北大物理研究:所有大模型,都在学物理学本质

编辑|+0、泽南、Panda
LLM 智能体很赞,正在成为一种解决复杂难题的强大范式。
不过,这种成功目前更多还停留在「经验主义」的工程实践层面 —— 我们知道它好用,但往往不知道它在宏观上为何如此运作。那么,我们是否能找到一个理论框架,像物理学描述自然界那样,去理解和统一智能体的宏观动力学(macroscopic dynamics)?
为了解开这个黑盒,近日,北京大学物理学院、高能物理研究中心以及北京计算科学研究中心联合发力,跨界借用了物理学中经典的最小作用量原理(least action principle)。他们提出了一种新颖的方法,成功估计了嵌入在智能体中的 LLM 隐秘的生成方向性(directionality),揭示了 AI 生成过程背后可能存在的「物理定律」。

论文标题:Detailed balance in large language model-driven agents论文地址:https://arxiv.org/pdf/2512.10047
简单来说,他们通过实验测量了 LLM 生成状态之间的转移概率。基于此,他们在统计上发现了 LLM 生成转移中的细致平衡 (detailed balance) 现象。
这表明:LLM 的生成可能不是通过一般性地学习规则集和策略来实现的,而是通过隐式地学习一类潜在的势函数 (potential functions),这些势函数可能超越了不同的 LLM 架构和提示词模板。
该团队表示:「据我们所知,这是首次在不依赖特定模型细节的情况下,发现 LLM 生成动力学中的宏观物理定律。」
什么意思呢?通俗来说,该团队发现 AI 的思考并不是「死记硬背」,而是像水往低处流一样遵循「物理本能」。
是的,LLM 智能体在解决问题时,其行为模式并不像很多人以为的那样仅仅是在匹配规则或随机尝试,而是隐约看到了一张无形的地形图(势函数)。在这个地形图中,错误的答案就像是高地,而正确的答案则是谷底。智能体的每一次推理和生成,实际上都是在最小作用量原理的驱动下,自然而然地向着势能更低、质量更好的状态流动。
这意味着,AI 能够解决复杂问题,是因为它在海量参数中内化出了一种全局的「直觉」,这也是科学家首次在 AI 生成过程中发现了不依赖于特定模型的宏观物理定律。
这一发现将 AI 研究从「炼丹术」提升到了可量化的「物理科学」高度。通过验证物理学中的「细致平衡」现象,该团队证实了 AI 的思维跳跃并非无迹可寻,而是像热力学平衡系统一样有着严格的数学比例。
这让我们可以用物理指标来给不同的大模型画像;比如,研究发现:
Claude-4 像个急于交卷的优等生,倾向于快速收敛到某个答案(势井),但也容易固执己见;GPT-5 Nano 则像个探险家,虽然收敛慢,但更愿意在状态空间中多走走,探索未知的可能性。
这一理论框架让我们可以用科学测量的手段去预测和控制 AI 的行为,而不再仅仅依赖盲目的工程试错。看起来,也正如谷歌前些天的一篇论文展现的那样(参阅报道《谷歌发布智能体 Scaling Law:180 组实验打破传统炼金术》),AI 智能体的研究不再只是简单的工程实践,而是正在提升为建立在有效测量基础上的、可预测且可量化的科学。
下面具体来看看这个北大团队究竟发现了什么。
理论
为了严谨地表述这一问题,该团队研究的是一个核心由一个或多个 LLM 组成的智能体。
该智能体将其当前状态 f 作为输入,通过一系列确定性的步骤对状态进行组织和评估,从而生成一个相关的提示词。随后,该提示词被输入到一个或多个 LLM 中,其结构化的输出经解析后得到一个新的状态 g。该状态是研究 LLM 动力学的最小单位。
这种生成过程可以被视为状态空间 中的一个马尔可夫转移过程,其转移核为 P (g|f),保留了 LLM 生成的多样性和适应性。状态由智能体在每个时间步保留的完整信息定义,这应当包含智能体执行连续推理或类比过程所需的所有信息。在本文中,智能体仅包含 LLM 的单个生成步骤,记 (g←f)=P (g|f) 为智能体通过 LLM 生成从包含状态 f 的模板转移到包含状态 g 的输出的概率。
图 1 为示意图。

基于 LLM 的智能体的特征在于,其状态转移并非完全随机,而是表现出某种结构化的偏好。
具体而言,智能体倾向于从当前状态 f 转移到从智能体视角来看「更好」的状态 g。
为了捕捉这一现象,假设存在一个潜在的势函数 V_:→ℝ,它为每个状态分配一个标量值,以反映其「质量」。由于特定的势函数通常难以直接计算,研究者提出了一种有效估计该势函数的方法。
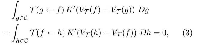
给定一个全局势函数 V,研究者将智能体的给定转移 (g←f) 对势函数的违背定义为 K (V (f)−V (g)),其中 K (x) 是一个凸函数,用于描述从状态 f 到状态 g 的转移在多大程度上违背了势函数 V 的排序。为了量化智能体行为与势函数之间的整体不匹配度,研究者以转移核 (g←f) 为权重,将作用量 定义为全局平均违背:

其中 Df,Dg 是状态空间上的测度。在本文中,研究者选择 K (x)=exp (-βx/2) 作为描述给定状态转移 f 到 g 违背标量函数 V 排序程度的凸函数。作用量 S 或 βV (f) 的分布形状可以代表该状态空间 C 内智能体的全局认知能力。
研究者提出,若要利用势函数量化 LLM 的行为,可以寻找一个使智能体转移与势函数之间的整体不匹配度最小化的势函数。因此,描述给定状态空间中基于 LLM 的智能体 最合适的势函数 V_ ,是那个能使作用量 S 最小化的函数。
这意味着作用量满足关于势函数 V_ 的变分原理:

该变分条件等价于 V_ 满足以下平衡条件:

这对所有 f∈C 成立,其中 K'(x)=dK/dx。
具体而言,如果对于所有转移 (g←f)>0,,均有 V (f)≥V (g) 成立,则表明智能体的状态转移是完全有序的,在此情况下,V 充当李雅普诺夫函数。
值得注意的是,如果 描述的是一个平衡系统的转移,其状态转移满足细致平衡条件,即对于所有状态对 (f,g),下式成立:

其中 π(f) 表示系统在状态 f 处的平衡分布,而 P (g|f) 表示转移核。在这种情况下,存在一个势函数 V 可以明确地将细致平衡表示为:

代入 (3) 式,可以验证该势函数 V=V_ 满足最小作用量原理。这表明对于平衡系统,如果存在细致平衡条件,则可以通过最小作用量原理估计其潜在的势函数。在一般情况下,最小作用量仅仅是在寻求势函数的最有序排列,从而最小化智能体状态转移对该排列的违背。
研究者指出,基于 LLM 的智能体在其 LLM 生成的状态空间中,往往表现得像一个平衡系统,该状态空间相较于 LLM 完整的生成序列是粗粒化的。这一现象的存在表明 LLM 生成动力学中存在一种不依赖于具体模型和任务细节的普遍宏观规律。这表明,尽管看似无关,但在不同的 LLM 生成过程之间存在潜在的联系,使我们能够通过势函数 V_ 描述 LLM 生成中的全局有序性,从而为 LLM 的内部动力学提供解释。
结论与展望
在本文中,研究者提出了一种基于最小作用量原理的框架,旨在描述和分析基于 LLM 的智能体在其 LLM 生成的状态空间中的生成动力学。
通过在多个不同模型和任务上的实验验证,研究者发现这些智能体的状态转移在很大程度上满足细致平衡条件,这表明它们的生成动力学表现出类似于平衡系统的特征。研究者进一步通过最小作用量原理估计了底层的势函数,并揭示了其在捕捉 LLM 生成动力学内在方向性方面的重要作用。
研究者对发现 LLM 生成动力学中的宏观规律进行了初步探索。
该团队也展望了未来:「未来的工作可以进一步扩展这一框架,并探索利用更多来自平衡及近平衡系统的工具,以理解和优化 LLM 的生成过程。例如,研究偏离平衡的程度可能有助于我们理解模型的过拟合水平,因为过拟合的模型可能会学习更多局部的策略集,而不是由势函数支配的全局生成模式。此外,基于势函数的优化方法也可能为提高 LLM 任务相关生成的质量和多样性提供新思路,例如根据不同的安全性和探索需求调整不同幅度的作用量。」
更多技术细节请参阅原论文。
相关攻略
深度剖析:什么是工作量证明(PoW)共识机制? 在区块链技术的浩瀚世界中,工作量证明 堪称共识机制的奠基者与守护神。作为比特币、莱特币等早期主流加密货币的核心引擎,PoW(工作量证明) 通过一种精妙的设计,解决了去中心化网络中“谁来记账”的根本性难题。它不仅保障了账本数据的不可篡改与全局一致,更以其
想在加密市场寻找稳健的被动收入?加密货币期权交易或许是一个值得探索的新途径。接下来的内容,将为你清晰拆解期权交易的核心概念与实战平台,助你从零起步,快速入门。 什么是加密货币期权? 简单来说,“加密货币期权”是一种赋予你“权利”而非“义务”的金融合约。它允许你在未来某一特定时间,以现在约定好的价格,
什么是加密挖矿? 提起区块链网络的基石,加密挖矿绝对是最关键的环节之一。很多人好奇,这套机制到底是如何运行的,又为何对比特币这类数字资产至关重要?说到底,挖矿远不止“创造新币”那么简单,它更是整个网络的安全卫士和交易公证人。 弄懂加密货币挖矿的底层逻辑,无论是投资者、交易者还是纯粹的技术爱好者,都能
深入解析如何辨识加密货币市场中的空头挤压 想在加密市场成为顶尖的交易者?那你必须搞懂空头挤压。这项策略不仅是专业玩家的高级玩法,更直接关系到你账户的安全。今天,我们就来拆解比特币及其他数字资产上“挤压”的风险与机会。更重要的是,当交易平台出现剧烈波动时,你将学会如何有效守护自己的投资。 简介 说起“
什么是区块链技术中的排序器? 如果你关注过Layer2的盈利能力,可能会对一组数据印象深刻:粗略统计,OP Mainnet在去年下半年的利润约523万美元,Arbitrum全年利润1650万美元,而zkSync Era在2023年3月到12月间的利润更是达到了2224万美元。 如此巨大的利润从何而来
热门专题
热门推荐
科学家警告,过度依赖人工智能可能削弱创造力与批判性思维,类似GPS损害方向感。研究显示,AI替代需“认知摩擦”的思考过程,或导致认知能力衰退。专家建议应有意识使用AI,使其成为思维“扩音器”而非替代品,例如先自主判断、加深信息处理、主动创意构思,以保护并锻炼大脑独特能力。
谷歌推出云端AI驱动的安卓电脑,重塑PC形态。当前AIPC多依赖云端算力,本地硬件价值受质疑。云电脑与AI结合成为新方向,对网络延迟更宽容。谷歌联合硬件伙伴推进该方案,阿里等云服务商也已布局。传统芯片、终端厂商及微软、苹果正以不同策略应对AIPC趋势。未来竞争将聚焦云端能力、系统重构与生态协。
结论先行:在2026年的商业环境中,企业数字化转型方法的核心不再是单纯的IT系统堆砌,而是“业务流程自动化”与“AI智能化”的深度融合。成功的数字化转型方法论应遵循“小步快跑、场景切入、数据驱动”的原则,利用AI Agent(智能体)技术打通烟囱式系统,实现平滑升级,而非推倒重来。 一、 拒绝假大空
面对琳琅满目的产品设计软件,许多设计师和团队都在追问:究竟哪一款才是最好的选择?然而,真正的答案并非一个简单的软件名称,而是一套基于您具体工作流程的适配逻辑。本文将为您系统解析,如何跳出“最好”的迷思,找到最“对”的那款工具,从而最大化团队效率与产出价值。 核心决策逻辑 首先,我们必须确立一个核心原
跨境电商的售后环节,本质上是客户信任的二次考验。当问题出现时,初次交易建立的信任已然动摇,若处理不当,将直接导致客户永久流失。因此,构建一套真正高效的售后体系,必须实现三大核心目标:响应速度需如本地支付般即时;处理规则需预先设定,实现小额纠纷的自动化化解;最终,所有流程数据必须形成闭环,驱动供应链的





