北大团队发布DeepSeek-V3.2模型:推理提速15倍,成本直降95%

头图由AI生成
智东西
作者 王涵
编辑 冰倩
智东西3月25日报道,今天,北大系AI编程创企硅心科技(aiXcoder)推出轻量级模型aiX-apply-4B,该模型支持256K上下文,参数量仅4B,一张消费级显卡即可部署。
该模型适用于企业级的代码修改场景,可自动识别修改意图、定位目标区域、保持原有格式与上下文结构,并将修改后代码应用到原始文件中。
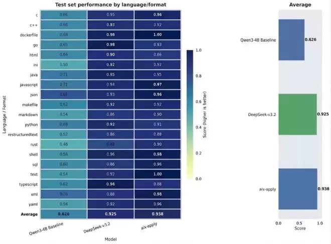
基准测试方面,aiX-apply模型在Python、Java、JavaScript、C++等主流编程语言,以及JSON、Markdown等多类型文件格式的测试中,平均准确率达到93.8%,超越Qwen3-4B基座模型62.6%的准确度,甚至高于千亿级大模型DeepSeek-V3.2。

▲基准测试对比
在企业级生产环境实测中,aiX-apply模型在单卡RTX 4090上即可运行,推理速度每秒可达2000 tokens,对比DeepSeek-V3.2则需要在八卡H200环境下部署。同一任务场景下,aiX-apply模型算力成本仅为DeepSeek-V3.2的5%,推理速度则提升15倍。
在技术上,代码合并任务以“复述原文+局部修改”为主,存在大量可复用文本片段,aiXcoder团队引入自适应投机采样技术,通过更轻量的机制预判重复片段,压缩了端到端延迟时间。
一、准确性和稳定性均比肩DeepSeek V3.2
在超长代码文件的精确编辑和跨语言环境下的代码理解与生成等场景中,aiX-apply模型都有良好的范式泛化能力。
aiXcoder团队结合真实应用场景设计了泛化性的测评维度,包括随机替换代码边界占位符、处理超长序列代码、在不完整的代码文件中进行局部编辑,以及引入训练数据中占比极低甚至未显式覆盖的编程语言。
结果表明,aiX-apply模型通过专门的强化学习训练,在多维度泛化性测评场景中,其准确性和稳定性可以与DeepSeek V3.2比肩。

▲准确度与稳定性测试对比
二、采用真实企业场景数据训练,设定双重工程约束
aiX-apply模型的训练数据源自真实企业级场景下的代码提交记录。在此基础上,aiXcoder团队引入一致性审计机制,剔除训练数据中包含模糊上下文或无法推导出修改逻辑的冗余信息,确保“代码片段”与“变更结果”之间存在绝对确定的因果关系。
这意味着模型在训练阶段接触到的都是“逻辑闭环”的高质量数据,使其能够精准建立从修改意图到代码应用位置的深度映射。
aiX-apply模型在训练时会基于高性能强化学习框架不断生成代码修改内容,并结合规则化奖励机制进行评测。系统会实时判定修改是否正确、是否越界,再把结果反馈给模型。
通过端到端闭环训练,该模型在“生成-反馈-修正”的在线强化学习中持续对齐工程约束,始终在指定区域精准操作,杜绝因“幻觉”而导致的非必要代码改动,提升代码应用的准确性与可靠性。

▲模型架构
为适配代码变更应用这一垂直工程场景,aiX-apply模型设定了双重核心工程约束来保证代码合并过程高度可控、结果可预期:
首先是非副作用约束,模型仅修改指定改动区域,区域外内容严禁变动;
然后是安全失败策略,当代码上下文锚点不唯一、无法准确定位时,模型直接输出空结果,不做猜测性修改,避免污染代码库。
结语:aiX-apply轻量化部署,降低企业落地门槛
aiX-apply模型主打低成本、高性能与易部署,在企业私有化部署与工程化落地中较有优势。
成本方面,该模型单张消费级显卡即可高效运行。其轻量化架构降低了企业使用私有化AI的门槛,便于快速将智能化能力融入研发流程。
研发效率上,aiX-apply支持256K上下文,吞吐量达每秒2000 tokens,可在大规模代码库中完成实时、精准的自动化代码修复与集成。
工程可控性层面,该模型有效减少了AI幻觉引发的错误修改,降低人工审核成本与线上故障概率,能够提升企业研发流程的稳定性与规范性。
相关攻略
最近,AI领域又迎来了一则重磅消息。Anthropic发布了一项碘伏性的研究,首次在其实验中证实:像Claude这样的大语言模型内部,确实存在一套可以被清晰识别和操控的“情绪”表征系统。 现场抓包:AI也会Emo 这项研究最核心的突破,在于研究者们不再满足于观察AI的输出,而是直接“透视”了模型的大
AI领域再添重磅工具。MiniMax稀宇科技正式推出MMX-CLI,一款专为AI Agent设计的命令行工具。它极大地简化了AI助手调用多模态能力的流程,无论是代码编写、图像创作还是视频生成,都能通过简洁指令轻松完成,显著提升开发与自动化效率。 根据官方发布的信息,MMX-CLI的核心优势在于“开箱
从零到一:用AI生成一份专业的媒体影响力报告 但凡在内容或运营团队待过的人,大概都对制作《媒体影响力报告》这类活儿记忆犹新。那过程,堪称一场跨部门接力赛:运营同事得先从各个平台后台手动扒拉数据,计算阅读量、粉丝增长和互动率;拿到一堆冰冷数字后,还得拉着账号负责人反复琢磨定位和文案;最后,抱着半成品火
封面新闻记者 邹阿江 图由航空工业成飞提供 2026年“五一”国际劳动节前夕,航空工业成飞的技术专家聂海平,荣获了一枚全国五一劳动奖章。 消息传来,身边同事都说,“大师”拿奖是实至名归。可聂海平自己呢,还是那副老样子——摆摆手,说自己不过是个普通人,幸运地站在一个好平台上,干着点自己感兴趣的事儿罢了
编辑 | 王凤枝 “AI时代,每天干3个小时就足够了。” 这句话出自前亚马逊资深工程师、技术大牛史蒂夫·雅吉(Steve Yegge)之口,算得上是对当前AI狂热的一剂清醒剂。 当整个行业都在为“10倍提效”而欢呼雀跃时,雅吉却点出了一个被普遍忽视的代价:在AI的高强度辅助下,程序员的产出固然爆炸式
热门专题
热门推荐
在追求极致效率的现代软件开发中,一款名为Cursor的AI代码编辑器正引领着开发范式的变革。它被定义为“面向未来的IDE”,其核心理念清晰而有力:将人工智能深度无缝地集成到编码工作流的每一个步骤,为开发者创造一种前所未有的“AI结对编程”体验。 Cursor sh应用场景 那么,这款AI驱动的编辑器
在众多AI图像生成工具中,WHEE凭借其精准的产品定位与持续的功能迭代,正成为越来越多设计师和内容创作者的首选工具。它专注于打造高品质的AI视觉素材生成器,核心使命就是帮助用户快速、高效地获得可直接使用的优质图片素材。 那么,这款AI绘图工具究竟有哪些核心优势?下面我们从其关键特性与功能设计进行深入
在AI绘画工具不断涌现的当下,一款名为NightCafe Creator的应用以其全面的AI艺术生成能力脱颖而出。它不仅是一个简单的图片处理工具,更是一个融合了多种前沿人工智能技术的创意平台,帮助用户轻松实现从构思到成品的艺术创作。 NightCafe Creator是什么? NightCafe C
近期加密货币市场受到宏观经济不确定性及流动性紧缩影响,比特币(BTC)、以太坊(ETH)以及多种山寨币出现明显下行走势,市场情绪趋于谨慎。 比特币近期走势分析 比特币的价格近期表现如何?简单来说,它跌破了几个市场公认的关键支撑位,而且伴随交易量的放大。这种放量下跌的信号,往往意味着多空分歧加剧。无论
蔡司宣布将于6月2日发布一款新镜头,并称其为镜头技术的重大突破,标志着全新纪元的开启。官方仅公布了产品剪影,但措辞暗示其可能带来根本性的技术升级,例如全新光学结构、先进镀膜或对焦系统改进。具体细节需待发布日揭晓。





