据硬AI消息,2月16日也就是除夕当天,阿里巴巴开源了全新一代大模型千问Qwen3.5-Plus。它的性能足以媲美Gemini 3 Pro,一举登顶全球最强的开源模型宝座。
千问3.5实现了底层模型架构的全面革新,这次发布的Qwen3.5-Plus版本总参数达到3970亿,而激活参数仅为170亿,以少胜多,性能超越上万亿参数的Qwen3-Max模型。在部署时,显存占用降低60%,推理效率大幅提升,最大推理吞吐量更是能提升至原来的19倍。
Qwen3.5-Plus的API价格极具竞争力,每百万Token低至0.8元,仅为Gemini 3 Pro价格的十八分之一。
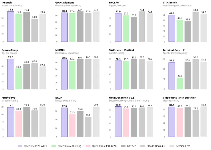
千问3.5在文本和视觉的混合数据上进行了预训练,实现了原生多模态的新突破。在推理、编程、智能体等全方位的基准评估中均表现优异,并且在视觉理解能力的权威评测中,斩获了多项性能最佳的成绩。
据了解,千问APP和PC端已在第一时间接入Qwen3.5-Plus模型。开发者可以在魔搭社区和HuggingFace下载新模型,或通过阿里云百炼直接获取API服务。

