布林通道指南:用布林带指标判断支撑位与压力位
本文为币安布林通道技术分析教学,在上一篇文章我们介绍了MACD 用于判断中长期趋势,今天我们要介绍另一个指标:布林通道。布林通道结合了指标分析与型态学,也是一种从均线概念中衍生出的指标,除了讲解概念外,我们也会教学如何在币安上设定布林通道。
2026虚拟币交易平台推荐:
- 欧易(OKX)交易平台(>>>进入官网<<<)(下载OKX的Android安装包)
- 币安(Binance)交易平台(>>>进入官网<<<)(下载币安Android安装包)
什么是布林通道(Bollinger Bands)?
布林通道是由约翰.布林格( John Bollinger )于1980 年代所提出的指标,并在2001 年出版的书中《Bollinger on Bollinger Bands》收录完整教学。
其实布林通道的概念非常简单,它结合了统计学中「标准差」的概念,在分时走势图中绘制出上轨、中轨、下轨。
「布林通道」由三条线组成,中轨线是均线MA,上下轨则是根据中轨线偏移的标准差所绘制出来的,位于价格线上下端的带状通道。
- 上轨= 中轨+ K × N时间段的标准差。
- 中轨= 过去N段时间的简单移动平均线(EMA),时间通常设定20天。
- 下轨= 中轨− K × N时间段的标准差。
按照原本设定,会取时间为20 天(N=20),和抓取两个标准差(K=2)。
你可以发现,其实布林通道的中轨,就是20 日均线(月均线),因此在初始设定上,布林通道适合用于分析大约一个月左右的交易时长。
因此总结布林通道的设定如下:
- 布林通道上限:20 日均线+ 两个标准差
- 布林通道中间:20 日均线
- 布林通道下限:20 日均线– 两个标准差
如何判读布林通道?统计学的常态分布与标准差
布林通道是结合常态分布的概念去作价格上的预判,因此我们先来小小复习一下高中的统计学概念。
什么是标准差?
在统计学上,标准差是表示数值相对于平均值的离散程度的测量概念,在一组数值中,有同样的平均值,标准差也不一定相同。
当标准差越大,就代表这组数值的分散程度越大。
以下列两个数列为例:
- 50、50、50
- 0、50、100
虽然两个数列的平均值都是50 ,但下方数列很明显彼此的离散程度较大,因此标准差也会越大。
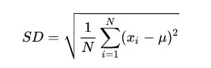
以下为标准差SD 的公式(Standard Deviation),U为平均值,X为数值,N 为取样母体。
若套入到布林通道的数值,μ就是20 日均线、χ 是过去20 天每天的收盘价、N 就是20 天,一般的网站都会内建布林通道的公式,将这些数字设定好,就会自动帮你计算出标准差。
标准差的公式不需深刻理解,只要知道标准差是一种测量不确定性的公式即可,应用于投资上,也可以作为度量投资回报的工具。
什么是常态分布?
常态分布是一种将连续变数的观察值画出的曲线,又称高斯分布,自然界中观察的各种现象经常以常态分布呈现,例如身高、体重、成绩……等等。
常态分布会以平均数μ为中心,成左右对称的钟形曲线,在以标准差(standard deviation)为单位的图形中,会有以下特性:
- 68.3%的数值,落在平均数± 1个标准差间
- 95.4%的数值,落在平均数± 2个标准差间
- 99.7%的数值,落在平均数± 3个标准差间
如果把20 日均线当作平均值μ,可以得到以下结果
- 有68.26% 的机率,价格会在1 个标准差的范围内出现。
- 有95.44% 的机率,价格会在2 个标准差的范围内出现。
- 有99.72% 的机率,价格会在3 个标准差的范围内出现。
换句话说,在布林通道的假设中(取两个标准差),根据过去20 天的价格,新的价格有95.44% 的机率会出现在上轨到下轨的范围内,超出轨道的机率只有4.56%。
因此,价格有很高的机率落在布林通到之中,套用形态学的概念,就可以把下轨当作支撑位,上轨当作压力位。
判读布林通道的三个做多与三个做空讯号
布林通道的六个操作法则相当简单,如果对均线理论熟悉的话,其实原理差不多。
以下会用比特币BTC 的走势举例说明。
做多讯号
- 价格由下向上穿越下轨线时,是买进讯号
- 价格由下向上穿越中间线时,代表股价可能加速向上,是加码买进讯号
- 价格在中间线与上轨线之间波动时,为多头市场
做空讯号
基本上就是做多讯号的相反图形:
- 价格由上向下穿过上轨线时,是卖出讯号
- 价格长时间在中间线与上轨线间后,由上往下跌破中间线,为卖出讯号
- 价格在中间线与下轨线之间向下波动时,为空头市场
你可以发现以上六个法则其实就是黄金交叉与死亡交叉的应用,其实上下轨你也可以当作是一个均线来看待(中轨的偏离值),这样想就单纯许多了。
我们之前也提过黄金交叉和死亡交叉的概念:
- 币安技术分析教学:用KD 随机指标判断价格强弱寻找买卖点
- 币安技术分析教学:均线进阶应用,从MACD 判断中长期趋势
布林带宽与布林极限指标
布林带宽指标值 :判断价格离散程度
BBW = (上轨值− 下轨值) ÷ 中轨值
「布林上轨值− 布林下轨值」其实就相当于四个标准差(因为上轨道是+2 个标准差,下轨道则是-2 个标准差),而「中轨值」就是20日均线平均值。
布林带宽正如其名,就是代表布林通道上下轨开口的幅度,可以用来表示上下轨相较于平均价格的偏离程度。
当代宽值越大,代表上下轨的幅度越大,最近价格较分散(标准差大);当代宽值越小,代表上下轨的幅度越小,最近价格较集中(标准差小)。
其实布林带宽指标就是用一个数值量化出布林通道的开口大小。根据过往经验,可以大致用以下几个准则判断:
- 紧缩型态,BBW 接近0:当布林通道处于狭窄状态一阵子,布林带宽值会一直处在低点,代表近期都在盘整。
- 开口型态,BBW 接近1:当布林通道开口由窄变宽,布林带宽值会逐渐攀升,代表最近有一波新趋势。
布林极限指标%B:判断价格强弱程度
%B值 = (收盘价− 下轨值) ÷ (上轨值− 下轨值)
从公式可以看出,%B 可以量化目前收盘价处于布林通道的相对位置,
- 当数值> 1:代表价格处于布林通道范围之上,有拉回的机会
- 当数值介于0~1:代表价格在布林通道范围内
- 当数值< 0:代表价格处于布林通道范围之下,有反弹的机会
我们可以藉由观察%B ,判断价格近期的强弱,以此做出交易的决策,
使用方法跟RSI 有点像,只不过%B 会有超过100% 和低于0% 的情况出现,RSI 则一定位于0~100% 之间。
- 币安技术分析教学:用RSI指标判断加密货币买卖力道强弱
在币安的Trading View 上使用布林极限指标
进入币安交易所后,选择一个交易对,进入Trading View 介面,以下将用 BTC / USDT 交易对做为示范。
首先,按照下图步骤把布林相关指标叫出来:
接着系统就会在下方跳出两个指标「布林带宽BBW」、「布林极限指标%B」,然后在走势图上也会显示出布林通道,
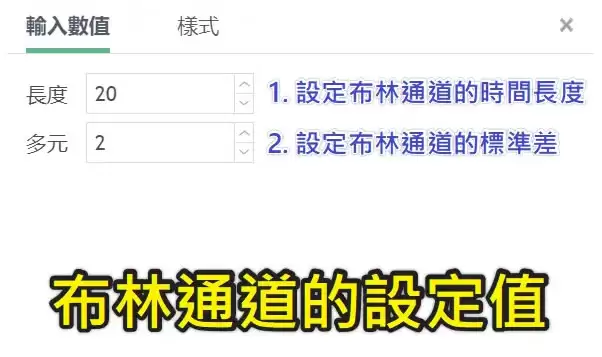
按下齿轮图示的话,可以调整参数,三者的设定都是调整交易时长跟标准差。
以布林通道做示范,如上文所述,初始设定是N = 20日,K = 2 个标准差,但你可以自由更改。
回到主页后,你就能看到设定好的三个指标,并以此作为分析基准。
总结
- 布林通道是均线的衍生,结合常态分布与标准差的概念去作价格预判
- 布林通道的上轨是压力线,下轨是支撑线
- 布林通道的判断法则跟均线类似,都是以价格上下突破为原则做讯号
- 布林带宽可以分析价格离散程度;布林极限指标%B 则可以分析价格强弱程度
布林通道作为现代技术分析必学指标之一,常和MACD、RSI 等指标并用,对于分析加密货币走势也很有帮助。
如果还不是很懂布林的理论,建议可以先回去复习均线,再回来看布林通道,会有比较清楚的认识。
相关攻略
布林通道由三条线组成,中轨线是均线MA,上下轨则是根据中轨线偏移的标准差所绘制出来的,位于价格线上下端的带状通道,用布林通道判断价格的支撑位与压力位,分时走势图可以揭露三个做多与三个做空讯号,下面就带大家详解布林通道指标教学
布林通道是一种技术分析工具,由约翰·布林格在1980年代提出,用于判断价格走势。布林通道由三条线组成:中轨是20日均线,上下轨根据中轨和标准差计算。布林通道可以帮助投资者识别做多和做空的讯号,并通过布林带宽和布林极限指标评估价格的离散程度和强弱。
热门专题
热门推荐
市场情绪显著升温,创业板指盘中涨超2%,报4013点,创2015年6月以来新高。深证成指与上证指数分别上涨1 28%和0 42%,整体表现强劲,超3200只个股上涨。
鸿蒙智行智界FUV高清谍照曝光,定位跨界轿跑,设计运动化。新车采用溜背造型与半隐藏门把手以优化风阻,车尾配备大尺寸尾翼。车顶疑似搭载激光雷达,将具备高阶智能驾驶能力。据悉,该车计划在纽博格林北环赛道进行性能测试,对标海外豪华超跑。
市场情绪回暖,深证成份指数盘中涨幅超1%。部分成份股表现活跃,润泽科技涨超14%,网宿科技、晶盛机电等涨幅均超11%,带动指数走强。市场资金对相关板块关注度提升,反映出结构性机会,后续需观察量能与板块轮动持续性。
岚图知音在京沪线1300公里实测中全程未充电,续航达成率超95%,公开智驾过程在复杂路况下未出现误判或制动异常,展现了高性能传感器与智能系统的协同能力。此次实测以真实场景验证技术可靠性,凸显系统优化对缓解续航与智驾焦虑的关键作用。
面对AI浪潮,职场人需转变思维,从执行转向整合与决策。核心竞争力在于定义问题、整合资源及情感连接。未来属于能融合专业深度、AI素养与人类软技能的“混合型”人才,主动构建AI工作流并发挥人类在创新与价值判断上的优势是关键。

















