【飞桨论文复现赛-小样本学习】MatchingNet
本文是百度论文复现赛中《Matching Networks for One Shot Learning》的复现代码说明。基于paddlepaddle-gpu2.2.2和python3.7环境,在miniImageNet数据集上完成。复现的5-way 1-shot和5-shot准确率分别为48.3%、62.2%,超论文原结果。介绍了模型背景、数据集、运行步骤、对比试验及复现心得。

一、前言
本项目为百度论文复现赛《Matching Networks for One Shot Learning》论文复现代码。
免费影视、动漫、音乐、游戏、小说资源长期稳定更新! 👉 点此立即查看 👈
依赖环境:
paddlepaddle-gpu2.2.2python3.7在miniImageNet数据集下训练和测试。
5-way Acc:
二、模型背景及其介绍
参考论文:《Matching Networks for One Shot Learning》论文链接
在这项工作中,论文采用了基于深度神经特征的度量学习和利用外部记忆增强神经网络的最新进展。论文中框架学习了一个网络,它将一个小的带标签的support set和一个未带标签的示例映射到本身的标签上,从而避免了调整以适应new class类型的需要。然后我们定义了视觉(使用Omniglot, ImageNet)和语言任务的one-shot学习问题。与其他方法相比,论文算法在ImageNet上的one-shot精度从87.6%提高到93.2%,在Omniglot上从88.0%提高到93.8%。
模型结构如下:
论文主要解决:基于小样本去学习归类(或别的任务),并且这个训练好的模型不需要经过调整,也可以用在对训练过程中未出现过的类别进行归类。
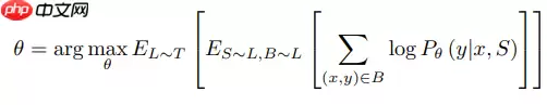
MatchingNet的训练对象如下公式:
其中,一个 batch 有多个任务,一个任务有一个支持集合一个测试样本,一个支持集有多个样本对。模型应用到新的类别时不需要进行微调,是因为模型学到的是一种映射的方法,
参考论文博客
参考项目地址 复现github地址
三、数据集
2016年google DeepMind团队从Imagnet数据集中抽取的一小部分(大小约3GB)制作了Mini-Imagenet数据集,共有100个类别,每个类别都有600张图片,共60000张(都是.webp结尾的文件)。
Mini-Imagenet数据集中还包含了train.csv、val.csv以及test.csv三个文件。
train.csv包含38400张图片,共64个类别。val.csv包含9600张图片,共16个类别。test.csv包含12000张图片,共20个类别。每个csv文件之间的图像以及类别都是相互独立的,即共60000张图片,100个类。
四、运行
本项目5-way分类可设1-shot和5-shot。如果用5-shot可设置--n_shot 5,用1-shot可设置--n_shot 1。下面以5-shot为例。
解压miniImagenet数据集到./filelists目录下用于训练
In [1]#加载miniImagenet数据集%cd /home/aistudio/work/Paddle-MatchingNet/filelists/!unzip -oq /home/aistudio/data/data138415/miniImagenet.zip登录后复制
/home/aistudio/work/Paddle-MatchingNet/filelists登录后复制
1、训练
训练的模型保存在./record目录下
训练的日志保存在./logs目录下
In [ ]%cd /home/aistudio/work/Paddle-MatchingNet/!python3 train.py --n_shot 5登录后复制
2、保存特征
将提取的特征保存在分类层之前,以提高测试速度。
加载./record目录下的模型进行特征保存
In [ ]# 可加载预先训练好的模型文件到./record目录下%cd /home/aistudio/work/Paddle-MatchingNet/record/!unzip -oq /home/aistudio/data/data140016/checkpoint_matchingnet.zip登录后复制 In [ ]
%cd /home/aistudio/work/Paddle-MatchingNet/!python3 save_features.py --n_shot 5登录后复制
3、测试
测试之前执行!python3 save_features.py预先提取特征
这里展示5-shot测试结果
In [15]%cd /home/aistudio/work/Paddle-MatchingNet/!python3 test.py --n_shot 5登录后复制
/home/aistudio/work/Paddle-MatchingNetW0418 20:57:16.315918 1841 device_context.cc:447] Please NOTE: device: 0, GPU Compute Capability: 7.0, Driver API Version: 10.1, Runtime API Version: 10.1W0418 20:57:16.321213 1841 device_context.cc:465] device: 0, cuDNN Version: 7.6./opt/conda/envs/python35-paddle120-env/lib/python3.7/site-packages/paddle/framework/io.py:415: DeprecationWarning: Using or importing the ABCs from 'collections' instead of from 'collections.abc' is deprecated, and in 3.8 it will stop working if isinstance(obj, collections.Iterable) and not isinstance(obj, (600 Test Acc = 62.83% +- 0.73%登录后复制
五、代码结构
├─data # 数据处理包├─filelists # 数据文件├─methods # 模型方法├─logs # 训练日志├─record # 训练保存文件 │ configs.py # 配置文件│ README.md # readme│ save_features.py # 保存特征│ train.py # 训练│ test.py # 测试登录后复制
六、对比试验
原论文中没有对miniImageNet做数据增强,本次复现也默认未做数据增强。本项目对是否采用数据增强做了对比实验。 结果如下:
发现做数据增强的MatchingNet出现了精度下降的情况,可参考论文复现ProtoNet的分析,项目中有设置train_aug是否做数据增强,可自行测试。
七、复现心得
本项目参照小样本方向论文baseline给出的repo代码复现。复现过程中遇到一个比较大的问题是dataloader的设计编写,原repo设计dataloader采用了iter迭代方式,每次next的是一个sub_dataloader()。我用相同的方式使用paddle复现后,发现内存无限的增长。这个问题一直困扰,最后放弃了原repo使用sub_dataloader()的方式,采用普通的dataloader()的方法。下面给出部分实现SetDataset()的方案代码:
def __getitem__(self, i): index = self.cl_list[i.item()] sub_data = np.array(self.sub_meta[index]) ri = np.random.permutation(len(sub_data)) sf_sub_data = sub_data[ri][:self.batch_size] imgs = [] targets = [] for ssd in sf_sub_data: image_path = os.path.join(ssd) img = Image.open(image_path).convert('RGB') img = self.transform(img) target = paddle.to_tensor(self.target_transform(index)) imgs.append(img) targets.append(target) imgs = paddle.stack(imgs, axis=0) targets = paddle.stack(targets, axis=0) return imgs, targets登录后复制 相关攻略
常见报错解析:“Access Not Configured”故障排除指南 许多开发者和团队成员在使用OpenClaw集成飞书时,都曾遭遇过一个典型的中断提示:“access not configured”(访问未配置)。该提示会明确显示您的飞书账户ID及一组唯一的配对验证码,并指出需要联系机器人所有
OpenClaw 常用指令大全与使用详解 openclaw status:此命令是查看OpenClaw系统整体健康状态的核心指令,执行后即获取服务运行状况的全面报告,是日常运维的首要诊断工具。 openclaw gateway restart:在修改网关配置后,必须运行此指令以重启网关服务,使配置文
如何通过 OpenClaw 实现 Chrome 浏览器自动化操控 在软件开发与自动化测试领域,持续学习是常态。本文旨在详细介绍如何利用 OpenClaw 连接并控制一个已开启的 Chrome 浏览器实例,实现点击、文本输入、文件上传、页面滚动、屏幕截图以及执行 JavaScript 等自动化操作。整
项目概述 你是否希望将强大的 AI 助手带入日常聊天?本教程将指导你完成搭建流程,让你能在 QQ 上直接调用 OpenClaw 智能助手,实现无门槛的 AI 对话体验。 架构说明 ┌─────────────┐ ┌──────────────┐ ┌─────────────┐ │ QQ 用户 │ ─
一 下载并安装Node js,全程保持默认设置 首先,请前往Node js官方网站的下载中心:https: nodejs org zh-cn download。根据您的操作系统(Windows Mac Linux)下载对应的安装程序。运行安装向导时,整个过程非常简单,您只需连续点击“下一步”按钮
热门专题
热门推荐
《无限轮回》新手入门指南:高效开局与核心机制解析 你是否渴望在《无限轮回》中快速成长,成为团队中可靠的伙伴?对于新手而言,正确的开局思路至关重要。切忌盲目拾取未知物品,一个不当操作——例如过早将关键法器“葫芦”交给队友——就可能打乱核心输出的成长节奏,导致团队覆灭。作为团队辅助,你的首要目标并非打出
Fami通最新销量榜出炉:日本实体游戏软件销量数据解读(2026年3月16日-22日) 日本游戏市场每周的风向变幻,总是由那些长青的头部作品与新晋热作共同书写。根据权威媒体《Fami通》最新发布的实体销量估算数据,在2026年3月16日至3月22日这一周,市场格局呈现出清晰的趋势:任天堂Switch
王者荣耀S43赛季射手梯度排行榜单 新赛季的射手格局已基本定型,可以用一句话概括核心趋势:敖隐与蚩妩两位英雄构成双星闪耀的T0阵营,综合强度堪称断层领先。紧随其后的T1梯队中,公孙离、艾琳、孙权、元流之子(射手)等英雄各怀绝技,或凭借极致的灵活拉扯掌控战局,或依赖无解的持续输出主宰团战。而处于T2梯
长生:天机降世怎么玩:从入门到精通的全面攻略 《长生:天机降世》是一款深度策略卡牌手游。其核心玩法在于通过策略性的卡牌组合与角色搭配,在限定回合内,最大化自身伤害输出并在竞技排行榜上取得优势。想要玩好这款游戏,深入理解其底层机制是关键第一步。 《长生:天机降世》新手入门与高阶玩法解析: 一、游戏核心
在本来生活平台下单购物后,及时查询并跟踪物流信息,可以帮助我们准确掌握包裹的预计送达时间,提前做好收货安排。那么,在本来生活应该如何高效地查询快递物流状态呢?下面为您详细介绍几种常用方法。 进行网络购物之后,用户最关心的问题通常是“我的包裹现在运送到哪里了?”实时了解物流进度,不仅能减少等待期间的焦





