新研究打破算力限制:大模型准度提升的关键共识与路径
当所有智能体都在“少数服从多数”时,错误也可能被投票放大。但如果不再追求共识,会发生什么?
免费影视、动漫、音乐、游戏、小说资源长期稳定更新! 👉 点此立即查看 👈
一项研究结果显示,仅通过单轮协作,无需达成共识,多智能体协同反而能实现更高的准确性、效率和鲁棒性。
这个有些“反直觉”的结论,来自浙江清华长三角研究院信息技术研究所张海滨教授团队(通讯作者)与北京理工大学团队近期合作的研究,他们研发出一种多智能体协作架构 Free-MAD,打破了多智能体辩论必须“达成共识”的铁律。
在多项任务评测中,Free-MAD 在显著降低硬件资源需求的同时,无需达成共识,仅通过单轮协作,能高效组合数个(中小型)开源大模型,在部分复杂任务方面超越国际主流单体大参数模型(如 Gemini 3、GPT-5.2)的性能水平。

图丨张海滨团队(来源:受访者)
近年来,多智能体协同正成为提升大模型推理能力的热门方向之一,Anthropic、月之暗面等机构也在关注该方向。
传统方法中大模型特有的从众机制是,哪怕是错误的观点也要“少数服从多数”。另一方面,传统多智能体协作方案通常需要两至三轮交互才能达成共识,这会导致模型的准确率和性能均不高,并且费时费钱。
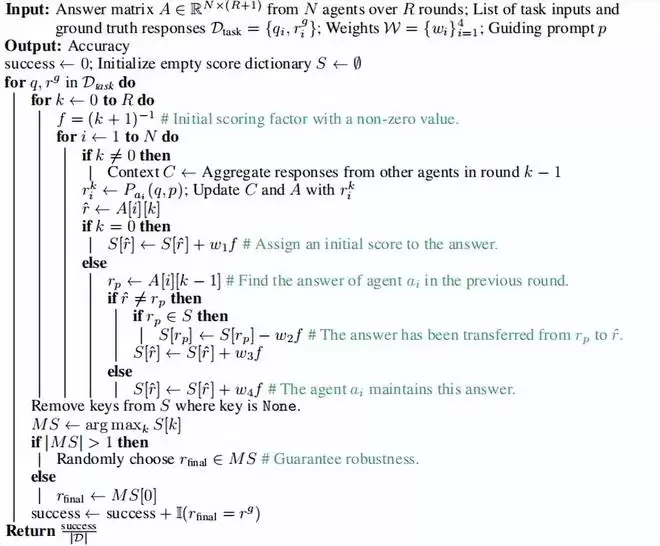
该方案摒弃了传统方法,基于奖励评分决策机制评估整个辩论轨迹,而非仅依赖最后一轮结果;同时通过抗从众机制,使智能体有效识别并避免从众错误推理的传播。
与传统方法相比,在该框架下仅需单轮多智能体交互,即可实现与传统方法的推理相当的效果;在对抗环境下,具有更强的鲁棒性、较低的推理开销以及更高的可拓展性。
该研究为在算力受限环境下实现高性能模型应用,提供了一种兼具成本和性能的技术路径。对工业界而言,意味着可部署更轻量、更便宜、更安全的 AI 协作系统;对学术界而言,它开启了“非共识化多智能体系统”的新方向。

图丨相关论文(来源:arXiv)
参数堆砌之外的突破:多智能体协作的效率革命
当前,全球大模型技术发展呈现出明显的结构性不平衡。一方面,国际上先进的大模型,例如谷歌的 Gemini、OpenAI 的 GPT 以及 Anthropic 的 Claude Opus 系列等仍以闭源为主。尽管在性能和通用能力方面具有优势,但受到技术封锁、合规限制及地缘政治因素等影响,其难以实现广泛获取与使用。
另一方面,国内开源模型在透明性、可审计性和自主可控方面具备优势,但不容忽视的一个问题是,其在综合性能、复杂任务处理能力等关键指标上,与顶尖闭源模型仍存在一定的差距。
实际部署层面的挑战同样严峻,现有部分 200B 及以上参数规模的大模型(如 DeepSeek-V 系列、Qwen 高参数版本等)往往高度依赖多张 NVIDIA H200 级 GPU 硬件,单卡成本较高,这对整体算力来说是一项较高的支出。
相比之下,轻量级小参数模型,例如 32B 级开源模型可在多张 NVIDIA 4090 级别的消费级显卡环境下完成部署,但它的局限性在于单模型能力在复杂任务场景和应用深度方面受限。

图丨基于分数的 Free-MAD 协议及其评价(来源:arXiv)
在此背景下,研究团队开发了全新多智能体协作架构 Free-MAD。为有力抑制答案的“盲目跟风”,研究人员引入了反从众的机制来重构辩论阶段。通过鼓励批判性思维,系统可实现主动降低对多数意见的敏感度。
张海滨对 DeepTech 解释道:“不能为了达成共识而达成共识,而是应该去思考问题的本身。每个大模型或智能体都会产生自己的思考结果,其不仅要收到对方的结果来做决定,更重要的是,要用批判性思维来看待对方的推理过程是否合理。”
在决策阶段,研究团队基于纯算法逻辑引入了奖励评分决策机制,来评估整个辩论轨迹。这样,最终决策并非取决于最后一轮“谁声量高听谁的”,而是通过全程追踪辩论过程中所有智能体的每次推理轨迹变化。

(来源:arXiv)
这种决策逻辑带来的好处是,无需在辩论阶段达成共识,即便正确答案在末轮未获得多数投票,系统仍可能基于它在辩论过程中的稳定表现或合理转变而获得结论。
除了开发全新的推理框架,这项研究还揭示了多智能体协同中有趣的现象:有的场景下,异构模型的效果强于同构模型;但其他场景下,同构模型反而更强,甚至对应不同的工作或者任务,需要动态调整核心算法与参数。
对于非专业的用户来说,Free-MAD 无异于通用大模型或智能体应用,而针对专业用户,研究团队在此基础上进行参数调优,进化出高度优化的通用版本 MAX-MAD,使性能和准确率进一步提升,以应对不同的场景和赛道。
“参数调优的好坏直接关系到准确性,甚至关系到整个共识达成的速度。因此,我们设置了额外的一些重要的参数调优。”该论文第一作者崔宇对 DeepTech 表示。
据悉,该系统前置了三个重要模块:针对输入任务的分类(例如数学、推理、哲学,或其他问题)等,对任务复杂度评估以及策略参数优化器。此外,研究人员还开发了智能体的自适应模块以及反馈机制的收集。
破解大模型协作中的从众难题
在实验部分,研究团队的测试覆盖了 8 个数据集,包括数学推理(GSM-Ranges、AIME2024、AIME2025 和 MATH500)、逻辑推理(StrategyQA 和 MMLU 的逻辑谬误数据集)、知识和理论推理(AICrypto 的多选题数据集)等。
据团队介绍,在综合数学推理测试中,研究人员综合使用国内的四大开源模型组合(Qwen3-235B、DeepSeek-V3.2、Kimi-K2 和 GLM-4.7)以及调用同一个国产大模型的单一组合(以上任意一种大模型, 如 Qwen3-235B)。
综合来看,Free-MAD 和 MAX-MAD 通过多智能辩论后,能够达到约 86.67%-90% 的准确率,不仅将四个单体模型本身的准确率大幅提升了 15-30%,更值得关注的是,该准确率也超过了主流闭源模型(如 Gemini 3、GPT-5.2)在相同数据集上的公开成绩。

(来源:arXiv)
基线方法采用了被广泛采用的多智能体辩论框架 SoM,结果显示,Free-MAD-N(反从众辩论+评分决策)在单轮辩论(R=1)时准确率达 64.43%,比基线 2 高近 10%,比基线 1 高近 19%。
值得关注的是,基线方法在单轮辩论时效果不佳,单轮无法形成共识;而 Free-MAD 不需要共识,单轮结果优于基线两轮成绩。

(来源:arXiv)
从 token 消耗结果来看,Free-MAD 或 MAX-MAD 的轮数由原来的两三轮变成现在的单轮,相当于整个 token 的使用量或带宽的使用量降为原来的一半。“这也是一项重要的成本节省。”张海滨说道。
在安全性方面,研究团队也进行了相关设计。智能体往往涉及到多智能体协作,50% 智能体被断网时,基线准确率会下降 15%-20%。因此,需要考虑的情况是:万一部分智能体无法正常工作,或系统的一部分不工作的情况,是否能保障系统的安全性,以及是否仍能够按时获得输出结果。
经过研究人员测算,Free-MAD 或 MAX-MAD 系统在抵御宕机或通信攻击情况下的表现较为理想。实验结果显示,即便智能体(短暂)离线,或受到敌手攻击,不能把自己的信息发送情况下,其余的智能体也能准确地完成任务。
从实验室走向产业:多智能体协作的落地路径
据研究团队介绍,来自研究社区的英国独立研究团队已基于该成果复现了 Free-MAD。值得注意的是,相关团队将包括权重在内的所有系统超参数设为自适应可配置,并引入了基于归一化的方法及若干额外工程化策略,显著提升了系统的实用性与并行能力。
这种兼具安全性和性能优势的框架有望用于高质量推理内容生成,以及智慧医疗、舆情治理、金融分析等高安全敏感应用领域。
在高质量内容生成领域,基于框架较强的通用性,该方案可直接用于任意大模型和智能体进行传统的智能问答。尽管它在结果返还速度上相对传统大模型较慢,但基于辩论优化逻辑链,可大幅度提升政策解读、行业报告等文本的专业性与可信度。
在智慧医疗领域,该成果有望模拟心内、影像、病理等多科室专家会诊,甚至产生辩论,来对疑难病症进行诊断。
例如,三个智能体分别对患者病情进行评估,在其中两个智能体误判为良性,一个智能体坚持是恶性的情况下,传统的 MAD 方法有可能因为共识压力输出错误的结果,而该方案能通过特有的轨迹分析,识别出少数派的扎实推理理念,进而做出更精准的评估。
在舆情治理方面,可构建虚拟的辩论社区,多角度解构舆情领域的脉络,实现风险的早识别、早干预。目前,在汽车舆情的治理方面,研究团队已经有相关落地案例。张海滨指出,“从结果来看,通过辩论得到的结果,明显优于单模型或传统共识型多智能体方案。”
在金融分析领域,多 Agent 协同有利于更好地研判市场信号,生成逻辑严密的投资策略和风控报告。

图丨张海滨(来源:受访者)
张海滨教授目前担任浙江清华长三角研究院信息技术研究所所长、学术带头人,其团队致力于为 AI 提供从数据层、模型层到应用层的完善解决方案。
该团队承担多项国家级与省部级科研项目,例如“天枢·可信数据空间”。围绕可信数据空间与多智能体协同架构展开研究,并落地大小模型协同的“天迹·工业智能体”。相关成果已在能源、电信、国家电网、国家管网等领域落地,并参与包括央行数字货币等在内的多边金融基础设施项目建设。
在未来的研究中,该团队计划构建新一代策略参数优化的更高性能、更准确的多智能体协作框架。目前,他们正在探索将该框架与硬件系统结合的可能性,旨在通过硬件优化解决多智能体辩论中分词、解码及广播带来的带宽消耗和延迟问题。
在算力成为瓶颈的时代,或许这类架构创新比单纯堆参数更具战略意义。
参考资料:
1.Yu Cui, Hang Fu, Haibin Zhang, Licheng Wang, Cong Zuo, Free-MAD: Consensus-free multi-agent debate, arXiv preprint arXiv:2509.11035
2.系统已开放内测,感兴趣的读者可邮件联系李老师: likang@tsinghua-zj.edu.cn
运营/排版:何晨龙
相关攻略
算力租赁市场持续升温,行业格局悄然生变 4月15日,资本市场上的算力租赁板块表现相当活跃,反复走强。午后,协创数据(300857 SZ)、宏景科技(301396 SZ)的股价涨幅超过了10%,利通电子(603629 SH)更是逼近涨停板,股价续创历史新高。与此同时,恒润股份(603985 SH)、亿
OpenAI内部备忘录曝光:直指竞争对手Anthropic算力规模“不在一个量级” AI领域的竞争,火药味越来越浓了。就在本周,OpenAI向投资者发送的一份内部备忘录被曝光,内容直指其主要竞争对手Anthropic。OpenAI在文件中毫不客气地指出,双方的“规模体量完全不在一个量级”,并称Ant
高端GPU缺货、存储价格上涨、AI项目交付延迟。过去几个月,算力供给的收紧,正在从上游快速传导至整个IT产业链。多位渠道商近日对第一财经记者表示,AI算力需求的爆发已明显拉长关键设备的交付周期。“高
走进上海智能算力科技有限公司(下称“智算科技”)位于上海松江区的国产万卡集群智算中心,刚踏入机房大门,浑厚而持续的风扇轰鸣声便扑面而来。目光所及,数万张GPU在机柜里整齐排列、鳞次栉比;高速网络线缆
算力是人工智能的底座,而算力集群好比AI世界的“发电机”,其高效调度与稳定运维,直接决定了大模型等产业的发展速度。在上海仪电,一支平均年龄仅32岁的智算科技万卡集群青年突击队,从零起步、边干边学,不
热门专题
热门推荐
峡谷区域唯一唱片需集齐三个碎片合成。首个碎片位于地图西北角木箱木桶旁,外观如跳动火焰。集齐碎片可解锁新内容并提升游戏体验,探索时留意细节可能发现更多隐藏惊喜。
《遥遥西土》中,西土唱片需集齐三个碎片合成。首个碎片位于地图东南角的管子洞内,获取过程简单,无复杂谜题或战斗。整体流程清晰,玩家按指引收集全部碎片即可合成唱片,轻松完成收集任务。
《鸣潮》联动《赛博朋克:边缘行者》,推出五星角色露西与丽贝卡,可通过限定卡池与活动免费获取。联动包含专属剧情、夜之城风格场景及高难度BOSS战,并植入动画经典音乐。参与预热活动和完成剧情任务可获得限定奖励,全方位打造沉浸式赛博朋克体验。
鼻噶流”玩法围绕“混沌爪牙”基因展开,开局以小体型角色灵活发育,注重走位与策略而非堆叠体型与伤害。该玩法在较高难度下提供了与传统平推思路不同的趣味体验,适合追求新鲜操作感的玩家尝试。
《异环》S级气态弧盘“好狗狗走四方”可提升充能与全队攻击,适合早雾等辅助。完成主线任务“成交?成交!”后解锁番外副本“月光当铺”,首次击败BOSS墨菲克斯即可免费获取。战斗时建议中距离拉扯,优先清理小狼,搭配破韧与输出角色更易通关。





