比特币期权定价方式有哪些?比特币期权怎么盈利?
比特币是迄今为止最大的加密货币,是在传统金融基础设施之外运作,其关键概念就是去中心化。而随着比特币市场的扩大,比特币期权衍生出被投资者喜爱。比特币期权是一种以加密货币为基础的金融合约,赋予持有者在未来特定时间内以约定价格买入或卖出一定数量的比特币的权利,而不是义务。简单了解相关定义之后,投资者可能更好奇比特币期权定价方式有哪些?就资料分析来看,定价方式主要就是蒙特卡洛模拟、隐含波动率法等,下面小编为大家详细说说。
最安全的虚拟币交易平台推荐:
- OKX(欧易交易所)>>>进入官网<<< >>>官方下载<<<
- Binance(币安交易所)>>>进入官网<<< >>>官方下载<<<
比特币期权定价方式可以选择传统金融模型如布莱克-舒尔斯或二叉树模型,也可以根据比特币市场的特殊性调整方法如蒙特卡洛模拟、隐含波动率法等。比特币期权的定价方式与传统金融中的期权定价方法类似,但由于比特币的高波动性和市场特点,可能会有所调整。以下是主要的比特币期权定价方法介绍:
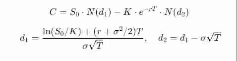
1、布莱克-舒尔斯模型:一种经典的期权定价方法,用数学模型计算欧洲期权的理论价格。
公式:
适用于欧洲期权,计算相对简单。但假设波动率恒定、市场流动性高,而比特币市场波动率较高且可能变化,这导致结果可能不准确。
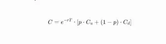
2、二叉树模型:将资产价格变化视为每个时间间隔内的上涨或下跌,通过迭代计算期权价格。
基本步骤:将到期时间分成若干小时间段。假设比特币价格每段时间可能向上(涨幅为u)或向下(跌幅为d)。使用风险中性概率p计算期权的期望价值。
公式:
更灵活,可适应不同波动率和美式期权。计算复杂度较高。
3、蒙特卡洛模拟:通过模拟比特币价格在到期时间内的多个可能路径,计算期权的平均价值。
基本步骤:基于比特币当前价格、波动率和利率,生成多个价格路径。对每条路径计算到期时的期权收益。将所有路径的收益折现求平均,得到期权价格。
公式:
适用于复杂的衍生品定价,能处理非标准条件。需要大量计算,对计算资源依赖较大。
4、隐含波动率法:基于市场交易的期权价格,反推出波动率,然后将其代入定价模型(如布莱克-舒尔斯)。当市场已经有交易价格时,隐含波动率可以作为一个合理的参数,调整定价模型。反映市场预期的真实波动性。需要实时市场数据支持。
5、随机波动率模型:假设比特币价格和波动率都随时间变化,采用随机过程模型描述价格行为。
公式:
能更精确反映波动率变化。计算复杂,参数估计困难。
6、市场观察法:直接通过观察市场上的期权交易价格,使用供需关系和市场价差预测期权价格。当市场流动性较高时,交易价格可能比理论模型更可靠。快速且真实。市场情绪和操纵可能导致偏差。
比特币期权怎么盈利?比特币期权盈利的主要策略包括买入期权、卖出期权、利用市场波动、套期保值和期权组合策略。比特币期权是一种基于比特币的金融衍生品,允许投资者在未来以约定价格买入或卖出比特币。下文是策略的具体介绍:
1、买入期权:看涨期权:当你预期比特币价格会上涨时,可以购买看涨期权。如果到期时比特币价格高于执行价格,你可以以较低的执行价格购买比特币,并以市场价格卖出,从而实现盈利。
看跌期权:当你预期比特币价格会下跌时,可以购买看跌期权。如果到期时比特币价格低于执行价格,你可以以市场价格卖出比特币,并以较高的执行价格买回,从而实现盈利。
2、卖出期权:卖出看涨期权:你可以选择卖出看涨期权,收取期权费。如果比特币价格在期权到期时低于执行价格,期权将失效,你保留所收取的期权费作为利润。但需注意,这种策略存在无限亏损的风险。
卖出看跌期权:卖出看跌期权,收取期权费。如果比特币价格高于执行价格,期权将失效,期权费成为你的利润。如果价格低于执行价格,你可能需要以执行价格购买比特币。
3、利用市场波动:比特币的价格波动性较大,投资者可以利用这一点进行期权交易。如果预计市场波动性将增加,可以购买期权,波动性增加时,期权的价格通常会上涨,投资者可以在期权价格上涨时卖出获利。
4、套期保值:如果你已经持有比特币,可以通过购买看跌期权来保护你的投资。当比特币价格下跌时,看跌期权的价值会上升,从而抵消部分损失。
5、期权组合策略:牛市价差:同时买入一个看涨期权并卖出另一个行权价更高的看涨期权,以限制风险并降低成本。
熊市价差:同时买入一个看跌期权并卖出另一个行权价更低的看跌期权,以限制风险并降低成本。
铁鹰策略:结合看涨和看跌期权,构建一个收益区间,适合在预期价格波动不大的情况下盈利。
相关攻略
大饼币:币圈的定海神针与价值基石 在加密货币的世界里,“大饼币”这个昵称,特指的正是比特币(BTC)。作为整个数字资产领域的开山鼻祖与绝对核心,它自2009年由神秘的中本聪创立以来,就一直在主导着市场的发展方向与叙事逻辑。这个充满烟火气的称呼,不仅道出了它在投资者心中那份沉甸甸的分量,更点明了其作为
美股波动如何重塑比特币市场? 如今,观察比特币的走势,已经很难绕开美股这个关键变量。作为全球资本的风向标,美股的每一次剧烈波动,都在深刻地重塑加密货币市场的运行逻辑。这种联动性,早已不是简单的相关性,而是一种由情绪、资金和政策交织而成的复杂传导机制。 最直接的传导路径,无疑是市场情绪。当美股因经济不
比特币投资:理性看待月度收益的波动与可能 “投资比特币,一个月到底能挣多少钱?”这或许是许多新入场者最关心的问题。然而,答案从来不是固定的。比特币的收益,高度依赖瞬息万变的市场环境与个人选择的策略,其背后潜藏的高波动性,要求每一位参与者都必须保持理性。 近期市场的表现,无疑为这种可能性增添了注脚。价
比特币挖矿一度电多少钱?深度解析成本构成与行业未来 当人们询问“比特币挖矿一度电要花多少钱”时,往往期待一个简单的数字答案。然而,现实情况是,这个成本并非固定不变,而是一个受多重变量影响的动态复杂方程。其波动性如同加密货币市场本身,高度依赖于矿工的地理位置、所使用的硬件设备以及全网算力竞争的激烈程度
比特币始于哪年发现的 2009年,一个全新的金融纪元悄然开启。这一年,比特币横空出世,它所掀起的数字货币革命,彻底重塑了人们对货币与金融体系的固有认知。其精妙的去中心化设计,一举绕过了传统银&行与政府的中心化管控,为全球用户构建起一个安全、透明的点对点交易网络。回过头看,这一划时代的发现绝非偶然,其
热门专题
热门推荐
说实话,每次看到别人在商务路演时拿出那种设计精良、气质高端的PPT,你是不是也暗自羡慕过?但咱们既不是专业设计师,又抽不出大把时间琢磨排版配色——这种困境我太懂了。好在现在有了Gamma这样的智能平台,它内置的模板系统能让你快速产出专业级PPT。今天我就以最经典的极简黑金风格为例,带你走一遍具体操作
苹果换帅:库克转任执行董事长,硬件负责人特努斯接任CEO 封面新闻记者 易弋力 科技界的一则重磅人事变动,终于在当地时间4月20日尘埃落定。美国苹果公司正式宣布,任命公司内部元老、长期执掌硬件业务的约翰·特努斯为下一任首席执行官,接替自2011年起便掌舵公司的蒂姆·库克。与此同时,苹果公司也确认,库
三角洲行动长弓溪谷藏宝堆位置全攻略 各位特战队员,S9赛季全新登场的“藏宝堆”你们都收集齐了吗?这并非普通的地形装饰,而是地图上带有独特牛角标记的珍贵容器。其背景源于阿萨拉人在收藏大师马苏德引领下开展的祈福仪式,为《三角洲行动》的战场探索增添了丰富的趣味性与文化深度。 《三角洲行动》长弓溪谷藏宝堆全
育碧近日透露,《刺客信条》系列的全新多人作《刺客信条CODENAME INVICTUS》正在稳步开发中 《刺客信条》的粉丝们,准备好迎接一次碘伏性的体验了吗?育碧不久前释放了一个重磅消息:系列的全新多人游戏《刺客信条CODENAME INVICTUS》正在稳步推进中。这一次,开发团队将重心完全转向了
一、访问学科网官网并进入注册页面 想用学科网的各种教学资源,第一步得有个自己的账号。这事儿得从官网走最靠谱,毕竟现在各种山寨网站不少,走错了门,不光注册不成,还可能碰到麻烦。我建议你直接打开浏览器,手动输入www zxxk com这个地址,这样能确保万无一失。 进来之后别眼花,首页内容挺多的。你直接










