字节Seed化用化学思想拆解DeepSeek-R1脑回路与分子结构
闻乐 发自 凹非寺
量子位 | 公众号 QbitAI
免费影视、动漫、音乐、游戏、小说资源长期稳定更新! 👉 点此立即查看 👈
字节Seed都开始用化学思想搞大模型了——
深度推理是共价键、自我反思是氢键、自我探索是范德华力?!

传统的大模型长思维链推理基本把AI的思考过程等同于线性结构。
但很多情况下,后续的一个关键结论,可能需要回过头去验证早早提出的假设。
CoT把这种非线性的依赖关系忽略了。
字节Seed在论文《The Molecular Structure of Thought》中首次给大模型的长链思维定义了分子式结构。

在这种分子拓扑中,三种键是怎么相互配合的?
好的推理像分子结构
团队把DeepSeek-R1、gpt-OSS等强推理模型的长链思维拆成一步一步的,然后给每一步之间的“跳跃”打上标签。
打完标签发现,所有有效的长链思维里,其实就三种基础动作来回组合。
第一种叫深度推理,像共价键一样结实。
通俗来说就是类似“因为A所以B,因为B所以C”的硬逻辑推进。
团队在语义空间里做了一个很形象的量化分析,把模型的每一步思考都当成一个点,看这些点最后会散成多大一个圈。
圈子越小,说明模型越没跑题,思考越聚焦。
结果发现,加上深度推理之后,这个散点圈直接缩水22%。
深度推理确实起到了收束杂念、锁定核心逻辑的关键作用。

第二种叫自我反思,像氢键一样有弹性但稳定。
类似于“等等,我刚才那步是不是想错了”“让我重新检查一下前面的假设”,能把后面的思考拐回来跟前面的节点呼应上,形成一种折叠感。
团队测了模型自我反思时的思维轨迹,把每一步思考都看成语义空间里的一个点,然后计算反思时会跳回多远、落在哪里。
发现81.72%的反思步骤,都会精准落回之前已经形成的靠谱思路区域里。
还对比了反思前后的思维范围,反思前,语义空间体积是35.2,反思后,直接压缩到31.2。
再看聚类结果就更清楚了,反思之后,同一类正确思路的点会紧紧抱团,而那些零散、跑偏的分支会被自动推开。
也就是说,自我反思氢键能把靠谱逻辑揉得更紧实、把跑偏想法筛出去、稳住整个推理大局,让长链思考不再松散混乱。

第三种叫自我探索,像范德华力一样弱,但覆盖面广。
这个就类似于“要不咱们试试这个角度”“有没有另一种可能性”,在语义空间里找新的解题路径。
量化分析显示,加上探索行为之后,模型在语义空间里的思维覆盖范围能从23.95扩大到29.22。
虽然思路一打开稳定性就会下降,容易跑偏想歪,但能让模型跳出死胡同,不卡在局部最优解里,真正找到全新的解题路线。
研究发现,所有强推理模型的三种思维行为比例和转换规律都高度一致,相关性超过0.9,说明有效长链推理存在通用的稳定拓扑结构。

你可能觉得“共价键”“氢键”只是个比喻,但论文发现,这个比喻背后藏着严格的数学对应。
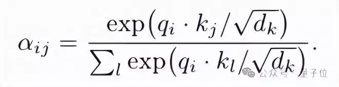
在Transformer里,注意力权重的计算方式长这样:

眼熟吗?这和统计力学里的玻尔兹曼分布一模一样:

如果把负注意力分数看作能量,那么注意力权重就是模型在语义空间里按“能量”高低选择路径的概率就是能量越低,被选中的概率越高
论文进一步分析了三种行为对应的“注意力能量”。
深度推理通常发生在相邻步骤之间,能量最低;自我反思会跳回较远的步骤,能量中等;自我探索跳得更远,能量最高.
这就解释了为什么强推理模型的三种键比例如此稳定。
因为模型的注意力机制本身就在追求最低能量的推理路径,而深度推理、反思、探索正好对应了不同距离下的能量层级。
语义同分异构体和智能熵减
接着团队还抛出了语义同分异构体的概念。
这词儿是借的化学,同样的分子式,原子连接方式不同,就能搞出性质完全不同的物质。
放到推理里就是,同样的题目,同样的概念点,用不同的”化学键“组合去解,出来的推理链条可以完全不一样,但都能解对。

但不是所有异构体都适合拿来教模型。
这里就要引入一个关键概念熵减
在热力学里,孤立系统总是自发走向混乱(熵增),而一个有效的长链推理过程,本质上就是在语义空间里不断降低不确定性——
从一堆可能的方向中,逐步收敛到唯一正确的答案。这个过程就是“熵减”。
而“注意力能量”机制,正是模型实现熵减的工具。
模型的注意力天然偏好能量更低的路径。
当深度推理(低能量)被反复选中,反思(中等能量)把前后逻辑折叠起来,探索(高能量)偶尔探路但不喧宾夺主,整个系统的“推理熵”就会快速下降,逻辑火速收敛。
这如论文里说的,只有那些能推动熵快速降低的“化学键”组合,才是模型真正能学会、能持续进化的稳定态。
这在实验中有个很典型的现象,从R1和OSS两个不同强推理模型中蒸馏出的推理轨迹,语义层面的内容相似度高达95%,但混在一起训练,模型反而崩溃了。
这说明,长链推理的关键是思路结构必须稳定、统一,模型才能学得会。
MoLE-Syn:从零合成稳定推理结构
发现问题就要解决问题。
基于这一整套发现,团队搞了个叫MoLE-Syn的方法,来从零合成稳定的推理结构。
具体操作就两步。
第一步,从强推理模型(比如R1、QwQ、gpt-OSS)的推理链里,抽出一张行为转移概率图。
这张图里每个节点是一种推理行为(化学键),每条边是从一个行为跳到另一个行为的概率。

第二步,拿着这张图,让普通的指令模型照着图上画的概率去生成推理链。
用这个方法从零合成的训练数据,喂给Llama或者Qwen,效果逼近直接蒸馏R1的水平。

而且这么做有一个大好处就是成本低。只要拿到那张行为转移图,普通模型就能自己生产合格的长链推理数据。
团队把用MoLE-Syn初始化过的模型拿去做强化学习,发现跑起来还特别稳。
相比直接用蒸馏数据初始化的模型,MoLE-Syn版的在RL过程中收益持续增长,震荡也小得多。

这说明一开始植入的思维结构够稳,后面的强化学习就不会出现逻辑偏移。
这项研究的负责人为字节Seed算法专家黄文灏,曾在微软亚洲研究院担任研究员。
第一作者是哈尔滨工业大学博士、字节Seed实习研究员陈麒光
合作单位还包括北京大学、2077AI Foundation、南京大学、M-A-P、中南大学。
不得不说,这波操作有点当年薛定谔拿物理学公式推生物学那味儿了。
给大模型推理这个卷得飞起的领域,开了个挺清爽的新脑洞。
论文地址:https://arxiv.org/abs/2601.06002
— 完 —
相关攻略
这项由瑞士洛桑联邦理工学院(EPFL)、意大利卢加诺大学(USI)、韦斯利安大学、巴黎脑研究所(ICM)以及宾夕法尼亚州立大学联合开展的研究,以预印本形式发布于2026年4月,论文编号为arXiv:2604 03480。对这一交叉领域感兴趣的读者,可以通过该编号在arXiv平台上查阅完整原文。 一、
北京商报讯(记者 陶凤 王天逸) 人工智能领域又传来一条振奋人心的消息。4月8日,摩尔线程正式宣布,其旗舰级AI训推一体全功能GPU——MTT S5000,已经成功完成了对智谱新一代旗舰模型GLM-5 1的Day-0极速适配。这意味着,推理部署与训练复现的全部流程,现在都能在这条国产算力路径上获得支
如何用SQL求解逻辑推理题:经典楼层分配谜题实战 今天我们来探讨一个非常有趣的技术应用:使用SQL来求解逻辑推理题。这听起来或许有些大材小用,但正是这种跨界应用,充分展现了SQL语言的强大灵活性以及开发者分析问题的思维能力。我们将以一个经典的五人楼层分配谜题作为案例,逐步拆解如何用纯粹的SQL找到答
一个学生忽视了一行代码,结果发现了一件很不对劲的事:在一个多模态医学AI项目中,这行代码原本负责让模型读取图像数据。但因为这次疏忽,模型实际上完全没有看到任何图片。按理说系统应该报错,或者至少拒绝回
雷递网 乐天 3月31日智谱CEO张鹏今日在智谱2025年年报沟通会上表示,智谱曾经历过质疑,经历过挫折,但无数事实反复验证了一个判断——智能上界的提升,是大模型AGI时代唯一的 "第一性 "。张鹏说,
热门专题
热门推荐
数据挖掘与分析的基本流程 想把一堆数据变成洞察和决策?你需要一个系统的流程。这里梳理了一套清晰可行的路径,按步骤推进,能让你的数据分析工作事半功倍。 第一步:数据探索 拿到数据别急着动手。先得跟它“认识认识”,看看它到底长什么样。这个过程就是数据探索:通过检验数据质量、绘制图表、计算关键特征量等方式
数据抓取这件事,本质上就是让自动化程序代替人手,按照预设的规则,从浩瀚的互联网上高效地收集公开信息。整个过程听起来很技术化,但其实可以把它拆解成几个环环相扣的步骤,理解起来并不难。 目标选择 第一步是明确方向。就像出门寻宝得先有张地图,数据抓取也需要事先锁定目标网站,并精确圈定出你要提取的具体数据内
在商业领域中,合同管理是一项至关重要的任务 生意越做越大,需要处理的合同自然也堆积如山。这时候,合同管理的效率与准确性,就成了所有管理者必须直视的关键问题。如何应对?答案之一是建立起一套高效的合同快速对比机制。今天,我们就来拆解一下实现合同快速对比的核心步骤与实用方法,帮你把这项繁琐却重要的工作,变
币圈巨鲸地址可通过五种方式识别:一、用Etherscan等浏览器查Top Holders;二、借Nansen、Arkham等平台看已标记地址;三、监控CryptoQuant交易所净流量;四、订阅Whale Alert实时警报;五、交叉验证Nansen、Glassnode等多源数据确保准确性。 币圈加
谷歌与苹果联手:下一代Siri背后的AI范式转移 科技圈最近有个大新闻,在Google Cloud Next26大会上,官方消息终于落定:苹果正式选定谷歌作为其首选云服务提供商。双方正在联手,基于谷歌的Gemini模型,共同开发下一代“Apple Foundation”机型。这意味着什么?简单说,那





