美团开源LongCat图象模型:专攻中文场景与编辑功能
12月8日,美团LongCat团队正式宣布开源其图像生成与编辑模型LongCat-Image。这款模型拥有60亿参数,其独特之处在于采用了一套统一的架构,能够同时处理文本生成图像和基于自然语言指令进行图像编辑的任务。
免费影视、动漫、音乐、游戏、小说资源长期稳定更新! 👉 点此立即查看 👈

模型架构解读
根据介绍,LongCat-Image采用了图文生成与图像编辑同源的混合骨干架构(MM-DiT+Single-DiT),并整合了视觉语言模型条件编码器。它的核心技术创新点主要包括:
1. 生成与编辑合二为一:模型不仅能够根据文本提示生成图像,还可以通过自然语言指令对图像进行多轮精细编辑。官方列举了包括对象添加/移除、风格迁移、背景替换、文字修改在内的15类编辑任务,并声称在多轮编辑过程中能有效保持图像风格与光照的一致性。

风格迁移与属性编辑能力对比
2. 强大的中文文本渲染能力:该模型特别强调对中文文本生成的支持,宣称能够准确处理标准汉字、生僻字以及部分书法字体,并能根据场景自动调整字体、大小和排版。在技术实现上,模型通过预训练阶段学习字形轮廓,并在后续训练中引入大量真实世界的文本图像数据,以提升其泛化与应用能力。

文字生成效果对比
3. 高效的输出与优秀质量:通过模型结构轻量化与训练策略优化,该模型宣称可在消费级GPU上实现高效推理,并生成具备“摄影棚级别”丰富细节的高质量图像。

图像生成综合能力对比
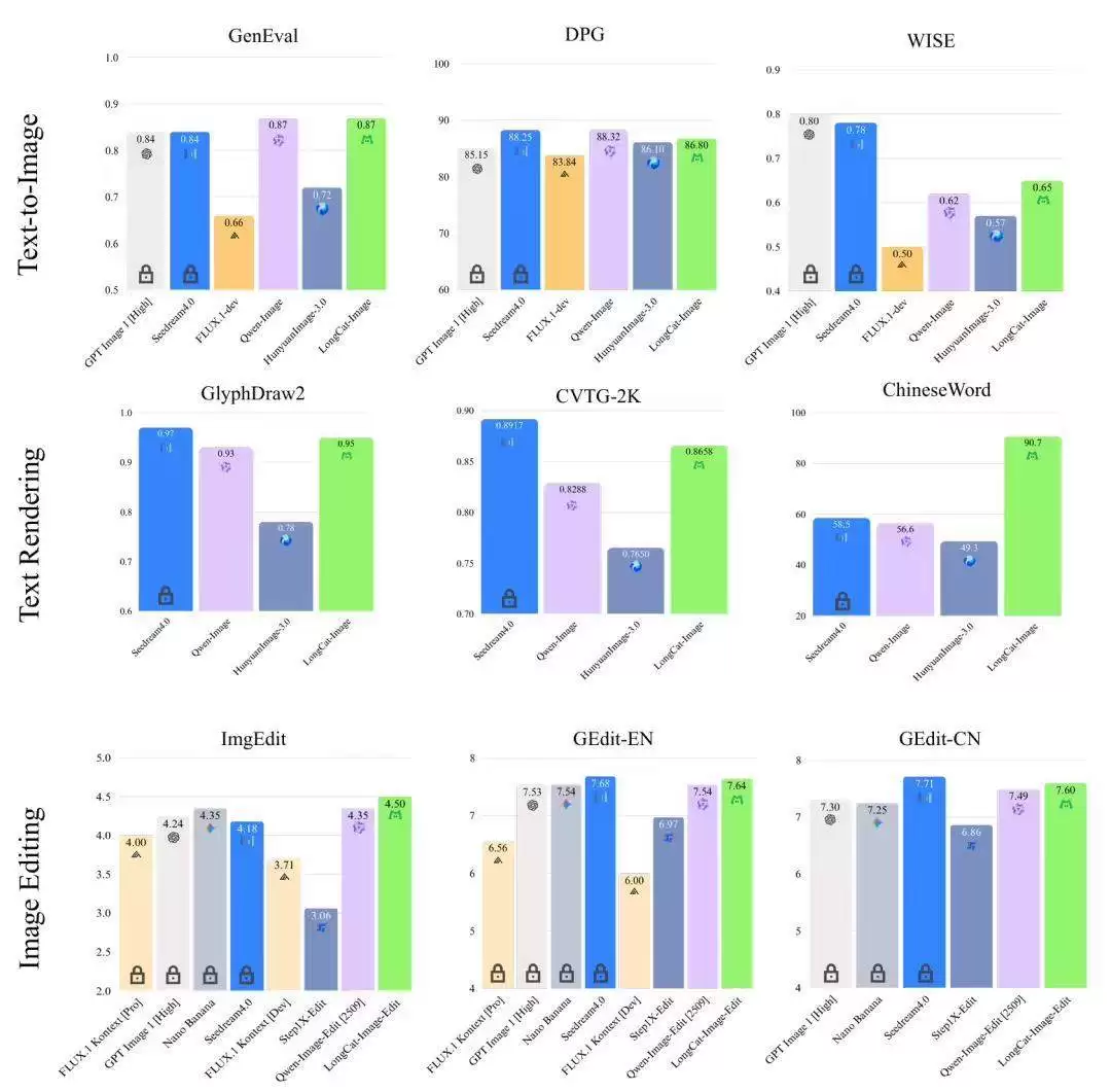
在性能评估方面,官方公布了部分基准测试数据:

1. 在图像编辑基准测试GEdit-Bench和ImgEdit-Bench中,LongCat-Image得分分别为中英文综合7.60/7.64分以及专项4.50分,均达到了开源模型中的领先水平。
2. 在中文文本渲染专项测评ChineseWord中,其得分高达90.7分。
3. 在文生图基础能力测试GenEval和DPG-Bench中,其得分分别为0.87和86.8。
目前,该模型已在GitHub平台开源,用户可以通过LongCat APP或网页端(longcat.ai)体验其功能。团队表示,此次开源旨在支持从学术研究到商业应用的全流程探索,并诚挚邀请全球开发者社区参与共建。
此次开源动作,清晰地显示了美团在AIGC领域,尤其是针对中文市场及复杂图像编辑需求的技术布局。开源策略有助于其吸引开发者构建生态,并有望在快速发展的图像生成领域建立重要的影响力。
相关攻略
京东开源图像模型JoyAI-Image-Edit,从平面修图升级为三维空间重塑 4月7日,京东探索研究院正式宣布,开源自研的JoyAI-Image-Edit图像模型。这不仅是又一个开源工具,更标志着图像生成编辑技术的一次关键转向:从二维平面迈入了三维空间。 简单来说,这个模型被设计为业内首个将“空间
IT之家 3 月 15 日消息,X 平台博主 @ZONEofTECH 前天发文称,苹果 MacBook Neo 笔记本可以手动切换到 P3 广色域,实际上可以显示 P3 图像。据介绍,MacBook
IT之家 2 月 26 日消息,荣耀影像最新微博今日放出了荣耀 Magic V6 折叠屏手机的拍摄样张,新机将延续 AiMAGE 影像能力。IT之家注:去年 3 月,荣耀在 2025 年世界移动通信
2月13日,字节跳动Seed团队推出Seedream 5 0 Lite智能图像创作模型。相比4 0版本,模型在理解、推理和生成方面全面提升。作为通向统一多模态模型的进一步探索,它开始能像人类设计师
IT之家 2 月 13 日消息,科技媒体 Appleinsider 昨日发布博文,报道称苹果在其 Apple Creator Studio 套件中大力宣扬“无限创意”,但实际测试表明其生成式 AI
热门专题
热门推荐
清算热力图实战指南:精准预判加密市场变盘点的五大核心步骤 在波动剧烈的加密货币合约市场中,清算热力图正成为专业交易者洞察市场潜在“火药桶”的关键可视化工具。它通过动态展示不同价格区间的潜在清算头寸密度,将多空杠杆博弈的脆弱地带清晰呈现。掌握其核心用法,能有效辅助交易者识别价格可能发生剧烈转向或加速突
《刺客信条:黑旗 Resynced》2026年发售,经典海盗传奇完全重制回归 据知名游戏爆料人Tom Henderson最新透露,备受玩家期待的《刺客信条:黑旗 Resynced》已正式定档,将于2026年7月9日全球同步发售。需要明确的是,本次项目并非简单的高清复刻版,而是对爱德华·肯威经典加勒比
币安Binance现货合约交易官网入口、App下载、注册与认证全指南 对于想要进入加密货币交易世界的新手来说,找到正确的起点至关重要。本文将为你清晰指引币安(Binance)的官方入口,并手把手带你完成从下载App、注册账户到完成身份认证的全过程。所有步骤都基于官方渠道,确保你的每一步操作都安全、可
洛克王国新手开局必看:前期神宠选择攻略与重要性解析 对于刚刚踏入洛克王国的新手玩家来说,开局阶段选择一只强力的前期神宠,是决定冒险旅程是否顺畅的关键。一只优秀的前期宠物不仅能让你轻松应对主线任务和日常挑战,更能帮助你快速理解游戏的核心战斗机制与属性克制关系。那么,在洛克王国前期,哪些宠物值得优先培养
深度解析:Web3合约交易中的强平引擎与保险基金核心机制 在波澜云诡的加密货币合约交易市场中,“强制平仓”是每一位交易者都极力避免却又必须深刻理解的风险事件。这背后并非一个简单的风控开关,而是一套被称为“强平引擎”的复杂、自动化、多层级风险管理系统。它的高效运作,直接关系到交易平台的稳健性与用户的资





