阿里千问3.5发布:性能比肩Gemini,Token价格仅为GPT的1/18
2月16日除夕当天,阿里巴巴开源了全新一代大模型千问Qwen3.5-Plus。这款模型性能足以媲美Gemini 3 Pro,一举登顶全球最强开源模型榜首。千问3.5实现了底层模型架构的全面革新。此次发布的Qwen3.5-Plus版本总参数达到3970亿,但激活参数仅为170亿,实现了“以小博大”的效率突破。其性能不仅超越了参数过万亿的Qwen3-Max模型,部署显存占用还降低了60%,推理效率得到大幅提升,最大推理吞吐量更可跃升19倍。在价格方面,Qwen3.5-Plus的API报价极具竞争力,每百万Token低至0.8元,仅为Gemini 3 Pro的1/18。
免费影视、动漫、音乐、游戏、小说资源长期稳定更新! 👉 点此立即查看 👈
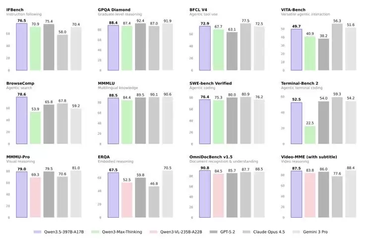
与前几代千问大语言模型不同,千问3.5实现了一次关键的代际跃迁——从纯文本模型进化为原生多模态模型。千问3是基于纯文本Tokens进行预训练的,而千问3.5则是在视觉和文本混合token上进行预训练。此外,模型大幅新增了中英文、多语言、STEM和推理等各类数据,让真正“睁开双眼”的大模型学会了更密集的世界知识和推理逻辑。凭借不到40%的参数量,它便获得了超万亿参数的Qwen3-Max基座模型的顶尖性能,在推理、编程、Agent智能体等全方位基准评估中均表现优异。例如,千问3.5在MMLU-Pro知识推理测评中得分87.8,超越了GPT-5.2;在博士级难题GPQA测评中斩获88.4分,高于Claude 4.5;它在指令遵循IFBench中以76.5分刷新了所有模型纪录;而在通用Agent评测BFCL-V4、搜索Agent评测Browsecomp等基准中,千问3.5的表现均超越了Gemini 3 Pro和GPT-5.2。
图示:阿里开源千问Qwen3.5-Plus,性能媲美Gemini 3Pro
原生多模态训练,也带来了千问3.5视觉能力的飞跃。在多模态推理(MathVison)、通用视觉问答VQA(RealWorldQA)、文本识别和文件理解(CC_OCR)、空间智能(RefCOCO-avg)、视频理解(MLVU)等众多权威评测中,千问3.5均斩获最佳性能。在学科解题、任务规划与物理空间推理等任务上,千问3.5相比千问专项模型Qwen3-VL表现更好,空间定位推理和带图推理能力均大幅增强,推理分析更精细、精准。在视频理解方面,千问3.5支持长达2小时(约1M token上下文)的视频直接输入,适用于长视频内容分析与摘要生成。同时,千问3.5实现了视觉理解与代码能力的原生融合,结合图搜和生图工具,可将手绘界面草图直接转为可用的前端代码,一张截图就能定位并修复UI问题,让视觉编程真正成为生产力工具。
千问3.5性能跃升的背后,是对Transformer经典架构的重大创新突破。千问团队自研的门控技术成果,曾斩获全球AI顶会2025 NeurIPS最佳论文,这一前沿技术已融入到千问3.5创新的混合架构之中。团队结合线性注意力机制与稀疏混合专家MoE模型架构,实现了397B总参数仅激活17B的极致模型效率。同时,千问3.5通过训练稳定优化、多Token预测等一系列技术,使得Qwen3.5性能与Qwen3-Max模型持平,并进一步提升了推理效率:在常用的32K上下文场景中,千问3.5推理吞吐量可提升8.6倍;在256K超长上下文情况下,Qwen3.5推理吞吐量最大提升至19倍,推理效率大幅提升。
图示:千问3.5推理效率大幅提升,最大吞吐量提升至19倍
千问3.5的原生多模态训练,是在阿里云AI基础设施上高效完成的。通过系列基础技术创新,千问3.5在文本、图像、视频等混合数据训练吞吐量,几乎100%持平纯文本基座模型训练,大幅降低了原生多模态训练的难度门槛。同时,通过设计精巧的FP8、FP32精度应用策略,在训练稳定扩展到数十万亿个token时,激活内存减少约50%,训练还能提速10%以上,进一步节约了模型训练成本、提升了训练效率。
基于顶尖的视觉能力,千问3.5也实现了从Agent框架到Agent应用的新突破。千问3.5可自主操作手机与电脑,高效完成日常任务。在移动端支持更多主流APP与指令,在PC端可处理更复杂的多步骤操作,如跨应用数据整理、自动化流程执行等,显著提升操作效率。同时,千问团队构建了一个可扩展的Agent异步强化学习框架,端到端可加速3到5倍,并将插件式智能体Agent支持扩展至百万级规模。
1月15日,千问App发布了全球首个消费级AI购物Agent。春节期间,千问AI购物Agent在短短6天时间里帮助用户完成了1.2亿笔订单,在全球首次实现大规模真实世界任务执行和商业化验证。Agent能力大幅增强的千问3.5,将进一步打开千问APP在工作生活中帮人办事的想象空间。
自2024年开源以来,阿里已开源400多个千问模型,覆盖全尺寸、全模态。千问全球下载量突破10亿次,单月下载量是DeepSeek、Meta、OpenAI、智谱、Kimi、MiniMax等2到8名总和。开发者基于千问开发的衍生模型超20万个,是公认的全球第一开源模型,也是开发者最友好的开源大模型。面向不同国家的AI开发者和企业的需求,千问大模型还在持续演进:千问3.5扩展支持201种语言,将词表大小从15万扩展至25万,最高可提升小语种60%的编码效率。
据悉,千问APP、PC端已第一时间接入Qwen3.5-Plus模型。开发者可在魔搭社区和HuggingFace下载新模型,或通过阿里云百炼直接获取API服务。阿里很快将继续开源不同尺寸、不同功能的千问3.5系列模型。性能更强的旗舰模型Qwen3.5-Max不久也将发布。
相关攻略
1 4 万亿词元!阿里 Qwen3 6-Plus 刷新全球最大 AI 聚合平台 OpenRouter 日调用量纪录 这事儿挺震撼的。就在4月4日,全球最大的AI模型聚合平台OpenRouter在其官方账号上公布了一个爆炸性数字:阿里刚刚发布的千问新模型Qwen3 6-Plus,上线仅仅一天,日调用量
4月1日,阿里巴巴发布图像生成与编辑统一模型Wan2 7-Image。直击当前 AI 生图领域“标准脸”审美疲劳和“色彩盲盒”等痛点,该模型可实现“千人千面”,捏出“活人感”,全新的“调色盘”功能可
全球全模态大模型竞赛迎来新变数。3月30日,阿里巴巴正式推出千问系列新一代全模态大模型Qwen3 5-Omni。这款模型在音视频理解、跨模态推理、实时交互等215项第三方评测中拿下SOTA(Stat
3月30日,阿里发布千问新一代全模态大模型Qwen3 5-Omni,在音视频理解、识别、交互等215项任务中取得SOTA(性能最佳),超越Gemini-3 1 Pro,成为目前全球最强的全模态大模型
3月27日消息,阿里桌面Agent应用QoderWork全面打通钉钉、微信和飞书三大主流IM,用户可直接在手机上与QoderWork对话,随时随地调度桌面AI助手的全部能力,远程完成文件整理、数据处
热门专题
热门推荐
魔宠降临:如何打造真正强势的仙品顶级阵容? 在《魔宠降临》中,构建一套战无不胜的仙品阵容,是众多玩家追求的核心目标。一支搭配合理的队伍,能让你在攻略副本、竞技场对决时体验飞跃,从“艰难推进”转变为“流畅碾压”。那么,到底什么是“最强阵容”?答案并非唯一,但确实存在可供遵循的核心方法与黄金法则。 魔宠
如何高效编辑他人共享的石墨文档?掌握协作编辑完整步骤 在团队协作与远程学习场景中,编辑他人分享的石墨文档已成为一项高频操作。虽然涉及权限与协作流程,但只要掌握正确方法,整个过程即可高效顺畅。本文将详细拆解从获权到编辑的全套实操步骤,助您快速上手石墨文档协同编辑。 第一步:获取文档编辑权限核心操作 编
永劫无间账号交易平台哪个好?专业选购攻略与安全指南 永劫无间账号交易平台有哪些靠谱选择 在《永劫无间》游戏玩家中,专业的账号交易平台是获取优质角色资产的重要渠道。当前主流的可靠选择包括交易猫、盼之游戏等大型第三方服务网站,它们为玩家提供了安全的游戏账号交易环境。这些平台如同一个大型的账号交易市场,汇
《长生:天机降世》水队攻略:冰刃队核心玩法与阵容搭配详解 在《长生:天机降世》的水系阵容构筑中,主流方向分为两大流派:其一是追求极致单回合爆发的“轮回队”,讲究速战速决;其二则是以囤积蓄力、多段高伤为特色的“冰刃队”。本文将深度解析冰刃队的构建思路、核心机制与实战技巧,帮助玩家掌握这套后期爆发流派的
Word奇偶页眉页脚设置教程:让文档排版更专业 在撰写报告、论文或书籍等长篇文档时,为了提升版面规范性与阅读体验,常常需要为奇数页和偶数页设置不同的页眉与页脚。例如,奇数页页眉放置当前章节名称,偶数页页眉显示文档总标题,页脚也可采用不同的页码样式。本文将详细指导您如何利用Word的“奇偶页不同”功能





