常好', '是'], ['老年', '否', '是', '非常好', '是'], ['老年', '否', '是', '好', '是'], ['老年', '是', '否', '好', '是'], ['老年', '是', '否', '非常好', '是'], ['老年', '否', '否', '一般', '否'], ] labels = [u'年龄', u'有工作', u'有自己的房子', u'信贷情况', u'类别'] # 返回数据集和每个维度的名称 return datasets, labels登录后复制In [3]
datasets, labels = create_data()登录后复制In [4]
train_data = pd.DataFrame(datasets, columns=labels)登录后复制In [5]
train_data登录后复制
年龄 有工作 有自己的房子 信贷情况 类别0 青年 否 否 一般 否1 青年 否 否 好 否2 青年 是 否 好 是3 青年 是 是 一般 是4 青年 否 否 一般 否5 中年 否 否 一般 否6 中年 否 否 好 否7 中年 是 是 好 是8 中年 否 是 非常好 是9 中年 否 是 非常好 是10 老年 否 是 非常好 是11 老年 否 是 好 是12 老年 是 否 好 是13 老年 是 否 非常好 是14 老年 否 否 一般 否登录后复制
4.3 定义计算熵函数
In [6]# 熵def calc_ent(datasets): data_length = len(datasets) label_count = {} for i in range(data_length): label = datasets[i][-1] if label not in label_count: label_count[label] = 0 label_count[label] += 1 ent = -sum([(p/data_length)*log(p/data_length, 2) for p in label_count.values()]) return ent# 经验条件熵def cond_ent(datasets, axis=0): data_length = len(datasets) feature_sets = {} for i in range(data_length): feature = datasets[i][axis] if feature not in feature_sets: feature_sets[feature] = [] feature_sets[feature].append(datasets[i]) cond_ent = sum([(len(p)/data_length)*calc_ent(p) for p in feature_sets.values()]) return cond_ent# 信息增益def info_gain(ent, cond_ent): return ent - cond_entdef info_gain_train(datasets): count = len(datasets[0]) - 1 ent = calc_ent(datasets) best_feature = [] for c in range(count): c_info_gain = info_gain(ent, cond_ent(datasets, axis=c)) best_feature.append((c, c_info_gain)) print('特征({}) - info_gain - {:.3f}'.format(labels[c], c_info_gain)) # 比较大小 best_ = max(best_feature, key=lambda x: x[-1]) return '特征({})的信息增益最大,选择为根节点特征'.format(labels[best_[0]])登录后复制In [7]info_gain_train(np.array(datasets))登录后复制
特征(年龄) - info_gain - 0.083特征(有工作) - info_gain - 0.324特征(有自己的房子) - info_gain - 0.420特征(信贷情况) - info_gain - 0.363登录后复制
'特征(有自己的房子)的信息增益最大,选择为根节点特征'登录后复制
4.4 利用ID3算法生成决策树
In [8]# 定义节点类 二叉树class Node: def __init__(self, root=True, label=None, feature_name=None, feature=None): self.root = root self.label = label self.feature_name = feature_name self.feature = feature self.tree = {} self.result = {'label:': self.label, 'feature': self.feature, 'tree': self.tree} def __repr__(self): return '{}'.format(self.result) def add_node(self, val, node): self.tree[val] = node def predict(self, features): if self.root is True: return self.label return self.tree[features[self.feature]].predict(features) class DTree: def __init__(self, epsilon=0.1): self.epsilon = epsilon self._tree = {} # 熵 @staticmethod def calc_ent(datasets): data_length = len(datasets) label_count = {} for i in range(data_length): label = datasets[i][-1] if label not in label_count: label_count[label] = 0 label_count[label] += 1 ent = -sum([(p/data_length)*log(p/data_length, 2) for p in label_count.values()]) return ent # 经验条件熵 def cond_ent(self, datasets, axis=0): data_length = len(datasets) feature_sets = {} for i in range(data_length): feature = datasets[i][axis] if feature not in feature_sets: feature_sets[feature] = [] feature_sets[feature].append(datasets[i]) cond_ent = sum([(len(p)/data_length)*self.calc_ent(p) for p in feature_sets.values()]) return cond_ent # 信息增益 @staticmethod def info_gain(ent, cond_ent): return ent - cond_ent def info_gain_train(self, datasets): count = len(datasets[0]) - 1 ent = self.calc_ent(datasets) best_feature = [] for c in range(count): c_info_gain = self.info_gain(ent, self.cond_ent(datasets, axis=c)) best_feature.append((c, c_info_gain)) # 比较大小 best_ = max(best_feature, key=lambda x: x[-1]) return best_ def train(self, train_data): """ input:数据集D(DataFrame格式),特征集A,阈值eta output:决策树T """ _, y_train, features = train_data.iloc[:, :-1], train_data.iloc[:, -1], train_data.columns[:-1] # 1,若D中实例属于同一类Ck,则T为单节点树,并将类Ck作为结点的类标记,返回T if len(y_train.value_counts()) == 1: return Node(root=True, label=y_train.iloc[0]) # 2, 若A为空,则T为单节点树,将D中实例树最大的类Ck作为该节点的类标记,返回T if len(features) == 0: return Node(root=True, label=y_train.value_counts().sort_values(ascending=False).index[0]) # 3,计算最大信息增益 同5.1,Ag为信息增益最大的特征 max_feature, max_info_gain = self.info_gain_train(np.array(train_data)) max_feature_name = features[max_feature] # 4,Ag的信息增益小于阈值eta,则置T为单节点树,并将D中是实例数最大的类Ck作为该节点的类标记,返回T if max_info_gain < self.epsilon: return Node(root=True, label=y_train.value_counts().sort_values(ascending=False).index[0]) # 5,构建Ag子集 node_tree = Node(root=False, feature_name=max_feature_name, feature=max_feature) feature_list = train_data[max_feature_name].value_counts().index for f in feature_list: sub_train_df = train_data.loc[train_data[max_feature_name] == f].drop([max_feature_name], axis=1) # 6, 递归生成树 sub_tree = self.train(sub_train_df) node_tree.add_node(f, sub_tree) # pprint.pprint(node_tree.tree) return node_tree def fit(self, train_data): self._tree = self.train(train_data) return self._tree def predict(self, X_test): return self._tree.predict(X_test)登录后复制In [9]datasets, labels = create_data()data_df = pd.DataFrame(datasets, columns=labels)dt = DTree()tree = dt.fit(data_df)登录后复制In [10]
tree登录后复制
{'label:': None, 'feature': 2, 'tree': {'否': {'label:': None, 'feature': 1, 'tree': {'否': {'label:': '否', 'feature': None, 'tree': {}}, '是': {'label:': '是', 'feature': None, 'tree': {}}}}, '是': {'label:': '是', 'feature': None, 'tree': {}}}}登录后复制In [11]dt.predict(['老年', '否', '否', '一般'])登录后复制
'否'登录后复制
4.4 利用 sklearn.tree.DecisionTreeClassifier函数用于构建决策树,默认使用CART算法
In [12]# datadef create_data(): iris = load_iris() df = pd.DataFrame(iris.data, columns=iris.feature_names) df['label'] = iris.target df.columns = ['sepal length', 'sepal width', 'petal length', 'petal width', 'label'] data = np.array(df.iloc[:100, [0, 1, -1]]) # print(data) return data[:,:2], data[:,-1]X, y = create_data()X_train, X_test, y_train, y_test = train_test_split(X, y, test_size=0.3)登录后复制In [13]
from sklearn.tree import DecisionTreeClassifierfrom sklearn.tree import export_graphvizimport graphviz登录后复制In [14]
clf = DecisionTreeClassifier()clf.fit(X_train, y_train,)登录后复制In [15]
clf.score(X_test, y_test)登录后复制
0.9登录后复制In [16]
tree_pic = export_graphviz(clf, out_file="mytree.pdf")with open('mytree.pdf') as f: dot_graph = f.read()登录后复制In [17]# 决策树可视化graphviz.Source(dot_graph)登录后复制
相关攻略
Excel筛选功能能高效处理海量数据。基础筛选通过列标题下拉菜单勾选或搜索快速定位数据。高级筛选需设置条件区域,可满足多条件复杂查询。FILTER函数能实现动态自动化筛选,结果随数据源同步更新。掌握这些方法可显著提升数据处理效率。
Excel表格可通过多种方法美化以提升可读性。使用内置表格样式可一键快速套用格式;通过设置单元格格式能自定义边框与填充颜色;利用条件格式可根据数据规则自动突出显示特定内容。这些技巧能有效增强数据呈现的清晰度与专业性。
Excel提供了多种批量删除数据的方法。使用Ctrl键配合鼠标可选择不连续区域并右键删除;选中连续区域后按Delete键可快速清空内容。通过“开始”选项卡中的“清除”功能,可同时移除格式与内容。对于复杂任务,可利用VBA宏编写脚本,一键清空所有工作表数据。根据需求选择合适方法能提升效率。
面对表格数据,手动计算易错低效。掌握自动汇总技巧能显著提升效率。常用方法包括:利用筛选功能快速提取和查看特定数据;使用基础的SUM函数进行灵活求和;创建数据透视表进行多维度交互式分析;运用COUNTIF、SUMIF等条件统计函数实现智能计算。根据场景选用合适工具,可使数据处理变得轻松高效。
Excel表格合并有多种方法。复制粘贴适合简单任务;合并计算可汇总多区域数据;PowerQuery能处理复杂合并与数据清洗;CONCATENATE和TEXTJOIN函数专用于合并单元格文本;VBA宏可实现重复任务的自动化。根据数据规模、频率和复杂度选择合适工具,能显著提升数据整理的效率与准确性。
热门专题
热门推荐
公安部就电子数据取证规则公开征求意见,拟将网络安全等行政案件纳入适用范围,并规范取证流程与核心概念。新规特别明确了获取密码、调取通讯内容等特殊程序,需经严格审批并保障当事人权利。配套法律文书也同步优化,以构建更规范且注重权利保障的取证体系。
理想L9和LIvis的定价策略刚掀起波澜,小鹏GX的最终价格就给出了更猛烈的回应——从近40万元的预售价直降至27万元起。用小鹏产品矩阵负责人吴安飞的话说,这叫“9系的产品,8系的价格”。 这12万元的下调,效果堪称立竿见影。发布会次日,小鹏集团港股股价一度大涨超8%。更关键的是市场订单:上市12小
5月21日,环塔拉力赛新疆且末赛段大营迎来了一位备受瞩目的访客——知名零售企业胖东来的创始人于东来。他专程前往长城汽车车队营地,与参赛车手及后勤团队进行了深度交流。据悉,于东来此次自驾越野之旅已历时一月,随行车队中包含多款国产越野车型。经过实地驾驶与多维度对比,他对以长城汽车为代表的国产越野车品质给
比特币官方入口在哪里?一个核心门户的权威指南 说起比特币,很多人第一反应是去找它的“官网”或“官方App”。但这里有个关键点需要先理清:比特币本质上是一种去中心化的全球数字货币,它不属于任何一家公司或机构,而是由一个庞大的、遍布全球的社区共同维护。因此,它并没有传统意义上由某个企业运营的“官方网站”
Ring-2 5-1T是什么 在当今大模型技术激烈竞争的赛道上,追求更长的上下文处理能力和更强大的深度推理性能已成为核心焦点。近日,蚂蚁集团旗下的inclusionAI团队重磅开源了Ring-2 5-1T模型,这是一个参数规模高达万亿级别的混合线性思考大语言模型。该模型基于先进的Ling 2 5架构





