纽约大学教授AI防作弊口试:高效学术诚信方案成本仅42美分
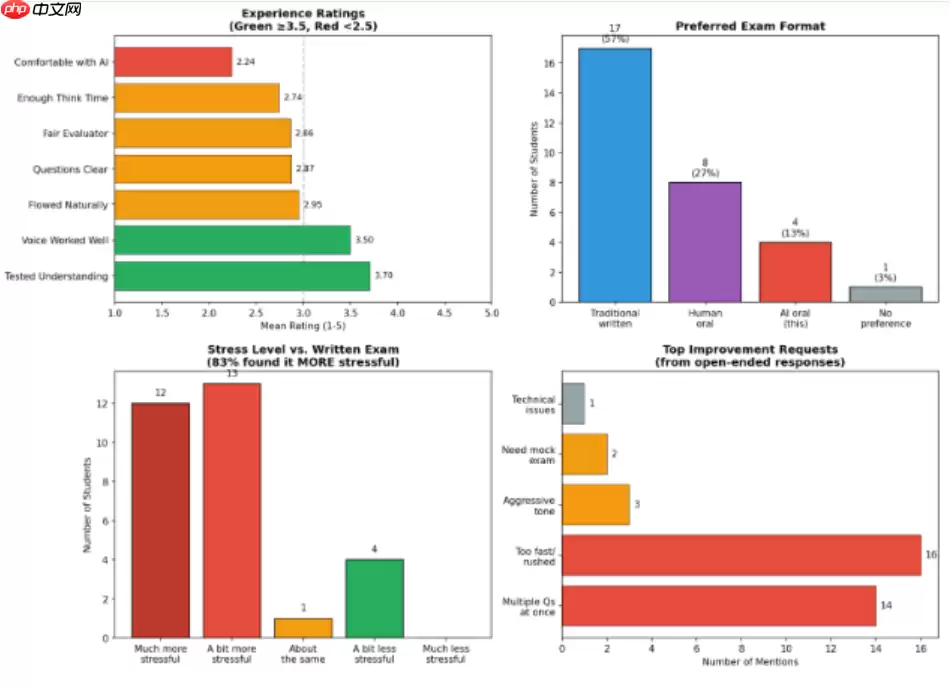
当学术诚信因人工智能的兴起而面临挑战时,纽约大学的一位教授探索了一种创新的教学评估方法。他在“AI/ML 产品管理”这门课程中,实施了一项基于人工智能的口头测试实践。这项尝试不仅揭示了学生在知识掌握上的薄弱环节,也促使教师反思自身教学设计的有效性。授课教授 Panos Ipeirotis 与联合讲师 Konstantinos Rizakos 观察到:许多提交了结构严谨、内容详实书面报告的学生,在面对即时口头问答时,却难以清晰阐述其项目中关键建模选择背后的逻辑依据。
为了突破传统纸笔考核在能力验证上的局限,两位教师构建了一套 AI 驱动的口试系统,其核心语音交互模块采用了 ElevenLabs 提供的 AI 语音代理技术。整场口试分为两个阶段:第一阶段由 AI 主动提问,涵盖学生最终项目的整体目标设定、所用数据来源与处理方式、模型选型依据、性能评估策略以及常见失效场景分析等内容;第二阶段则随机抽取课程中某一真实商业案例,要求学生即兴展开分析与回应。全部 36 名学生均在九天内陆续完成测试,单场平均用时约 25 分钟,整套方案总支出仅为 15 美元,折合每名学生成本低至 42 美分。
尽管初版 AI 口试在实际运行中暴露出若干待优化之处——例如部分学生反馈 AI 语气略显生硬、偶尔会连续抛出多个问题造成理解负担、对话节奏不够自然等——但经过数轮参数调优与提示词重构后,AI 的交互体验与响应质量均得到显著提升。在评分机制方面,研究团队引入了多模型协同评估策略,由 Claude、Gemini 和 ChatGPT 三款主流大模型分别独立打分;初期各模型间评分差异较大,但在实施交叉复核与一致性校准流程后,最终评分结果的可信度与稳定性明显增强。

尽管超六成学生表示 AI 口试带来的心理压力高于传统笔试,但高达 70% 的参与者认可该形式更能真实反映其对知识的内化程度与应用能力。Ipeirotis 教授强调,正是得益于当前 AI 技术的成熟与可及性,规模化、低成本、高效率的个性化口试才真正从构想走向落地;而学生亦可通过反复模拟与 AI 对话的过程,持续锤炼表达逻辑、强化概念理解,并逐步适应人机协同的新学习范式。
源码地址:点击下载
热门专题
热门推荐
刚接触Vlog创作,挑选设备是不是比拍摄本身更让人头疼?既渴望手机般的轻便易携,又向往相机的卓越画质;期待操作简单、直出好看,还要求性能稳定、避免画面模糊——这些心声,你是否也感同身受? 别担心,今天我们抛开复杂的参数,从最实用的角度切入——综合考量画质表现、防抖性能、对焦速度以及人像直出效果这些核
2026年4月28日,显示技术领域迎来重要进展:维信诺总投资额高达50亿元的昆山全球新型显示产业创新中心,顺利完成主厂房封顶。这一项目不仅是维信诺“2+3+X”发展战略的核心组成部分,更是其布局下一代显示技术、构筑长期竞争优势的关键举措。 该项目于2025年正式签约落地,此次主体结构封顶标志着项目建
4月28日,影石创新(Insta360)发布了2025年度及2026年第一季度财报,业绩表现极为亮眼,实现强势开门红。数据显示,公司2025年全年营收高达97 41亿元,同比大幅增长74 76%;2026年第一季度营收延续高增长态势,达到24 81亿元,同比增长83 11%。纵观近三年发展,影石创新
备受期待的一加 Ace 6 至尊版于今日正式发布。这款性能旗舰不仅搭载了顶级的天玑 9500 处理器,更创新性地推出了可搭配使用的“枪神游戏手柄”专属外设,为移动游戏体验带来全新可能。新机起售价为 3499 元,极具市场竞争力。 一加 Ace 6 至尊版提供了“王牌觉醒”与“金属风暴”两款潮流配色。
备受期待的一加Ace 6至尊版于今晚正式发布。这款性能旗舰的核心亮点,无疑是搭载了联发科当前顶级的旗舰处理器——天玑9500。该芯片在制程工艺与能效表现上的全面升级,为手机的整体流畅体验奠定了坚实的硬件基础。 天玑9500率先采用了台积电先进的第三代3纳米制程,并创新性地采用了全大核CPU架构设计。





