HuggingFace趋势第一:AutoDeco实现端到端模型自动调参解码
由腾讯AI Lab的王琥研究员及其团队领衔,联合香港中文大学(深圳)唐晓莹教授及其博士生王志超,提出了一个巧妙的解决方案。他们推出了名为AutoDeco的全新架构,旨在彻底告别手动调整解码参数的"手工作坊"时代。
免费影视、动漫、音乐、游戏、小说资源长期稳定更新! 👉 点此立即查看 👈
对于大语言模型的研究者们来说,可能都曾面临一个共同的困扰:针对不同任务和不同模型,都需要手动调整解码超参数(如temperature和top-p)。这个过程不仅耗时耗力,而且一旦模型或任务发生变化,过往的经验便瞬间失效,一切又得从头开始。
这种繁琐的试错过程,在许多研发团队的日常沟通中屡见不鲜,正如下图所示所展示的那样:

图1:研发人员手动调整解码参数的日常写照。
一个深刻的问题随之而来:为何不能让模型自己学会如何解码,从而实现真正的"端到端"生成?
事实上,各大模型厂商的API文档也印证了这一难题。以DeepSeek为例,其最新文档明确建议针对不同场景设置截然不同的temperature值,这使得单一的静态参数设置显得捉襟见肘。

图2:不同任务需要不同的解码参数,这使得静态设置难以应对复杂多变的现实需求。
近期,腾讯AI Lab的王琥研究员带领团队,联合香港中文大学(深圳)唐晓莹教授及其博士生王志超,给出了一个优雅的答案。他们推出了名为AutoDeco的全新架构,旨在彻底终结手动解码的"手工作坊"时代。这项研究《The End of Manual Decoding: Towards Truly End-to-End Language Models》,通过让模型动态预测并控制自身的解码参数,向着真正端到端的语言生成迈出了关键一步。

论文链接: https://huggingface.co/papers/2510.26697代码链接: https://github.com/Zacks917/AutoDeco模型链接: https://huggingface.co/collections/Jadeislaw/autodeco

图3:AutoDeco位居Hugging Face Daily Papers榜首
当前,尽管LLM本身已高度集成,但生成过程的"最后一公里"——解码,仍然是一个独立于模型之外的、不可微分的僵硬环节。研究团队形象地将其比作"手动挡变速器":无论引擎多么强大,换挡操作依然依赖人工进行。
AutoDeco的核心思想,就是为LLM装上"自动挡"。它通过在标准Transformer架构中引入两个超轻量的预测头,让模型在生成每一个token时,都能根据当前的上文信息,动态地预测出最适合下一步生成的temperature和top-p值。

图4:AutoDeco(上)与传统手动解码(下)的对比。AutoDeco将解码参数的预测无缝集成到模型的前向传播中,实现了动态自适应调节。
核心挑战与技术突破:如何训练一个没有"标准答案"的任务?
设想很美好,然而,一个关键的挑战摆在研究团队面前:如何训练这些预测头?在训练数据中,并不存在每一时刻"正确"的温度和top-p标签,这使得监督学习无从谈起。
为此,团队提出了一种创新的、完全端到端的训练策略。他们设计了一种新颖的"软性top-p"机制,巧妙地替代了传统top-p采样中不可微分的"硬截断"操作。该方法分为三步:
(一)温度缩放:首先,使用模型预测的温度对原始logits l进行缩放,得到初始概率分布p。


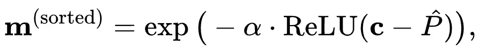
(二)掩码生成:接着,计算概率的累积分布c,并使用模型预测的top-p值
生成一个平滑的、可微分的掩码m。其核心思想是,对于累积概率小于
的token,掩码值为1;对于超出部分的token,掩码值通过一个指数衰减函数平滑地趋近于0。

其中α是控制衰减程度的超参数。
(三)最终概率分布:最后,将掩码应用到初始概率上并重新归一化,得到最终的可微分概率分布p。


图5:可微分的soft top-p(橙色线)与传统的hard top-p(绿色线)对比。Soft top-p的平滑特性打通了从最终生成损失到解码参数预测头的梯度路径。
这一设计的巧妙之处在于,它使得从最终的"下一个词预测"损失到解码参数预测头的梯度能够顺畅回传。如此一来,模型便可以在标准的Next Token Prediction任务中,通过优化最终生成结果来"倒逼"自己学会如何动态调整解码策略,整个过程无需任何额外的标注数据。
AutoDeco的惊人表现:三大亮点
通过在Llama、Qwen、Deepseek等多个主流模型系列上的广泛实验,AutoDeco展现了其强大的能力:
卓越的性能与泛化能力
实验结果表明,AutoDeco不仅稳定超越了传统的Greedy Search和Default Sampling等基线方法,其性能甚至能媲美、乃至超越了利用测试集进行精细调优的"神谕"基线。


图6:AutoDeco在多个数学和通用任务benchmark上均取得了SOTA性能,展现了其强大的泛化能力。
极致的效率与易用性
AutoDeco的预测头设计极为轻量,其带来的额外推理延迟通常仅为1.7%,内存开销也几乎可以忽略不计。对于开发者而言,接入AutoDeco模型仅需修改几行代码,即可享受"免费"的性能提升。
"言出法随":开创性的自然语言控制能力
研究中最令人兴奋的发现之一,是AutoDeco涌现出的"通过自然语言控制解码"的能力。用户可以直接在prompt中通过自然语言下达指令,如"我希望答案更有创意",模型便能"听懂"并自主地调高其预测的temperature和top-p值,整个过程清晰可见。

图7:在不同指令下,AutoDeco预测的T/P值变化。从左至右分别为:基线、高创造力指令(T/P值自发升高)、高确定性指令(T/P值自发降低)。
当然,作者坦言这种能力还不够完善,还做不到非常精准的控制。他们猜测要实现细粒度、高精度的自然语言控制解码无法仅仅通过微调AutoDeco模块做到,而是需要全参数微调模型,这也被他们列为了Future work的重点。因此,作者没有放出带有自然语言控制能力的AutoDeco heads权重。
AutoDeco在发布后迅速吸引全球AI社区的关注,在Twitter等社交平台上引发了顶尖学者、开发者和企业家的广泛热议和高度评价。

图8:大模型社区对AutoDeco的广泛热议和高度评价。
目前,该团队已将论文、代码以及在多个主流模型上训练好的AutoDeco heads全面开源,包含适配于Deepseek V3.1、Qwen3-235B、GPT-OSS-120B等生产级大模型的版本。正如研究人员在分享中所说,这项工作旨在将研究者和开发者从繁琐的调参工作中解放出来,共同迈向一个更智能、更自动化的AGI新时代。
相关攻略
Solidus AI 是什么 在AI与Web3加速融合的当下,一个名为Solidus AI的项目提出了自己的解决方案。它将自己定位为“Web3原生的AI HPC基础设施”,其蓝图相当清晰:以位于欧洲的环保高性能计算(HPC)数据中心为基石,向上构建一个计算与AI工具市场,并最终通过AITECH代币完
Cardano (ADA) 2026年价格预测:AI深度解析与增长路径 在瞬息万变的加密市场,人工智能分析正成为洞察未来趋势的关键工具。近期,由Grok AI模型发布的Cardano(ADA)2026年价格预测引发了广泛关注,其大胆展望ADA或有望触及两位数美元价格。这不仅彰显了AI数据分析的潜力,
京东“全民养虾计划”:开启AI助手体验新纪元 科技领域近期迎来一场别开生面的创新活动:京东正式推出“全民养虾计划”。表面看,它与美食相关,实际上是一场针对AI智能体技术普及的宏大实验。该计划通过“购买AI硬件、赠送专业安装服务与趣味小龙虾”的组合策略,为当前热门的开源AI智能体——OpenClaw,
以太坊资本外溢:TRON为何成为15 2亿美元稳定币新枢纽? 区块链世界的地壳运动从未停止,资本的流向便是其中最敏锐的震感。近期,一场规模惊人的资本迁徙正在上演:大量资金正从以太坊网络流出,涌入TRON生态。这不仅是简单的资产转移,更是一次深刻的行业风向标,揭示了用户对交易成本、网络效率与应用场景的
自研第一个SKILL:手把手教你开发openclaw自定义技能 当你成功构建好openclaw之后,如何让它真正“智能”起来?关键在于为其开发SKILL——这些技能是openclaw的“内功心法”,决定了它能帮你做什么、做多好。 本文将带你亲自动手,从零开始开发你的第一个openclaw自定义技能,
热门专题
热门推荐
曙光英雄青木全面攻略:技能解析、连招技巧与出装思路 在《曙光英雄》中,青木是位列T1梯度的顶尖刺客,其强度与机动性仅次于版本强势英雄飞廉。凭借高额的瞬间爆发伤害,以及集隐身、位移、免伤于一体的全能机制,他能够有效掌控战场节奏,成为对手后排的梦魇。本文将为你深度解析这位“幻影刺客”的技能机制、实战技巧
《三国杀:武将觉醒》新手专武和锦囊选择全攻略 当角色等级达到30至35级,游戏核心的专武与锦囊系统随之解锁。这无疑是前期养成的重要分水岭:选择得当能带来立竿见影的战力飞跃,决策失误则会浪费宝贵资源,拖慢游戏进度。本攻略将为你详细解析,帮助各位主公高效构建阵容,走好养成第一步。 首先要掌握一个关键信息
三国志王道天下盾兵阵容深度解析 在策略手游《三国志:王道天下》中,一套强力的阵容往往能让你在沙场上所向披靡。最近,许多玩家都在探讨如何构建一支攻防兼备的盾兵队伍。本文将为你全面拆解一套经过PVP与PVE双重考验的顶尖盾兵阵容体系,从配置到机制,助你打造坚不可摧的防御核心。 阵容核心构成与战略定位 本
双十一购物节来袭,爱奇艺多重福利重磅开启! 海量影视限时特惠 今年的双十一,爱奇艺将海量优质影音资源纳入超值促销。无论是刚刚下映的院线热门大片、全网刷屏的爆款电视剧,还是口碑载道的独家王牌综艺,均推出了前所未有的心动折扣。这意味着您无需支付高昂的影院票价,也无需为多平台会员费烦恼,居家即可轻松搭建个
《梦境护卫队》×《葫芦兄弟》2024联动活动完整攻略:奖励领取与资源规划指南 备受期待的《梦境护卫队》与经典国漫《葫芦兄弟》官方联动现已正式开启!本次活动为玩家带来了丰富的限定奖励与趣味玩法,社区热度持续攀升。无论你是追求收藏还是提升战力,这份详尽的奖励解析与高效获取攻略,都将帮助你轻松领满全部免费





