KD指标解析:巧用随机指标KD判断买卖点
KD 指标是用来分析价格的强弱以及预测价格反转信号的技术分析方法,也是目前多数加密货币投资者在币安上用来判断价格的方法。本篇文章我将会讲解KD 指标的意义、操作与实际应用,也会搭配币安Binance 的Tradeview 图表进行加密货币价格判断的实际操作。
最安全的虚拟币交易平台推荐:
- OKX(欧易交易所)>>>进入官网<<< >>>官方下载<<<
- Binance(币安交易所)>>>进入官网<<< >>>官方下载<<<
| | 意义 | 内容 |
| RSV | 未成熟随机指标 | 表示一段时间内价格的相对强弱 |
| KD指标 | 随机指标 | 经过RSV加权平均后的数值,同样表示一段时间内价格的相对强弱 |
| 超买区 | KD > 80 | 市场过热,为放空讯号 |
| 超卖区 | KD < 20 | 市场过冷,为买进讯号 |
| 黄金交叉 | K值由下往上超越D值 | 一段时间内,价格将持续上涨 |
| 死亡交叉 | K值由上往下跌破D值 | 一段时间内,价格将持续下跌 |
| KD钝化 | KD值长期在超买/超卖区 | KD值失去参考意义 |
| KD背离 | KD走势与价格走势相反 | 通常暗示价格即将反转 |
什么是KD 指标?(Stochastic Oscillator)
上一篇文章,我们介绍的移动平均线的使用方法:
- 币安技术分析教学:移动平均线MA (Moving Average)、葛兰威尔八大法则
今天我们会介绍另一个基本的技术分析指标,KD 指标。
KD指标的中文,指的是「随机指标」。
随机,指的是价格在一段时间内相较于价格上下范围的比例。
KD 指标可以看出一些事情:
- 目前价格的相对强弱
- 目前市场的情绪
在使用上,KD 指标是基于以下前提:
- 上涨时,当日收盘价总是朝向当日价格波动最高价接近。
- 下跌时,当日收盘价总是朝向当日价格波动最低价接近。
在了解KD 指标之前,我们要先认识RSV (Raw Stochastic Value,未成熟随机指标),
因为KD 指标其实是从RSV 衍生出来的数值,两者概念上是相同的。
RSV指标与KD指标
RSV指标
RSV 的原理很简单,他是求出「目前价格」相较于过去一段时间其最高价、最低价的强弱:
- C n:目前价格
- H n:过去n 天内最高价
- L n:过去n 天内最低价
当RSV 接近100%,就表示收盘价接近过去一段时间的最高点,我们通常会说RSV 高表示最近价格很强。
当RSV接近0%,就表示收盘价接近过去一段时间内的最低点,我们通常会说RSV 低表示最近价格很弱。
简单地说,RSV 越接近100%,则越强,越接近0%,越弱。
KD指标
那什么是KD 值呢?其实他是从RSV 衍生算出的数值,概念上是相同的。
KD 指标又可以拆为K 值和D 值:
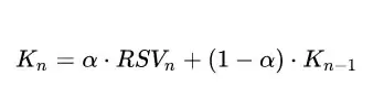
K值
首先我们先知道,K值是由RSV 计算出来的数据,原理是取「昨日的K 值」和「今日的RSV」去做加权平均。
权重我们通常会取三等份,两等份给昨日K 值,一等份给今日RSV (这代表昨日K值影响力会大于今日的RSV),
K 值的详细计算公式如下:
- α:权重分配,α 越大,受当日价格影响越大,我们通常带入1/3。
- K n-1:昨日K值
- K n:今日K值
- RSV n:今日RSV
从公式你可以发现,当α = 1 时,K 值其实就会等于RSV。
由于K 值对于价格变动的反应较为灵敏,因此称为快线。
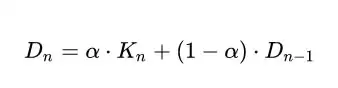
D值
K 值是RSV和昨日K 值的加权平均,而D 值则是K 值和昨日D 的加权平均。
详细计算公式如下:
- α:权重分配,α 越大,受当日K 值影响越大,我们通常带入1/3。
- D n-1:昨日D 值
- D n:今日D 值
- K n:今日K 值
当α = 1 时,D 值其实就会等于K 值。
D 值对于价格变动的反应较为缓慢,因此称为慢线。
简单整理一下你会发现以下的路径:价格强弱影响RSV,RSV影响K值,K 值影响D值。
这就是KD 指标的计算原理。
那为何我们不直接使用RSV 指标,而是要改用KD 指标呢?
答案是:「因为RSV 太容易受到价格波动影响。」
假设今天价格突破了过去一段时间内的新高点,RSV 就会大于100%;相反地,价格如果创新低,RSV 就会变成负值,这样在实务上使用会有些麻烦。
另外RSV 对于价格变动太过灵敏,想要以此作为买卖讯号杂讯实在过多,因此才会衍生出经过加权平滑的KD 指标。
了解了KD 的原理后,接下来我们来KD 指标该怎么实际运用,简单列出市场常用的法则。
PS 这些经验法则不代表百分之百的胜率,实际运用上还是要搭配其他指标,以及透过经验来调整自己的投资策略。
- 超买与超卖
- 黄金交叉与死亡交叉
- 钝化与背离
KD 指标的超买与超卖
KD 值的范围是0 ~ 100 %,和RSV 一样。
当数值越高,代表市场越乐观;数值越低,则代表市场悲观;若处在50% 左右,则代表多空平衡。
因此我们可以用这个原理去判断市场的情绪。
当KD 值> 80% 以上,代表市场过热,一般称为超买阶段,可以考虑放空。
当KD 值< 20% 以下,代表市场过冷,一般称为超卖阶段,可以考虑做多。
KD 指标的黄金交叉与死亡交叉
和均线一样,KD 值也有交叉的策略可以使用。
交叉简单说就是一种买卖讯号:「当黄金交叉出现时,代表后续可能会持续上涨一段时间,当死亡交叉出现时,代表后续可能会持续下跌一段时间。」
当K 线(快线)向上超过D 线(慢线),就代表黄金交叉,可以视为买进讯号,如果发生在超卖区更好。
当K 线(快线)向下跌破D 线(慢线),就代表死亡交叉,可以视为卖出讯号,如果发生在超买区更好。
KD 指标的钝化与背离
「钝化」指的是指标失去作用的时期。
由于KD 值是计算过去一段时间内价格的相对强弱,因此当价格趋势持续很长一段时间时,KD 值就会失去判断的信号。
例如价格在过去30天内一直上涨,KD 值就会一直处在超买区,且不断来回交叉,但如果依照这个信号去放空,显然会造成损失。
因此,当KD 值长时间都维持在超买或超卖区,通常KD 指标会失真,也就是失去判断的作用。
「背离」指的是价格趋势和指标趋势不一致的状况,通常暗示价格即将出现反转。
例如:今天价格创近期的新高,但是KD 指标却没有跟着创新高,这是一种背离,且暗示价格有可能转弱;
同理,当价格创新低,但是KD 指标的却没有跟着创新低,同样是一种背离,且暗示价格有可能转强。
背离有多种情况,而且不仅是KD 指标有背离状况,很多技术指标也可以套用,以下用表格简单说明KD 背离的几种状况:
| 转弱背离 | 价格创新高 | 价格没创新高 |
| KD 创新高 | 转弱 | |
| KD 没创新高 | 转弱 |
| 转强背离 | 价格创新低 | 价格没创新低 |
| KD 创新低 | 转强 | |
| KD 没创新低 | 转强 |
如何在币安的Trading View 上使用KD 指标?
进入币安交易所后,选择一个交易对,进入Trading View 介面,
以下用BTC / USDT交易对来示范,按照下图步骤把KD 指标叫出来:
接着系统就会在下方跳出「Stoch」,也就是KD 指标的英文,按下齿轮图示,可以去设定细节参数。
首先在「输入数值」,一般我们会设定9 : 3 : 3。
- 长度:代表你要取多长的时间计算KD,一般我们会用9 天或14 天。
- 平滑K:代表我们计算K 值的权重,一般使用3,代表1/3。
- 平滑D:代表我们计算D 值的权重,一般使用3,代表1/3。
(关于权重可回到上文查看α 值的带入)
接着跳到「样式」,
我们可以设定超买超卖的上下限,一般会设定80/20,
不过如果是波动较大的资产,如加密货币,也有的人会设定70 / 30 :
回到主页,你就可以看到设置好的KD 指标分析坐落在分时走势图的下方:
使用KD指标的优缺点
KD 指标的优点是价格反应灵敏,对于中短线操作可以迅速反应市场状况,且时间长短可以根据投资人的喜好调整参数。
- 可以灵敏地反映价格的变化
- 使用起来简单方便,大多数网站都内建KD 指标
KD 指标的主要缺点是,遇上大波段上涨或下跌行情,常常会让投资人只赚到一小个波段就提前出场(钝化),因此不适合长线操作。
- 过于灵敏,杂讯比起一般技术指标来说更多(例如均线)
- 由于是计算相对价格,因此无法判断长期趋势
总结
KD 指标是结合均线、动能、力道等概念的技术指标,使用起来非常简单好懂,可帮助投资人快速分析价格的相对强弱。
在使用上,比较建议投资人结合均线、KD 指标一起分析,因为均线对于中长期的趋势会有比较好的判断,刚好弥补KD 指标的缺点,也可以结合我们之后会讨论的MACD 等其他技术指标,可以有更宏观的分析结果。
热门专题
热门推荐
元旦一日游:在科技与自然的交汇处漫步 新年的钟声犹在耳畔,2026年的第一个假日便已翩然而至。空气中弥漫着喜庆与松弛的气息,我也决定暂别日常的节奏,加入这人潮涌动的假日行列,来一场计划之外的短途游览。 中午时分,目的地准时抵达。眼前是人头攒动的热闹景象,那份跃跃欲试的心情几乎要破笼而出。不过,一切还
今天元旦 元旦这天,大概是孩子们最快乐的时刻了。你听,大清早的鞭炮声就此起彼伏,宣告着新年的到来。一句“新年快乐”,是这一天最自然而然的开场白。 说到新年,怎么能少得了饺子呢?这几乎是家家户户的保留节目。一家人早早地忙活起来:爸爸负责擀皮,妈妈和我负责包。分工明确,配合默契,不一会儿,一排排白胖胖的
又是一个阳光明媚、万&里无云的好天气 处处弥漫着一股喜气洋洋的气氛,偶尔会有一丝丝凉风拂过脸上抑制不住的笑容。你知道吗?全校师生正齐聚一堂,准备欢庆元旦呢! 活动伊始,场内还有些许嘈杂的声响,但随着几位英姿飒爽的主持人登场,现场顷刻间鸦雀无声,所有人的目光都聚焦在舞台上,专心致志地等待节目开始。 精
光阴似箭,一转眼2026就要和我们说再见了 在年末的最后一天,我们学校举办了一场气氛热烈的运动会,为这一年画上了一个充满活力的句号。 比赛开始了 各项赛事紧锣密鼓地展开,同学们个个摩拳擦掌,做好了充分的赛前准备。首先登场的是我个人最喜欢也最拿手的项目——跳绳。裁判员的口哨声清脆响起,我手中的绳子便立
践行核心价值观演讲稿 本站为您整理了一系列关于践行社会主义核心价值观的演讲稿,供您参考。更多相关文章,敬请关注本栏目。 【践行核心价值观演讲稿(一)】 尊敬的老师,亲爱的同学们: 大家好。我是来自第四小学五(1)班的钟李敏。今天,我想和大家分享的主题是《弘扬核心价值观,争当苏区好少年》。 还记得每天
















