“机器学习”系列之SVM(支持向量机)
“机器学习”系列之SVM(支持向量机)
0 前言
支持向量机(support vector machine,常简称为SVM,又名支持向量网络)是在分类与回归分析中分析数据的监督式学习模型与相关的学习算法。给定一组训练实例,每个训练实例被标记为属于两个类别中的一个或另一个,SVM训练算法创建一个将新的实例分配给两个类别之一的模型,使其成为非概率二元线性分类器。SVM模型是将实例表示为空间中的点,这样映射就使得单独类别的实例被尽可能宽的明显的间隔分开。然后,将新的实例映射到同一空间,并基于它们落在间隔的哪一侧来预测所属类别。1 SVM
SVM的最核心的思想就是从输入空间(ipnut space)向一个更加高维度(feature space)的映射。与神经网络的隐含层相似,从输入向某一个中间的阶段做了一个映射,再进行分类。最本源,是一个线性分类器。如下图





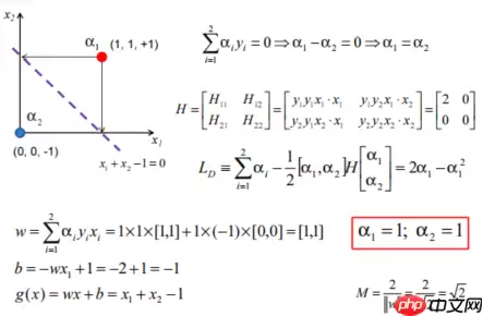
2 SVM的options求解
两个目标:样本分对;最大化Margin(最小化 w乘以w的转置 )样本是两类:+1,-1(标签),+1的样本必须wx+b>=1,才是将样本分对。如下图




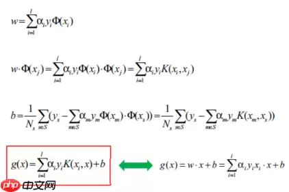
3 线性不可分问题下的SVM
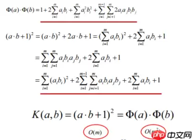
基本思想:一维不可分映射为高维度(feature space),映射不唯一。







4 自定义函数实现SVM
In [1]!pip install sklearn登录后复制In [2]
import numpy as npimport pandas as pdimport sklearnfrom sklearn.datasets import load_irisfrom sklearn.model_selection import train_test_splitimport matplotlib.pyplot as plt%matplotlib inline登录后复制In [3]
# datadef create_data(): iris = load_iris() df = pd.DataFrame(iris.data, columns=iris.feature_names) df['label'] = iris.target df.columns = ['sepal length', 'sepal width', 'petal length', 'petal width', 'label'] data = np.array(df.iloc[:100, [0, 1, -1]]) for i in range(len(data)): if data[i,-1] == 0: data[i,-1] = -1 # print(data) return data[:,:2], data[:,-1]登录后复制In [4]
X, y = create_data()X_train, X_test, y_train, y_test = train_test_split(X, y, test_size=0.25)登录后复制In [5]
plt.scatter(X[:50,0],X[:50,1], label='0')plt.scatter(X[50:,0],X[50:,1], label='1')plt.legend()登录后复制
登录后复制
登录后复制In [6]
class SVM: def __init__(self, max_iter=100, kernel='linear'): self.max_iter = max_iter self._kernel = kernel def init_args(self, features, labels): self.m, self.n = features.shape self.X = features self.Y = labels self.b = 0.0 # 将Ei保存在一个列表里 self.alpha = np.ones(self.m) self.E = [self._E(i) for i in range(self.m)] # 松弛变量 self.C = 1.0 def _KKT(self, i): y_g = self._g(i)*self.Y[i] if self.alpha[i] == 0: return y_g >= 1 elif 0 < self.alpha[i] < self.C: return y_g == 1 else: return y_g <= 1 # g(x)预测值,输入xi(X[i]) def _g(self, i): r = self.b for j in range(self.m): r += self.alpha[j]*self.Y[j]*self.kernel(self.X[i], self.X[j]) return r # 核函数 def kernel(self, x1, x2): if self._kernel == 'linear': return sum([x1[k]*x2[k] for k in range(self.n)]) elif self._kernel == 'poly': return (sum([x1[k]*x2[k] for k in range(self.n)]) + 1)**2 return 0 # E(x)为g(x)对输入x的预测值和y的差 def _E(self, i): return self._g(i) - self.Y[i] def _init_alpha(self): # 外层循环首先遍历所有满足0= 0: j = min(range(self.m), key=lambda x: self.E[x]) else: j = max(range(self.m), key=lambda x: self.E[x]) return i, j def _compare(self, _alpha, L, H): if _alpha > H: return H elif _alpha < L: return L else: return _alpha def fit(self, features, labels): self.init_args(features, labels) for t in range(self.max_iter): # train i1, i2 = self._init_alpha() # 边界 if self.Y[i1] == self.Y[i2]: L = max(0, self.alpha[i1]+self.alpha[i2]-self.C) H = min(self.C, self.alpha[i1]+self.alpha[i2]) else: L = max(0, self.alpha[i2]-self.alpha[i1]) H = min(self.C, self.C+self.alpha[i2]-self.alpha[i1]) E1 = self.E[i1] E2 = self.E[i2] # eta=K11+K22-2K12 eta = self.kernel(self.X[i1], self.X[i1]) + self.kernel(self.X[i2], self.X[i2]) - 2*self.kernel(self.X[i1], self.X[i2]) if eta <= 0: # print('eta <= 0') continue alpha2_new_unc = self.alpha[i2] + self.Y[i2] * (E2 - E1) / eta alpha2_new = self._compare(alpha2_new_unc, L, H) alpha1_new = self.alpha[i1] + self.Y[i1] * self.Y[i2] * (self.alpha[i2] - alpha2_new) b1_new = -E1 - self.Y[i1] * self.kernel(self.X[i1], self.X[i1]) * (alpha1_new-self.alpha[i1]) - self.Y[i2] * self.kernel(self.X[i2], self.X[i1]) * (alpha2_new-self.alpha[i2])+ self.b b2_new = -E2 - self.Y[i1] * self.kernel(self.X[i1], self.X[i2]) * (alpha1_new-self.alpha[i1]) - self.Y[i2] * self.kernel(self.X[i2], self.X[i2]) * (alpha2_new-self.alpha[i2])+ self.b if 0 < alpha1_new < self.C: b_new = b1_new elif 0 < alpha2_new < self.C: b_new = b2_new else: # 选择中点 b_new = (b1_new + b2_new) / 2 # 更新参数 self.alpha[i1] = alpha1_new self.alpha[i2] = alpha2_new self.b = b_new self.E[i1] = self._E(i1) self.E[i2] = self._E(i2) return 'train done!' def predict(self, data): r = self.b for i in range(self.m): r += self.alpha[i] * self.Y[i] * self.kernel(data, self.X[i]) return 1 if r > 0 else -1 def score(self, X_test, y_test): right_count = 0 for i in range(len(X_test)): result = self.predict(X_test[i]) if result == y_test[i]: right_count += 1 return right_count / len(X_test) def _weight(self): # linear model yx = self.Y.reshape(-1, 1)*self.X self.w = np.dot(yx.T, self.alpha) return self.w登录后复制In [7]
svm = SVM(max_iter=200)登录后复制In [8]
svm.fit(X_train, y_train)登录后复制In [9]
svm.score(X_test, y_test)登录后复制
5 调用sklearn.svm.SVC实现SVM
- C:C-SVC的惩罚参数C?默认值是1.0C越大,相当于惩罚松弛变量,希望松弛变量接近0,即对误分类的惩罚增大,趋向于对训练集全分对的情况,这样对训练集测试时准确率很高,但泛化能力弱。C值小,对误分类的惩罚减小,允许容错,将他们当成噪声点,泛化能力较强。- kernel :核函数,默认是rbf,可以是‘linear’, ‘poly’, ‘rbf’, ‘sigmoid’, ‘precomputed’ – 线性:u'v – 多项式:(gamma*u'*v + coef0)^degree – RBF函数:exp(-gamma|u-v|^2) – sigmoid:tanh(gamma*u'*v + coef0)- degree :多项式poly函数的维度,默认是3,选择其他核函数时会被忽略。- gamma : ‘rbf’,‘poly’ 和‘sigmoid’的核函数参数。默认是’auto’,则会选择1/n_features- coef0 :核函数的常数项。对于‘poly’和 ‘sigmoid’有用。- probability :是否采用概率估计?.默认为False- shrinking :是否采用shrinking heuristic方法,默认为true- tol :停止训练的误差值大小,默认为1e-3- cache_size :核函数cache缓存大小,默认为200- class_weight :类别的权重,字典形式传递。设置第几类的参数C为weight*C(C-SVC中的C- verbose :允许冗余输出?- max_iter :最大迭代次数。-1为无限制。- decision_function_shape :‘ovo’, ‘ovr’ or None, default=None3- random_state :数据洗牌时的种子值,int值主要调节的参数有:C、kernel、degree、gamma、coef0。登录后复制In [10]
from sklearn.svm import SVCclf = SVC()clf.fit(X_train, y_train)登录后复制
SVC(C=1.0, break_ties=False, cache_size=200, class_weight=None, coef0=0.0, decision_function_shape='ovr', degree=3, gamma='scale', kernel='rbf', max_iter=-1, probability=False, random_state=None, shrinking=True, tol=0.001, verbose=False)登录后复制In [11]
clf.score(X_test, y_test)登录后复制
1.0登录后复制
相关攻略
利用NotionAI可自动化生成代码注释与API文档。通过粘贴代码触发AI解析生成规范注释;在数据库字段中批量生成标准化接口文档;预置AI指令模板实现一键初始化;在评论中对特定代码行发起注释增强;结合白板照片与代码块联动生成系统级文档。这些方法能建立清晰、可维护的技术文档体系。
人工关键词研究效率低且覆盖窄。Duck ai通过四步流程解决:基于语义联想生成高意图长尾词,利用实时搜索数据验证热度,构建跨平台关键词图谱实现精准适配,并建立AI反馈闭环使词库持续自我优化。
NotionAI能辅助撰写专业简历:先将工作描述按STAR法则拆解为情境、任务、行动和结果,并指令AI补充量化成果;接着整合为成果导向的量化句式,强调行动与数据支撑;针对不同岗位可批量生成定制版本,突出关键词;最后校验ATS兼容性,优化格式与信息密度,确保开头清晰有力。
你是否渴望与虚拟的历史人物进行一场深度对话,或是希望拥有一个完全按照你心意定制的AI伙伴?Character AI 正是这样一个能够实现你所有个性化聊天机器人想法的前沿平台。它由谷歌LaMDA项目的两位前核心开发者 Noam Shazeer 和 Daniel De Freitas 联合创立,其核心魅
在AI创意工具不断涌现的当下,Krea ai作为一个新兴的AI绘画与设计平台,正吸引着越来越多设计师和创意人士的目光。它究竟有哪些独特功能?又该如何使用?本文将为您全面解析。 Krea ai是什么? 简单来说,Krea ai是一个功能强大的人工智能创意生成平台。其核心目标是赋能每一位用户——无论是专
热门专题
热门推荐
公安部就电子数据取证规则公开征求意见,拟将网络安全等行政案件纳入适用范围,并规范取证流程与核心概念。新规特别明确了获取密码、调取通讯内容等特殊程序,需经严格审批并保障当事人权利。配套法律文书也同步优化,以构建更规范且注重权利保障的取证体系。
理想L9和LIvis的定价策略刚掀起波澜,小鹏GX的最终价格就给出了更猛烈的回应——从近40万元的预售价直降至27万元起。用小鹏产品矩阵负责人吴安飞的话说,这叫“9系的产品,8系的价格”。 这12万元的下调,效果堪称立竿见影。发布会次日,小鹏集团港股股价一度大涨超8%。更关键的是市场订单:上市12小
5月21日,环塔拉力赛新疆且末赛段大营迎来了一位备受瞩目的访客——知名零售企业胖东来的创始人于东来。他专程前往长城汽车车队营地,与参赛车手及后勤团队进行了深度交流。据悉,于东来此次自驾越野之旅已历时一月,随行车队中包含多款国产越野车型。经过实地驾驶与多维度对比,他对以长城汽车为代表的国产越野车品质给
比特币官方入口在哪里?一个核心门户的权威指南 说起比特币,很多人第一反应是去找它的“官网”或“官方App”。但这里有个关键点需要先理清:比特币本质上是一种去中心化的全球数字货币,它不属于任何一家公司或机构,而是由一个庞大的、遍布全球的社区共同维护。因此,它并没有传统意义上由某个企业运营的“官方网站”
Ring-2 5-1T是什么 在当今大模型技术激烈竞争的赛道上,追求更长的上下文处理能力和更强大的深度推理性能已成为核心焦点。近日,蚂蚁集团旗下的inclusionAI团队重磅开源了Ring-2 5-1T模型,这是一个参数规模高达万亿级别的混合线性思考大语言模型。该模型基于先进的Ling 2 5架构





