合约交易稳赚:仓位管理核心策略与实战指南
最安全的虚拟币交易平台推荐:
- OKX(欧易交易所)>>>进入官网<<< >>>官方下载<<<
- Binance(币安交易所)>>>进入官网<<< >>>官方下载<<<
合约交易,玩的就是心跳!但想在这个高风险市场里生存,光靠胆大可不行,还得有脑子,也就是一套靠谱的仓位管理策略。这玩意儿说白了,就是控制风险、优化收益的法宝。管好了,能避免爆仓,还能让你的收益蹭蹭往上涨。
一、仓位管理的核心原则:保命第一!
风险控制:永远放在第一位
记住,在合约市场里,保住本金比什么都重要。
- 单次风险控制:每次交易的最大亏损,别超过你总资金的 1-2%。 举个例子,你有 1 万刀本金,那每次最多亏 200 刀。
- 总风险控制:同时持有的合约,总的风险敞口别超过总资金的 5-10%。 别把鸡蛋都放在一个篮子里。
杠杆:用得好是神器,用不好是炸弹
杠杆这东西,就像一把双刃剑,用得好能放大收益,用不好直接让你血本无归。
- 高杠杆(20-50x): 除非你是高手,对行情有绝对把握,否则别碰! 这种杠杆只适合极小的仓位(比如 0.5-1% 的总资金),玩的就是精准。
- 中低杠杆(5-10x): 这是比较稳妥的选择,适合主力仓位(比如 2-5% 的总资金),平衡风险和收益。
- 波动率适配: 市场波动大的时候,比如 BTC 一天波动超过 10%,赶紧降低杠杆或者缩小仓位。
二、仓位管理的核心策略:稳扎稳打
1. 分仓建仓法:像盖房子一样,一层一层来
- 金字塔加仓(趋势确认后):
- 首仓: 占总仓位的 30%,止损可以设宽一点(比如支撑位下方 3%)。
- 第二仓: 趋势延续,加仓 20%,止损上移到首仓的成本价。
- 第三仓: 趋势加速,加仓 10%,止损紧贴短期均线。
- 倒金字塔减仓: 盈利目标达成后,先平 50% 的仓位,锁定利润,剩下的仓位跟踪止盈。
2. 动态头寸调整:灵活应对市场变化
- 盈利加仓: 浮盈达到止损位的 2-3 倍 时,可以用利润去加仓,别动用本金。
- 亏损缩仓: 连续亏损 2 次后,下一笔交易仓位减半,等盈利了再恢复。
3. 跨品种对冲:分散风险,稳中求胜
- 相关性对冲: 同时开多 BTC,开空 ETH(或者反过来),利用币种之间价差波动,降低风险。
- 期限套利: 做多近月合约,做空远月合约,赚取基差回归的收益(记得算上手续费)。
三、实战工具:让数据说话
ATR 指标(真实波动幅度):帮你设置合理的止损
先算出当前的 ATR 值(比如 BTC 的 14 日 ATR 为 $1,500),然后把止损距离设为 1.5 × ATR。
举个例子: 你能承受的亏损是 200 刀,BTC 合约面值是 1,止损距离是 $2,250,那么开仓数量 = 200 / (2,250 × 1) = 0.088 BTC。
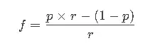
凯利公式:计算最佳仓位比例
根据你的胜率(p)和盈亏比(r),算出最佳的仓位比例:
举个例子: 胜率是 50%,盈亏比是 2:1,那么 f = (0.5 × 2 - 0.5) / 2 = 0.25,也就是说,单次投入别超过 25% 的仓位。
四、极端行情下的风控:未雨绸缪
熔断机制:给自己一个冷静期
当账户单日亏损达到 5% 时,强制停止交易 24 小时,别上头。
保证金实时监控:守住最后的底线
设置预警线: 当保证金率 < 150% 时减仓,< 120% 时平仓,别爆仓。
黑天鹅应对:留点现金保命
保留至少 30% 的 USDC/USDT 作为非杠杆储备金,用于极端暴跌时补充保证金。
五、常见错误与修正:避免踩坑
| 错误做法 | 修正方案 |
|---|---|
| 全仓高杠杆(比如 100x) | 单次杠杆 ≤ 20x,仓位 ≤ 2% |
| 无止损扛单 | 开仓后 5 分钟内必须设置止损 |
| 盈利后过度加仓 | 盈利加仓幅度不超过原始仓位的 50% |
| 多品种同时重仓 | 关联性强的币种仓位合并计算风险 |
六、案例推演:BTC 合约实战
- 初始资金: $10,000
- 策略:
- 首仓开多 BTC: 2% 资金(200 刀),10x 杠杆 → 仓位价值 2,000 刀,止损设 2% 跌幅(亏损 40 刀)。
- 趋势确认后加仓 1% 资金(100 刀),20x 杠杆 → 追加仓位 2,000 刀,止损上移至成本价。
- 盈利达到 500 刀时平仓 50%,剩下的仓位跟踪止盈(比如跌破 5 日均线全平)。
记住,仓位管理的核心在于控制每笔交易的亏损金额,而不是关注开仓倍数或仓位大小。
1. 确定单笔亏损金额
每次交易前,明确自己能承受的最大亏损金额。 比如,账户总资金 10,000 刀,决定单笔亏损控制在 2%,那每笔交易的最大亏损金额就是 200 刀。
2. 计算交易规模
根据止损点位和亏损金额,计算合适的交易规模。 比如止损幅度是 2%,每笔交易最大亏损 200 刀,那交易规模应该是 10,000 刀。 这跟杠杆倍数没关系。
3. 计算交易数量
以币种为单位,计算每笔交易的数量。 假设止损价格空间是 63.53 刀,每笔交易最大亏损 200 刀,那交易数量应该是 3.148 个币种。 这同样跟杠杆倍数没关系。
4. 风险控制与止损
每笔交易前,明确止损点位,严格执行止损策略。 合约交易本质上就是胜率和盈亏比的博弈,没人能保证 100% 的胜率。 即使是胜率 70% 的交易系统,也可能出现连续多次止损的情况。 所以,学会止损才是盈利的关键。
5. 适应市场波动
市场波动大的时候,可能要调整止损点位和交易规模,适应市场变化。 交易中,保持灵活性和适应性,才能更好地应对市场的起伏。
6. 心态调整
在交易中,保持冷静和理性,避免情绪化操作。 交易是需要耐心和纪律的,学会在适当的时候止损,才能在长期中实现盈利。
总结
合约交易的仓位管理,本质上就是 概率、赔率和心理承受力的三角平衡。 建议从保守策略开始(比如 1% 风险敞口 + 5x 杠杆),通过交易日志记录每笔决策的盈亏比和胜率,逐步优化模型。 最终目标不是追求单次暴利,而是通过长期稳定的正期望值系统,实现复利增长。
记住,合约交易,玩的就是风险管理! 控制好仓位,才能在这个市场里活下去,并且赚到钱!
相关攻略
在加密货币合约交易中控制风险:一份实战指南 加密货币合约交易,高收益的背后是与之匹配的高风险。但风险并非不可控,关键在于建立一套严谨的防御体系。通过合理设置交易参数、制定并执行铁律般的操作策略,投资者完全可以在波涛汹涌的市场中有效保护资金安全,实现长期生存与发展。以下是经过市场验证的几项核心风险控制
比特币合约交易全攻略:从新手到高手的进阶之路 新手入门阶段 万事开头,基础得牢。第一步,得把合约交易那些核心概念捋清楚:杠杆是怎么放大收益与风险的,保证金如何计算,做多与做空机制又是什么逻辑。简单说,比特币合约让你能针对价格波动进行交易,而无需真正持有它。 接下来,战场要选对。一个监管合规、流动性充
ETH 合约交易:从入门到精通的实战指南 高杠杆、高波动,以太坊合约交易无疑是短线交易者眼中的“效率工具”,能快速放大收益。但硬币的另一面,是同样被放大的风险。想要在这个市场里生存乃至获利,光有胆量可不够,一套系统化的操作技巧与铁律般的资金管理策略,才是真正的护身符。今天,我们就从最基础的流程开始,
币安期货合约交易实操指南:做多做空全覆盖 想在币圈行情里无论涨跌都找到机会?币安期货合约正是这样一个工具。它提供了多空双向交易的灵活性,上涨能赚钱,下跌同样有机会盈利。不过,高杠杆也意味着高风险。这份指南,就是为你梳理从开户到实战的全流程操作要点,帮你掌握开平仓、设置止盈止损的核心技巧,有效规避爆仓
如何避免比特币合约交易爆仓? 谈到比特币合约交易,高回报的吸引力背后,总伴随着“爆仓”这个令人不安的风险。所谓爆仓,即当保证金不足以覆盖亏损,仓位被系统强制平仓,本金瞬间归零。这听起来颇具威慑力,但关键在于,这种风险是可以通过系统性的方法进行管理和规避的。在合约市场中实现长期生存,核心并非捕捉到多少
热门专题
热门推荐
SQL关联查询中处理重复记录的清理_使用JOIN关联进行排查 在数据库查询实践中,当使用LEFT JOIN后出现记录数异常增加的情况,许多开发者会下意识地采用DISTINCT关键字进行去重。然而,我们必须首先理解其核心机制:LEFT JOIN导致记录数增多,本质上是由于左表的一条记录能够匹配右表的多
MySQL主从复制中断后如何修复_重新构建从库的详细步骤 主从复制中断后怎么快速判断是临时延迟还是已断开 遇到主从同步卡住,先别急着动手重建。很多时候,所谓的“中断”只是暂时的延迟,表现为 Seconds_Behind_Master 持续显示为 NULL 或者数值飙升,但 IO 线程其实还在正常工作
查看狗狗币价格的主流App推荐 想盯紧狗狗币(Dogecoin)的实时价格?这事儿说简单也简单,说讲究也讲究。关键在于,你得找到一款数据准、更新快、用着顺手的工具。下面这几款主流加密货币App,可以说是市场上的“硬通货”,它们提供的行情信息和图表工具,足以让你把狗狗币的脉搏摸得清清楚楚。 1 币安
如何用SQL检测用户活跃周期:结合窗口函数计算间隔 用 LAG() 算上一次登录时间,再减出间隔 想搞清楚用户活跃的连续性,第一步就是计算每次登录之间的时间间隔。这里有个高效且直观的思路:把用户每次登录按时间排好队,然后“回头看”一下上一次是什么时候,两个时间点一减,间隔就出来了。实现这个“回头看”
MySQL查询优化:为什么你应该告别SELECT * 在数据库查询中,SELECT * 看似方便,但在处理大表时,它往往是性能的隐形杀手。根本原因在于,即便你只需要一列数据,MySQL也必须将整行数据从磁盘或缓冲池中完整读取出来。当表中字段众多,特别是包含TEXT、BLOB这类大对象或长VARCHA








