陶哲轩惊叹!AI与全球网友48小时填平1975年数学难题深坑

免费影视、动漫、音乐、游戏、小说资源长期稳定更新! 👉 点此立即查看 👈
新智元报道
编辑:编辑部
【新智元导读】48小时,50年数学谜题就被破解!AI与全球数学家梦幻联动,从游戏分硬币到正方形填充,层层拆解埃尔德什遗留难题,人机协作彻底引爆了数学研究新范式。
刚刚,AI又破解了一个数学难题!
Erdos#1026问题已经被攻克,且给出了正式证明。
而在此之前,这个问题已经困扰了数学界50年。

陶哲轩在Mastodon上宣布了这一消息,还在一篇博客中详细讲述了这个故事。

他强调,在AI的辅助下,人类团队仅用了48小时,就顺利攻克了这一难题。
并且,AI在此过程中带来的是全新理解,绝非搜索这么简单。
要知道,如果是靠传统方法,只靠数学家使用编程和文献检索,可能会需要数周甚至数月。
在这个过程中,AI实际上是在生成新的数学洞见,而不仅仅是检索现有文献。
Harmonic正式也宣布了这一消息,其AI系统Aristotle参与了此次解题过程。

Erdos
1975年,传奇数学家保罗·埃尔德什在一篇论文的角落随手写下一个问题。
半个世纪后,这个问题静静躺在「埃尔德什问题 」上,编号1026。
谁也没想到,它会在2025年的最后一个月,被一群数学家利用AI工具,在短短48小时内彻底破解。
埃尔德什的原问题,读起来有点像谜语。

给定一串不同的实数x1,x2,…,xn,定义S(x1,…,xn)为所有单调子序列(递增或递减)的最大可能和。
这个函数有什么性质?
问题一出,大家面面相觑:这到底要问什么?是求S的表达式?还是找它和总和的比值下界?
2025年9月12日,问题被挂上 时,附加了一条注释:「该问题表述较为模糊。」
但数学家的本能,就是要把模糊变成精确。
当天,网友Desmond Weisenberg提出了一个清晰的游戏化解释:
Alice和Bob的硬币游戏
Alice有N枚硬币,她分成n堆,每堆xi枚(xi可不同)。Bob可以选取一个单调的子序列(递增或递减),拿走这些堆里所有硬币。
问:无论Alice怎么分堆,Bob至少能拿到总硬币数的多少比例?
这个比例,记作c(n)。

从n=3到平方数猜想
可以先看这样几个例子。

很快,Stijn Cambie发现:
如果Alice把硬币分成k2堆,每堆差不多大,并排列成k个递减块,每块k 堆,块之间递增,那么最长单调子序列只有k堆。
于是Bob最多拿到1/k的比例,也即c(k2)≤1/k。
反过来,Wouter van Doorn用已有结果给出下限:c(n)≥(1/√2)/√n。
那么,√n·c(n)的极限是多少?它在1/√2和1之间。
第二天,Stijn手算小n的值:

数据虽少,但已足够让他大胆猜想:c(k2)=1/k。
这意味着√n·c(n)→1,Bob在n很大时几乎能保证拿到约1/√n的比例。
AI出手了!
两个月后,2025年12月7日,Boris Alexeev用AI工具Aristotle在证明辅助语言Lean中自动证出了c(k2)=1/k。
几乎同时,Koishi Chan给出一个优美的人类证明——「膨胀法」。

至此,上下界合一,猜想成功得证。
更巧的是,这个答案,其实早就存在了。
Google Scholar很快找到一篇2016年论文,其中已有此结果,并引用了更早的Wagner用「膨胀法」处理埃尔德什-塞凯赖斯定理的工作。
原来,数学早已悄悄解决过这个问题,只是未被链接到埃尔德什的原始提问。
AI登场
猜出完整公式
但故事的高潮还在后面。
陶哲轩决定用另一个AI工具AlphaEvolve系统探索c(n)。

他让AI尝试构造使S尽量小的序列,很快得到n=1到16的数值结果:

这些分数看似杂乱,但重新排列后,模式逐渐浮现了出来。

Boris从中提炼出干净公式:

并构造出极值序列:用「红」「蓝」两种数值的块交替排列,控制单调子序列的长度。
下图直观展示了该构造(a≥0的情形):

而1/c(n)的图像,正是对√n的分段线性逼近:

连接经典
正方形填充问题
随后,Lawrence Wu指出:此问题等价于一个正方形填充问题(埃尔德什问题106)。

Lawrence证明:c(n)≥1/f(n)。
理由:对任意序列,可构造一系列正方形,它们互不重叠地填满边长为S(x1,…,xn)的大正方形。
下图展示了从AlphaEvolve给出的一个序列构造出的正方形填充。

最后一击
文献中的完整解
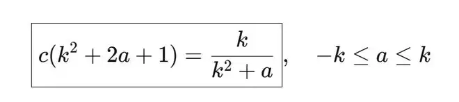
Lawrence再用AI深度搜索,找到了2024年Baek、Koizumi、Ueoro的论文,其中证明:f(k2+2c+1)≤k+c/k。
结合Praton的嵌入论证,这恰好给出:c(k2+2a+1)≤k/(k2+a)。
上下界再次吻合,猜想完全得证!
AI+人类
48小时极限突围
这个故事最让陶哲轩触动的一点是,能汇聚一群不同背景的人、文献和工具来攻克这个问题,是何等重要。
陶哲轩感慨道:
传统模式下,一两位数学家凭借简单工具,或许最终也能拼出全貌,但那可能需要数周甚至数月。而在这个协作网络中,所有关键环节在48小时内汇聚。
要陈述并证明c(n)的精确公式,需要基于多个观察结果,大概包括以下几点:
该序列可以被数值计算为有理数序列。
经过适当的归一化和排列后,序列中会出现肉眼可见的规律,让人能推测出序列的形式。
这个问题是Erdős-Szekeres定理的一个加权版本。
在Erdős-Szekeres定理的众多证明中,1959年Seidenberg的证明可以被解释为一种离散矩形填充论证。
这个问题可以被重新解释为连续正方形填充问题,实际上与Erdős问题106(关于此类填充)的(广义轴平行形式)密切相关。
Erdős问题106的轴平行形式最近刚被Baek-Koizumi-Ueoro解决。
Praton的论文表明,Erdős问题106蕴含了这个问题所需的广义版本。这个蕴含关系特指轴平行的情况。
正是靠着所有贡献者的通力合作以及他们使用的工具,所有这些关键线索才得以在48小时内汇集在一起。
如果换作传统的模式,只靠一两个数学家以及更简单的编程和文献搜索工具,虽然理论上最终也能把这些碎片拼凑起来,但这个过程会花长得多的时间(可能是数周甚至数月)。
另一个关键因素是Erdős问题 上「平衡的AI政策」,它鼓励公开说明AI的使用情况,同时强烈反对隐瞒使用——
允许使用AI辅助编写评论,前提是:
(a)已对此进行公开说明;
(b)内容(包括数学推导、代码、数值数据及相关来源的存在性)已由用户自己在没有AI协助的情况下仔细核查与验证;
(c)评论篇幅在合理范围内,不过于冗长。

一道悬置50年的问题,在2025年的冬天,因为一次跨人机、跨时空的奇妙协作,终于画上了圆满的句号。
而这,可能只是一个新时代的开始。
参考资料:ZHB
https://terrytao.wordpress.com/2025/12/08/the-story-of-erdos-problem-126/
秒追ASI
⭐点赞、转发、在看一键三连⭐
点亮星标,锁定新智元极速推送!
相关攻略
3月26日晚间,前千问大模型技术负责人林俊旸在社交平台发文,在从阿里离职后,他首度发布长文详谈自己对大模型发展路线的理解及对AI下一阶段的预判。林俊旸表示,过去两年重塑了行业对大模型的评估方式与核心
机器之心编辑部AI 在数学领域的研究取得新进展!近日,一家名为 Math, Inc 的公司宣称利用 Gauss 智能体,已经完成了一个关乎 8 维和 24 维空间中的最优球体堆积定理的形式化证明,
新智元报道编辑:LRST【新智元导读】在经济学和博弈论的世界里,找到「纳什均衡」往往意味着找到了复杂局势下的最优解。多所顶尖高校的研究人员开发出了一位名为PrimeNash的「AI数学家」,不仅能像
新智元报道编辑:倾倾【新智元导读】币圈玩家Neel Somani带着GPT-5 2暴力踹开了数学圣殿的大门。陶哲轩亲自盖章确认,但这并非「AI成神」,而是一场成功率仅1%的算力挖矿。当数学证明变成工
当我们看到一个数学老师在黑板上用尺子和圆规一步步画出完美的正五边形时,可能很少会想到这背后蕴含着怎样复杂的推理过程。而现在,来自中国科学院大学和上海人工智能实验室的研究团队正在尝试让人工智能也掌握这
热门专题
热门推荐
《全面战争:中世纪3》:经典延续,如何平衡怀旧与创新? 近期,《全面战争:中世纪3》的项目负责人帕维尔·沃伊斯坦然指出,要打造一款真正优秀的续作,绝不能仅仅依赖对前作模式的简单复刻。这一观点引人深思——尽管《中世纪2:全面战争》至今仍在策略游戏爱好者心中占据着经典地位,但开发团队此次显然决心跳出“照
雷鸟X3 Pro斩获AWE艾普兰创新大奖,开启全民AR生活新篇章 在上海新国际博览中心隆重揭幕的2026年中国家电及消费电子博览会(AWE)上,前沿AI科技与未来生活愿景激情碰撞。全球消费级AR领导品牌雷鸟创新,以其里程碑式的表现,定义了行业发展的新方向。 通过“顶尖硬件科技+顶级文化IP”的双轨战
借力AWE2026“一展双区”,MOVA双区协同、震撼登场 备受瞩目的科技盛会——2026年中国家电及消费电子博览会(AWE),于3月12日至15日在上海盛大举办。本届AWE展会首次创新采用“一展双区”的展览模式,主会场位于上海新国际博览中心,分会场则设于上海东方枢纽国际商务合作区,两大展区高效联动
冰结师技能全解析 踏入2026年,《地下城与勇士》中的冰结师职业,其技能体系已构建得更为成熟与强大。无论是在副本中高效清理海量怪物,还是在决斗场与高手玩家周旋,这个职业都能凭借其独特的冰霜艺术掌控战局。刷图时,酷寒的范围法术可瞬间清屏;而在PVP竞技中,一套将冻结控制与瞬间爆发完美衔接的连招,往往让
iPhone 18 Pro系列模具不变,屏幕形态将与iPhone 17 Pro保持一致 备受期待的屏下Face ID组件小型化设计与灵动岛区域缩窄方案,预计将被推迟至后续迭代机型中正式应用。 近期,关于iPhone 18 Pro系列的技术传闻持续引发行业关注,尤其在显示与解锁设计领域传言甚多。多方消





