图像质量与相似度评估指标 SSIM 和 MS-SSIM 的 Paddle 实现
本文介绍了基于图像结构相关性的经典质量评估方法SSIM和MS-SSIM。SSIM通过亮度、对比度、结构三个模块计算图像相似度;MS-SSIM则是多尺度的SSIM。文中还提及Paddle的实现,包括paddle_msssim包的使用,测试对比显示其与其他实现结果接近且速度有优势,并给出了计算指标和作为损失函数的示例。

引入
自然图像具有极高的结构性,表现在图像的像素间存在着很强的相关性,尤其是在空间相似的情况下,这些相关性在视觉场景中携带着关于物体结构的重要信息我们假设人类视觉系统主要从可视区域内获取结构信息,人类视觉系统所以通过探测结构信息是否改变来感知图像失真的近似信息大多数的基于误差敏感度(Error Sensitivity)的质量评估方法(如 MSE, PSNR)使用线性变换来分解图像信号,这不会涉及到相关性而接下来要介绍的 SSIM 和 MS-SSIM 方法,便是通过图像结构相关性来衡量图像之间相似度和评估图像质量的两种经典的方法参考资料
SSIM 研究主页
免费影视、动漫、音乐、游戏、小说资源长期稳定更新! 👉 点此立即查看 👈
SSIM 论文
MS-SSIM 论文
Paddle-MSSSIM
算法介绍
SSIM
SSIM(Structural SIMilarity)即结构相似性指数,是一种测量两个图像之间相似性的方法
假定其中一幅图像具有完美的质量,则 SSIM 指数可以被视为另一幅图像质量的度量。
SSIM 指数的计算流程如下图所示:

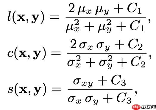
由 SSIM 测量系统可得相似度的测量可由三种对比模块组成,分别为:亮度(l),对比度(c),结构(s),各个模块的计算公式如下:

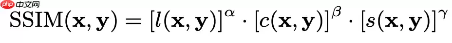
总体的计算公式如下:

MS-SSIM
MS-SSIM(Multi-Scale Structural Similarity)即多尺度结构相似性指数
是一种基于多尺度(图片按照一定规则,由大到小缩放)的 SSIM 指数
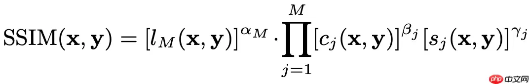
具体的计算公式如下:

Paddle 实现
基于 Pytorch MS-SSIM 项目开发了一个快速、可微分的 SSIM 和 MS-SSIM 的 Paddle 实现
可以通过安装并调用 paddle_msssim 包快速实现 SSIM 和 MS-SSIM 的计算
Paddle MS-SSIM 与 SKImage、TensorFlow 和 Pytorch MS-SSIM 实现的测试对比结果如下:
outputs(AMD Ryzen 4600H): =================================== Test SSIM=======================================> Single ImageRepeat 10 timessigma=0.0 ssim_skimage=1.000000 (247.7732 ms), ssim_tf=1.000000 (277.2696 ms), ssim_paddle=1.000000 (179.4677 ms), ssim_torch=1.000000 (183.6994 ms)sigma=10.0 ssim_skimage=0.932399 (226.1620 ms), ssim_tf=0.932640 (257.2435 ms), ssim_paddle=0.932636 (163.2263 ms), ssim_torch=0.932400 (179.1418 ms)sigma=20.0 ssim_skimage=0.786023 (224.1826 ms), ssim_tf=0.786032 (279.2126 ms), ssim_paddle=0.786017 (158.3070 ms), ssim_torch=0.786027 (180.0890 ms)sigma=30.0 ssim_skimage=0.637174 (237.5582 ms), ssim_tf=0.637183 (267.6092 ms), ssim_paddle=0.637165 (167.9277 ms), ssim_torch=0.637178 (181.7910 ms)sigma=40.0 ssim_skimage=0.515865 (221.0388 ms), ssim_tf=0.515876 (264.3230 ms), ssim_paddle=0.515857 (170.7676 ms), ssim_torch=0.515869 (189.0941 ms)sigma=50.0 ssim_skimage=0.422551 (222.6846 ms), ssim_tf=0.422558 (273.1971 ms), ssim_paddle=0.422542 (168.3579 ms), ssim_torch=0.422554 (176.7442 ms)sigma=60.0 ssim_skimage=0.351337 (215.1536 ms), ssim_tf=0.351340 (270.5560 ms), ssim_paddle=0.351325 (164.3315 ms), ssim_torch=0.351340 (194.6781 ms)sigma=70.0 ssim_skimage=0.295752 (210.0273 ms), ssim_tf=0.295756 (272.1814 ms), ssim_paddle=0.295744 (169.3864 ms), ssim_torch=0.295755 (178.9230 ms)sigma=80.0 ssim_skimage=0.253164 (239.2978 ms), ssim_tf=0.253169 (260.8894 ms), ssim_paddle=0.253157 (184.7061 ms), ssim_torch=0.253166 (181.4640 ms)sigma=90.0 ssim_skimage=0.219240 (224.7329 ms), ssim_tf=0.219245 (270.3727 ms), ssim_paddle=0.219235 (172.3580 ms), ssim_torch=0.219242 (180.5838 ms)sigma=100.0 ssim_skimage=0.192630 (238.8582 ms), ssim_tf=0.192634 (261.4317 ms), ssim_paddle=0.192624 (166.0294 ms), ssim_torch=0.192632 (175.7241 ms)Pass!====> BatchPass!登录后复制
=================================== Test MS-SSIM=======================================> Single ImageRepeat 10 timessigma=0.0 msssim_tf=1.000000 (534.9398 ms), msssim_paddle=1.000000 (231.7381 ms), msssim_torch=1.000000 (257.3238 ms)sigma=10.0 msssim_tf=0.991148 (525.1758 ms), msssim_paddle=0.991147 (213.8527 ms), msssim_torch=0.991101 (243.9299 ms)sigma=20.0 msssim_tf=0.967450 (523.3070 ms), msssim_paddle=0.967447 (217.2415 ms), msssim_torch=0.967441 (253.1073 ms)sigma=30.0 msssim_tf=0.934692 (538.5145 ms), msssim_paddle=0.934687 (215.2203 ms), msssim_torch=0.934692 (242.5429 ms)sigma=40.0 msssim_tf=0.897363 (558.0346 ms), msssim_paddle=0.897357 (219.1107 ms), msssim_torch=0.897362 (249.1027 ms)sigma=50.0 msssim_tf=0.859276 (524.8582 ms), msssim_paddle=0.859267 (232.4189 ms), msssim_torch=0.859275 (263.1328 ms)sigma=60.0 msssim_tf=0.820967 (512.8726 ms), msssim_paddle=0.820958 (223.7422 ms), msssim_torch=0.820965 (251.9713 ms)sigma=70.0 msssim_tf=0.784204 (529.6149 ms), msssim_paddle=0.784194 (213.1742 ms), msssim_torch=0.784203 (244.9676 ms)sigma=80.0 msssim_tf=0.748574 (545.3014 ms), msssim_paddle=0.748563 (222.8581 ms), msssim_torch=0.748572 (261.0413 ms)sigma=90.0 msssim_tf=0.715980 (538.3886 ms), msssim_paddle=0.715968 (214.4464 ms), msssim_torch=0.715977 (282.6247 ms)sigma=100.0 msssim_tf=0.683882 (540.9150 ms), msssim_paddle=0.683870 (218.5596 ms), msssim_torch=0.683880 (244.1856 ms)Pass====> BatchPass登录后复制
具体的安装使用方法如下:
安装
In [ ]!pip install paddle_msssim登录后复制
计算 SSIM 和 MS-SSIM 指标
这里使用如下三张图像来计算他们之间的 SSIM 和 MS-SSIM 指标,结果如下:
具体的计算代码如下:
In [20]import cv2import paddlefrom paddle_msssim import ssim, ms_ssimdef imread(img_path): img = cv2.imread(img_path) return paddle.to_tensor(img.transpose(2, 0, 1)[None, ...], dtype=paddle.float32)simga_0 = imread('./images/simga_0.webp')simga_50 = imread('./images/simga_50.webp')simga_100 = imread('./images/simga_100.webp')ssim_0 = ssim(simga_0, simga_0)ssim_50 = ssim(simga_0, simga_50)ssim_100 = ssim(simga_0, simga_100)print('[SSIM] simga_0: %f simga_50: %f simga_100: %f' % (ssim_0, ssim_50, ssim_100))ms_ssim_0 = ms_ssim(simga_0, simga_0)ms_ssim_50 = ms_ssim(simga_0, simga_50)ms_ssim_100 = ms_ssim(simga_0, simga_100)print('[MS-SSIM] simga_0: %f simga_50: %f simga_100: %f' % (ms_ssim_0, ms_ssim_50, ms_ssim_100))登录后复制[SSIM] simga_0: 1.000000 simga_50: 0.422927 simga_100: 0.192567[MS-SSIM] simga_0: 1.000000 simga_50: 0.858861 simga_100: 0.684299登录后复制
作为损失函数使用
随机初始化的一张雪花图像,使用 SSIM 和 MS-SSIM 作为损失函数去拟合目标图像In [31]import osimport sysimport paddleimport numpy as npfrom PIL import Imagefrom paddle.optimizer import Adamfrom paddle_msssim import SSIM, MS_SSIMloss_type = 'ssim'assert loss_type in ['ssim', 'msssim']if loss_type == 'ssim': loss_obj = SSIM(win_size=11, win_sigma=1.5, data_range=1, size_average=True, channel=3)else: loss_obj = MS_SSIM(win_size=11, win_sigma=1.5, data_range=1, size_average=True, channel=3)np_img1 = np.array(Image.open("./images/simga_0.webp"))img1 = paddle.to_tensor(np_img1.transpose(2, 0 , 1)).unsqueeze(0) / 255.0img2 = paddle.rand(img1.shape)img1 = paddle.to_tensor(img1, stop_gradient=True)img2 = paddle.to_tensor(img2, stop_gradient=False)with paddle.no_grad(): ssim_value = loss_obj(img1, img2).item() print("Initial %s: %f:" % (loss_type, ssim_value))optimizer = Adam(parameters=[img2], learning_rate=0.05)step = 0while ssim_value < 0.9999: step += 1 optimizer.clear_grad() loss = loss_obj(img1, img2) (1 - loss).backward() optimizer.step() ssim_value = loss.item() if step % 10 == 0: print('step: %d %s: %f' % (step, loss_type, ssim_value))img2_ = (img2 * 255.0).squeeze()np_img2 = img2_.detach().numpy().astype(np.uint8).transpose(1, 2, 0)results = Image.fromarray(np.concatenate([np_img1, np_img2], 1))results.save('results_%s.webp' % loss_type)results登录后复制Initial ssim: 0.010401:step: 10 ssim: 0.225660step: 20 ssim: 0.733606step: 30 ssim: 0.919254step: 40 ssim: 0.970057step: 50 ssim: 0.990348step: 60 ssim: 0.998122step: 70 ssim: 0.999767登录后复制
登录后复制
更多
更多使用细节和示例可以参考 Paddle-MSSSIM 的 Github 仓库

相关攻略
FDUSD脱锚惊魂夜:币安生态稳定币的信任危机与系统性风险 2025年4月2日夜间,加密货币市场经历了一场突如其来的“压力测试”。由香港First Digital Trust Limited发行的美元稳定币FDUSD,在市场上演了惊心动魄的脱锚跳水,其兑USDT价格一度暴跌至0 8726美元。这场震
最近又折腾了下 Obsidian 的 Git 插件,虽然也有点麻烦,但它是适合我的。下面介绍下怎么配置和使用。 第一次使用 Obsidian 是在 2024 年,这是翻阅之前的文章 《Obsidia
这项由华为技术有限公司、南洋理工大学、香港大学和香港中文大学联合完成的突破性研究发表于2026年1月,论文编号为arXiv:2601 01426v1。研究团队通过一种名为SWE-Lego的创新训练方
12 月 27 日消息,科技媒体 NeoWin 今天(12 月 27 日)发布博文,报道称 AI 代码编辑器 Windsurf 本周发布 Wave 13 版,通过大幅升级多智能体工作流、性能可访问
NEO(小蚁区块链)旨在构建智能经济网络。NEO通过资产数字化和智能合约实现自动化管理,用户需在支持NEO交易的平台注册账户并获取数字货币,选择合适的交易对后,即可下单交易并确认。交易完成后,可在账户中查看NEO资产,或转移至个人数字储存中安全保管NEO。
热门专题
热门推荐
OPPO A6k手机重磅发布:天玑6300处理器、高清LCD直屏、7000mAh超大电池,售价仅1999元起 OPPO旗下广受欢迎的A系列再添实力新机。近日,备受期待的OPPO A6k正式上市发售。这款新品搭载了备受好评的天玑6300八核处理器,并配备了一块容量高达7000mAh的耐用长寿电池,成为
速览 在《红色沙漠》的广阔世界中,数量丰富的支线任务与主线剧情共同构筑了沉浸式的冒险体验。其中,“熔化锁链的火焰”任务作为瑟金斯家族剧情线的关键环节,其触发机制与主线进程紧密相连。任务并非随时可用,玩家需将主线故事推进到特定阶段后,任务才会自动添加至任务日志。本篇攻略将为你详解此支线任务的接取条件与
《异种航员2》运动机制深度解析 在《异种航员2》(Xenonauts 2)的策略战斗中,对“时间单位”(TU)的高效运用是取胜的核心。每个士兵的移动、射击乃至战术配合,都依赖于玩家对TU的精确规划。操作上手简单:选中单位后,直接使用鼠标左键点击目的地方格,系统便会清晰显示移动所需消耗的时间单位,帮助
速览 在《异种航员2》(Xenonauts 2)的战局中,掌握“战术规避”与精通“火力输出”同等关键。游戏全新设计的掩体系统,是提升你作战小队生存几率的战略性核心。简言之,战场上绝大多数可见的物体都能转化为你的战术屏障。无论是散落的木箱、残缺的矮墙,还是茂密的灌木丛与坚实的建筑物,巧妙地利用它们,就
速览 在开放世界大作《红色沙漠》中,庞大的支线任务系统为玩家提供了丰富的探索体验。其中,“超凡建造物”任务是阿方索家族势力任务线中的重要一环。要成功接取此任务,玩家必须首先完成其前置任务【枪械名门】。在此之后,任务的下一步关键操作是前往游戏中标注的特定建筑地点进行互动调查——这本质上是一个用于快速移





