中科院团队突破人造太阳密度瓶颈,创造核聚变运行新纪录
2026 年 1 月 2 日,就在新年伊始,国际顶级学术期刊 Science Advances 刊发了一项来自中国磁约束核聚变领域的重磅成果。

图:团队论文(来源:Science Advances)
由华中科技大学与中国科学院合肥物质科学研究院等离子体物理研究所(ASIPP)组成的联合研究团队,在全超导托卡马克装置“东方超环”(EAST)上,成功实现了等离子体线平均电子密度对格林沃尔德密度极限(Greenwald density limit)的显著超越。
实验数据显示,其运行密度达到了格林沃尔德极限的 1.3 倍至 1.65 倍,远超该装置以往 0.8 至 1.0 倍的常规运行区间,且等离子体保持了良好的稳定性。
更为重要的是,这项研究通过实验数据与理论模型的深度比对,证实了 EAST 已经进入了一种被称为“无密度限制机制”(density-free regime)的全新运行状态。
这不仅标志着中国在解决核聚变核心参数限制方面取得了实质性突破,也为未来聚变堆在不牺牲燃料纯度的前提下实现高功率输出提供了一条极具潜力的技术路径。
在磁约束核聚变的研究中,提升装置的能量产出效率始终是核心目标。根据著名的劳森判据(Lawson criterion),要实现并维持有效的聚变反应,需要同时满足温度、等离子体密度和能量约束时间这三个关键参数的乘积达到一定阈值。
这意味着,在温度和约束时间基本不变的前提下,等离子体密度越高,聚变反应发生的频率就越高,从而带来更显著的能量增益。
然而,在托卡马克装置数十年的运行实践中,科学家们长期面临一个难以突破的瓶颈:等离子体密度似乎存在一个天然的上限。
1988 年,麻省理工学院的马丁·格林沃尔德(Martin Greenwald)基于大量实验数据,提出了一个经验性公式,即“格林沃尔德密度极限”(Greenwald density limit)。该公式指出,等离子体所能维持的最大密度与装置中流过的等离子体电流成正比,与装置横截面积成反比。

图:马丁·格林沃尔(来源:Wbur.org)
按照传统认知,一旦等离子体密度试图超过这一极限,装置内通常会迅速出现剧烈的不稳定性,最终触发一种被称为“大破裂”(disruption)的灾难性放电终止事件。这一现象类似于一辆高速行驶的赛车——当速度逼近由发动机性能和空气动力学所决定的极限时,若强行加速,车辆极易失控。
格林沃尔德极限因此长期以来被视为聚变研究中一道难以逾越的障碍,制约着托卡马克性能的进一步提升。
尽管国际上一些先进装置(如德国的ASDEX Upgrade和美国的DIII-D)曾借助弹丸注入等特殊技术手段,在极短时间内短暂突破该极限,但要在稳态、长时间运行条件下实现对格林沃尔德极限的大幅、稳定超越,仍是全球聚变界面临的一项重大挑战。

图 :德国ASDEX Upgrade (来源:euro fusion)
此次发表在 Science Advances 上的研究成果,之所以引起学界高度关注,是因为中国团队并未采用强行注入燃料的暴力突破方式,而是利用物理机制的自然演化,巧妙地绕过了障碍。
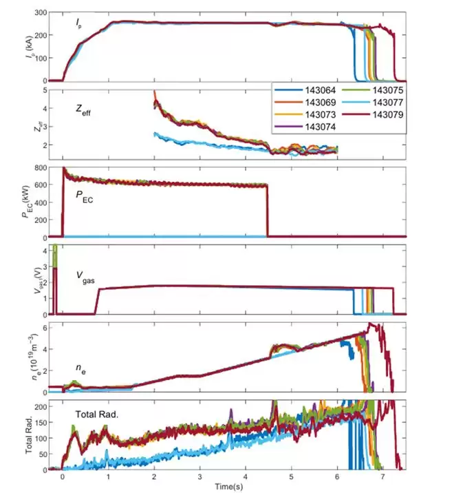
研究团队采用了一种特殊的启动方案:利用电子回旋共振加热(Electron Cyclotron Resonance Heating,简称 ECRH)辅助欧姆放电启动,并配合高强度的中性气体预填充。简单来说,ECRH 技术是通过发射高频微波束来加热等离子体中的电子,其原理类似于微波炉加热食物,能够精准且高效地将能量沉积在特定区域。
在编号为 1430xx 系列的实验中,研究人员发现了一个反常识的现象。通常情况下,向真空室内大量注入气体(即增加预填充气压)会导致等离子体边缘急剧冷却,从而引发塌缩。但在引入约 600 千瓦的ECRH辅助加热后,情况发生了变化。随着预填充氘气量的增加,等离子体的密度极限不仅没有下降,反而呈现出阶梯式上升的趋势。
数据显示,当实验条件调整至最佳状态时,等离子体成功突破了格林沃尔德极限,达到了 1.65 倍 nG 的高密度水平。这表明,EAST 的运行模式已经发生了质的改变。这种改变并非源于外部的强制干预,而是等离子体系统内部通过一种复杂的反馈机制,自我调整到了一个新的稳定状态。

(来源:论文)
为了解释这一现象,研究团队引入了“等离子体-壁自组织”(Plasma-Wall Self-Organization,简称 PWSO)理论。该理论模型将等离子体与装置内壁(特别是偏滤器靶板)视为一个相互耦合的整体系统。
在PWSO理论的框架下,等离子体的密度演化存在两个截然不同的“吸引盆”(Attraction Basins)。可以将这两个“盆”想象成地形中的两个山谷,小球(代表等离子体状态)滚落其中后会趋于稳定。
第一个山谷是传统的“密度极限盆”。在这个区域内,偏滤器靶板附近的等离子体温度较高。高温导致靶板材料受到强烈的轰击,溅射出大量杂质进入主等离子体。这些杂质会通过辐射形式耗散能量,导致等离子体边缘冷却,进而收缩电流通道,最终引发破裂。这是过去大多数托卡马克装置面临的困境。
第二个山谷则是理想状态下的“无密度限制盆”。在这个区域,靶板附近的等离子体温度较低。低温环境大幅抑制了靶板材料的溅射,减少了杂质的产生。杂质辐射的降低反过来又允许等离子体容纳更高的密度,而不会引发辐射塌缩。在这种机制下,理论上的密度上限被极大地释放,甚至在数学模型上趋近于无穷大,即进入了“无密度限制”的状态。
这项基础物理研究的突破,对于未来聚变堆的工程设计具有重要的现实意义。
在国际热核聚变实验堆(ITER)以及未来的中国聚变工程实验堆(CFETR)的设计中,热负荷控制是一个巨大的挑战。
为了防止极高的热流熔化偏滤器,通常的设计方案是主动注入氖、氩等杂质气体,利用杂质的辐射来耗散边缘热量,实现所谓的“脱靶”(detachment)运行。然而,这种方法是一把双刃剑:注入的杂质一旦渗透进核心等离子体,就会稀释氘氚燃料,降低聚变反应效率。
EAST 的实验结果展示了一种更优的可能性:通过 ECRH 辅助启动和高气压控制,可以在不主动注入外源杂质的情况下,利用装置自身的物理特性实现类似“脱靶”的低温高密度运行。这种自然达成的“冷边界、高密度”状态,既保护了装置内壁,又维持了核心燃料的纯度,为解决聚变堆的“热负荷-燃料纯度”矛盾提供了一种极具吸引力的解决方案。
虽然目前的实验仅使用了约 600 千瓦的ECRH(电子回旋共振加热)功率,距离 EAST 加热系统的满功率运行尚有很大空间,但初步结果已足够令人振奋。根据理论模型的预测,随着未来加热功率的进一步提升,等离子体将在“无密度限制盆”中运行得更加稳健,有望触及更高的密度峰值。
论文地址:https://dx.doi.org/10.1126/sciadv.adz3040
相关攻略
《辐射》新作中经典强敌回归,带来熟悉而新颖的挑战。应对需系统准备:首先深入了解敌人攻击模式与弱点;其次强化装备与核心技能;进而制定战术,利用环境、团队协作并收集情报;实战中注重移动闪避、把握攻击时机并善用道具。充分准备方能掌控战局,享受冒险。
贝塞斯达宣布将于5月27日为主机版《辐射4》推送更新,大幅提升MOD储存空间。XboxSeriesS|X平台上限从2GB增至100GB,XboxOne及PlayStation平台则提升至约15GB。更新可能重置模组加载顺序,建议玩家提前备份重要存档以防风险。
北京正加速建设国际科技创新中心,怀柔科学城作为核心平台,部署了高能同步辐射光源等三十多个重大科技基础设施。其中,多模态跨尺度生物医学成像设施融合多种成像技术,实现了从纳米到米级的生命动态观测,已成功应用于脑成像等前沿研究,为原始创新提供了关键支撑。
Bethesda在Switch 2平台推出“盒装下载码”版游戏 游戏行业最近有个挺有意思的动向:Bethesda正式宣布,为任天堂的新一代主机Switch 2带来了《辐射4 年度版》和《上古卷轴5:天际》的“实体版”。不过,这个“实体版”得打个引号——包装盒里装的并非传统的游戏卡带,而是一张下载代码
资深设计师坦言:B社或缺乏技术实力重制《辐射:新维加斯》 近期,游戏社区热议不断:随着《上古卷轴4:湮灭 重制版》去年市场表现优异,许多玩家开始期待贝塞斯达(Bethesda)是否也能将《辐射3》与《辐射:新维加斯》进行彻底重制。粉丝呼声日益高涨,然而,一位关键业内人士却给出了冷静的技术分析,为这股
热门专题
热门推荐
资金费率是永续合约锚定现货价格的关键机制。当合约价高于现货价时,多头需向空头支付费用;反之则由空头付费。费率每8小时结算,通过经济激励促使价格回归。持续付费通常表明持有多单且市场处于正费率状态。交易者可结合现货持仓与空头合约进行套利,赚取费率收益。
人力资源经理统筹公司人力资源事务,涵盖招聘、培训等多方面职责,其岗位说明书既是企业选人的标准,也是员工履职的指南。借助AI写作工具,可提升说明书撰写效率。
九号公司发布鼹鼠自平衡2 0与同频双闪两项核心技术。前者通过算法与系统协同实现车辆自主平衡,提升低速与驻停时的操控便利与安全;后者基于统一授时与软总线架构,实现多车灯光精准同步,增强车队辨识与协同体验。两项技术体现了九号在底层智能架构上的系统突破,推动两轮出
想要在《毒液突击队》中解锁“难以捉摸”成就?这项挑战对玩家的潜行技巧要求极高,但只要掌握正确方法,成功触发的难度将大大降低。其核心秘诀在于:保持全程隐匿状态,确保没有任何敌人察觉到你的存在。 成就目标解析 “难以捉摸”成就的达成条件非常严格:在指定的任务关卡中,你必须完全避免进入敌人的“警觉”或“发
推荐系统常因语义、多模态和意图理解不足产生偏差。通义千问系列模型可针对性补强:通过轻量模型重排序提升相关性,多模态模型确保图文匹配,指令模型解析用户行为提炼兴趣标签,OCR提取图像文字,并结合PID控制算法动态融合多源信息,依据实时反馈自动优化权重。





