梁文锋署名论文:DeepSeek元旦新架构开启AI新篇章
来源:机器之心
免费影视、动漫、音乐、游戏、小说资源长期稳定更新! 👉 点此立即查看 👈
新年第一天,DeepSeek 发布了一篇新论文,提出了一种名为 mHC (流形约束超连接)的新架构。该研究旨在解决传统超连接在大规模模型训练中的不稳定性问题,同时保持其显著的性能增益 。
简单来说,DeepSeek 提出的 mHC 通过将传统 Transformer 的单一残差流扩展为多流并行架构,并利用 Sinkhorn-Knopp 算法将连接矩阵约束在双拟随机矩阵流形上,成功解决了超连接(HC)在大规模训练中因破坏恒等映射属性而导致的数值不稳定和信号爆炸问题。

这篇论文的第一作者有三位:Zhenda Xie(解振达)、Yixuan Wei(韦毅轩)、Huanqi Cao。值得注意的是,DeepSeek 创始人 & CEO 梁文锋也在作者名单中。
传统的残差连接(即 Transformer 中的 x + F (x) 结构)凭借「恒等映射」保证了信号无损传输和训练稳定性。但它的瓶颈在于信息通道的宽度受限于隐藏层维度 C。
近期,以 Hyper-Connections (HC) 为代表的研究,通过扩展残差流宽度和多样化连接模式,拓展了过去十年中广泛应用的残差连接范式。
虽然这些方法带来了显著的性能提升,但但也带来了两个严重问题:
数值不稳定性: 原始的 HC 中,连接矩阵是自由学习的,没有约束。这导致信号在经过多层传播后,数值会「爆炸」或「消失」,破坏了恒等映射的特性,模型越深越难训练。
系统开销大: 通道变宽意味着显存读写 (I/O) 和通信成本成倍增加,也就是所谓的「显存墙」问题。
从根本上破坏了残差连接固有的恒等映射属性,导致了严重的训练不稳定性和受限的可扩展性,并额外增加了显著的内存访问开销。
为了解决这些挑战,DeepSeek 的研究团队提出了 Manifold-Constrained Hyper-Connections (mHC,流形约束超连接)。
这是一个通用框架,它将 HC 的残差连接空间投影到一个特定的流形上,以恢复恒等映射属性,同时结合严格的基础设施优化以确保效率。
它的核心目的是:在保留「加宽残差流」带来的性能提升的同时,解决其导致的训练不稳定和显存消耗过大的问题。
团队利用 Sinkhorn-Knopp 算法将残差连接矩阵投影到 Birkhoff 多胞形(双随机矩阵)上。这使得信号传播变为特征的「凸组合」,从数学上严格保证了信号范数的稳定性(能量守恒)。为了抵消加宽通道带来的开销,团队实施了内核融合、选择性重计算以及扩展的 DualPipe 通信计算重叠策略。
实证表明,mHC 不仅解决了稳定性问题,且在大规模训练中(如 27B 模型)表现出卓越的可扩展性。在 n=4 的扩展倍率下,仅增加了 6.7% 的训练时间开销,却换来了显著的性能提升。mHC 为基础模型的拓扑架构演进指明了方向。

图 1:残差连接范式示意图。 本图对比了以下三种结构设计: (a) 标准残差连接(Residual Connection); (b) Hyper-Connections (HC); (c) 我们提出的 Manifold-Constrained Hyper-Connections (mHC)。与无约束的 HC 不同,mHC 专注于优化残差连接空间,通过将矩阵投影到受约束的流形上,以确保稳定性。

具体方法介绍
流形约束超连接 (mHC)
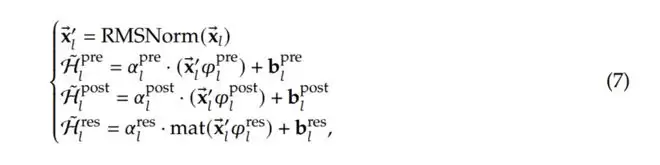
借鉴恒等映射(Identity Mapping)原则,mHC 的核心前提是将残差映射Hlres约束在一个特定的流形上。
虽然原始的恒等映射是通过强制执行Hlres=1来确保稳定性,但它能从根本上阻止残差流内部的信息交换,而这种交换对于最大化多流架构的潜力至关重要。
因此,该 DeepSeek 团队提出将残差映射投影到一个流形上,既能保持跨层信号传播的稳定性,又能促进残差流之间的相互作用,以保持模型的表达能力(expressivity)。
为此,他们的做法是将Hlres限制为双拟随机矩阵(Doubly Stochastic Matrix),即具有非负项且行和与列和均为 1 的矩阵。
形式上,令Mres表示双拟随机矩阵的流形(也称为 Birkhoff 多胞形),再将Hlres约束在PMres (Hlres)中,定义为:

其中 1_n 表示全 1 的 n 维向量。
为什么选择双拟随机性?因为其具有多项有利于大规模训练的理论属性:
范数保持:其谱范数有界且不超过 1(即∥Hlres∥2≤1 ),这意味着学习到的映射是非扩张的,可有效缓解梯度爆炸问题。

复合封闭性:双拟随机矩阵集对矩阵乘法具有封闭性,确保了跨多层的复合残差映射仍保持双拟随机,从而可在整个模型深度上维持稳定性。
几何解释:该集合构成了 Birkhoff 多胞形,是排列矩阵集的凸包。这意味着残差映射充当了排列的凸组合,其重复应用会单调地增加跨流的信息混合,起到鲁棒的特征融合作用。
此外,该团队还对输入映射 Hlpre 和输出映射Hlpost施加了非负约束,以防止因正负系数复合导致的信号抵消。
参数化与流形投影
本节将详述 mHC 中各映射的计算过程。
给定第 l 层的输入隐藏矩阵 x_l,先将其展平为向量

以保留完整的上下文信息。然后,按照 HC 的原始公式获取动态映射和静态映射:

最终的约束映射通过以下方式获得:

其中
是Sigmoid函数。Sinkhorn-Knopp 算子首先通过指数操作确保所有元素为正,然后进行迭代规范化,交替缩放行和列使其和为 1。
DeepSeek 在实验中采用 t_max=20 次迭代。
高效基础设施设计
DeepSeek 还为 mHC 量身定制了基础设施设计,使其在 n=4 时在大模型中的训练开销仅增加 6.7%:
算子融合 (Kernel Fusion):
重新调整 RMSNorm 的顺序以提高效率,并采用混合精度策略。
开发了统一的算子,将多次扫描和矩阵乘法融合,减少内存带宽瓶颈和算子启动开销。
在单个算子中实现 Sinkhorn-Knopp 迭代及其自定义反向传播。将 Hlpost和 Hlpre的应用与残差合并融合,显著减少了内存读写量
重计算 (Recomputing):
为了减轻 n 流设计带来的内存压力,DeepSeek 在前向传播后丢弃 mHC 算子的中间激活,并在反向传播时即时重新计算。
通过推导得出最优重计算块大小 L_r^*,以最小化总内存占用。
DualPipe 中的通信重叠:
扩展了 DualPipe 调度算法,以改善流水线并行阶段边界处的通信与计算重叠在专用高优先级计算流上执行 MLP 层的内核,并避免在注意力层使用持久算子,以防止阻塞通信流并提高设备利用率。

实验
实验设置
研究团队通过语言模型预训练来验证所提方法的有效性,并对基线模型、超连接(HC)以及提出的流形约束超连接(mHC)进行了对比分析。
他们采用了受 DeepSeek-V3 启发的 MoE 架构,训练了四种不同的模型变体,以覆盖不同的评估体系。
具体而言,HC 和 mHC 的扩展率 n 均设置为 4,主要关注点是一个 27B 参数规模的模型。其训练数据集的大小与其参数量成正比,该模型用于展示系统层面的主要结果。在此基础上,他们通过引入使用成比例数据训练的较小的 3B 和 9B 模型来分析计算扩展性,从而观察不同计算规模下的性能趋势。此外,为了专门研究 Token 规模的影响,他们另外训练了一个独立的 3B 模型,该模型在一个固定的 1T Token 的语料库上进行训练。

主要结果

图 5:流形约束超连接 (mHC) 的训练稳定性。 该图展示了:(a) mHC 和 HC 相对于基线模型的训练损失绝对差值;(b) 三种方法在训练过程中的梯度范数。所有实验均基于 27B 参数规模的模型。实验结果表明,mHC 在损失函数和梯度范数两方面均表现出更优的稳定性。
研究团队首先考察 27B 模型的训练稳定性和收敛性。如图 5 (a) 所示,mHC 有效缓解了在 HC 中观察到的训练不稳定问题,与基线模型相比,最终损失降低了 0.021。图 5 (b) 中的梯度范数分析进一步证实了这种稳定性的提升:mHC 表现出明显优于 HC 的行为,保持了与基线模型相当的稳定轮廓。

表 4:27B 模型在系统级基准测试上的结果。 本表对比了基线模型、HC 以及 mHC 在 8 个不同的下游基准测试中的零样本和少样本性能表现。结果显示,mHC 始终优于基线模型,并在大多数基准测试中超越了 HC,证明了其在大规模预训练中的有效性。
表 4 展示了在多种下游基准测试中的性能表现。mHC 带来了全面的提升,一致性地优于基线模型,并在大多数任务上超过了 HC。值得注意的是,与 HC 相比,mHC 进一步增强了模型的推理能力,在 BBH 和 DROP 任务上分别实现了 2.1% 和 2.3% 的性能增益。
规模扩展实验

图 6:mHC 与基线模型的扩展特性对比。 (a) 计算扩展曲线:实线描绘了在不同计算预算下的性能差距。每个点代表模型大小与数据集大小的最优计算配置,涵盖了从 3B、9B 到 27B 参数规模的规模扩展过程。 (b) Token 扩展曲线:展示了 3B 模型在训练过程中的轨迹。每个点代表模型在不同训练 Token 数量下的性能表现。
为了评估该方法的扩展性,研究者报告了在不同规模下 mHC 相对于基线模型的损失改善情况。在图 6 (a) 中,他们绘制了涵盖 3B、9B 和 27B 参数规模的计算规模扩展曲线。其轨迹表明,即使在更高的计算预算下,性能优势依然稳健地得以保持,仅表现出轻微的衰减。
此外,他们在图 6 (b) 中考察了训练过程中的动态变化,展示了 3B 模型的 Token 扩展曲线。总的来看,这些发现验证了 mHC 在大规模场景下的有效性。这一结论在他们内部的大规模训练实验中得到了进一步的证实。
相关攻略
机器之心编辑部新年第一天,DeepSeek 发布了一篇新论文,提出了一种名为mHC(流形约束超连接)的新架构。该研究旨在解决传统超连接在大规模模型训练中的不稳定性问题,同时保持其显著的性能增益 。简
来源:机器之心新年第一天,DeepSeek 发布了一篇新论文,提出了一种名为 mHC (流形约束超连接)的新架构。该研究旨在解决传统超连接在大规模模型训练中的不稳定性问题,同时保持其显著的性能增益
新智元报道编辑:编辑部【新智元导读】2026新年第一天,DeepSeek发表了梁文锋署名的重磅新论文,提出了一种名为「mHC(流形约束超连接)」的新架构,在27B参数模型上,仅增加约6 7%的训练时
这项由南洋理工大学雷靖迪、复旦大学张迪以及南洋理工大学波利亚·苏佳妮娅共同完成的研究发表于2025年12月,论文编号为arXiv:2512 12602v1。研究团队首次提出了 "无误差线性注意力 "(E
热门专题
热门推荐
洛克王国世界40级进阶无推图阵容打法攻略 在《洛克王国世界》的成长之旅中,达到40级是一个关键的进阶门槛。许多玩家可能会发现自己并未刻意组建一支成型的推图队伍,面对这个挑战时有些无从下手。这篇攻略将为你详细解析一套无需专门推图阵容的通关思路,帮助你利用现有资源,轻松突破40级进阶关卡。 核心阵容搭配
这城有良田主C僚属红品宝玉词条搭配攻略 在《这城有良田》中,红品宝玉的词条选择,是决定你主C僚属最终伤害上限的核心环节。面对各式各样的属性词条,不少玩家会感到困惑:如何搭配才能最大程度激发核心输出的潜力?本文将为你系统解析主C位红品宝玉的挑选逻辑与进阶策略,助你在资源投入上实现收益最大化,显著提升队
哔哩猫手表版优化指南:适配小屏的关键设置 想在智能手表上流畅体验哔哩猫?直接安装手机版本,往往会遇到界面拥挤、操作不便的问题。其实,只需调整几个核心选项,就能让哔哩猫完美匹配手表的小屏幕,操作体验大幅提升。 1、DPI优化:精准调节显示密度 手表屏幕空间有限,默认的显示比例常常导致文字过大、布局浪费
《深海迷航冰点之下》咖啡机使用全攻略:生存必备热饮制作指南 在《深海迷航冰点之下》这片危机四伏的极地海域中,新手面临的第一个致命威胁往往是持续不断的体温流失。与前作不同,身体失温在游戏前期是核心生存挑战之一。有效应对失温的方法主要有:尽快解锁并制作抗压潜水服的升级模块——防寒服、靠近能提供热源的炽热
三国志王道天下吕布骑阵容玩法攻略 在策略手游《三国志王道天下》中,构建强力阵容是核心乐趣。以飞将吕布为核心的群雄骑兵队,以其惊人的爆发力与爽快的操作体验,备受玩家关注。本攻略将为你详细解析这套阵容的构建精髓、核心机制与实战搭配思路,助你打造一支所向披靡的突击铁骑。 阵容构成 这套阵容以纯粹的群雄阵营





