比特币期权定价方式解析与盈利技巧
比特币是迄今为止最大的加密货币,是在传统金融基础设施之外运作,其关键概念就是去中心化。而随着比特币市场的扩大,比特币期权衍生出被投资者喜爱。比特币期权是一种以加密货币为基础的金融合约,赋予持有者在未来特定时间内以约定价格买入或卖出一定数量的比特币的权利,而不是义务。简单了解相关定义之后,投资者可能更好奇比特币期权定价方式有哪些?就资料分析来看,定价方式主要就是蒙特卡洛模拟、隐含波动率法等,下面小编为大家详细说说。
免费的交易所推荐:
比特币期权定价方式有哪些?
比特币期权定价方式可以选择传统金融模型如布莱克-舒尔斯或二叉树模型,也可以根据比特币市场的特殊性调整方法如蒙特卡洛模拟、隐含波动率法等。比特币期权的定价方式与传统金融中的期权定价方法类似,但由于比特币的高波动性和市场特点,可能会有所调整。以下是主要的比特币期权定价方法介绍:
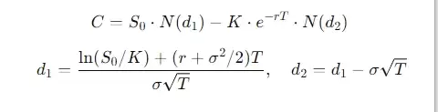
1、布莱克-舒尔斯模型:一种经典的期权定价方法,用数学模型计算欧洲期权的理论价格。
公式:
适用于欧洲期权,计算相对简单。但假设波动率恒定、市场流动性高,而比特币市场波动率较高且可能变化,这导致结果可能不准确。
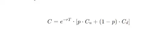
2、二叉树模型:将资产价格变化视为每个时间间隔内的上涨或下跌,通过迭代计算期权价格。
基本步骤:将到期时间分成若干小时间段。假设比特币价格每段时间可能向上(涨幅为u)或向下(跌幅为d)。使用风险中性概率p计算期权的期望价值。
公式:
更灵活,可适应不同波动率和美式期权。计算复杂度较高。
3、蒙特卡洛模拟:通过模拟比特币价格在到期时间内的多个可能路径,计算期权的平均价值。
基本步骤:基于比特币当前价格、波动率和利率,生成多个价格路径。对每条路径计算到期时的期权收益。将所有路径的收益折现求平均,得到期权价格。
公式:
适用于复杂的衍生品定价,能处理非标准条件。需要大量计算,对计算资源依赖较大。
4、隐含波动率法:基于市场交易的期权价格,反推出波动率,然后将其代入定价模型(如布莱克-舒尔斯)。当市场已经有交易价格时,隐含波动率可以作为一个合理的参数,调整定价模型。反映市场预期的真实波动性。需要实时市场数据支持。
5、随机波动率模型:假设比特币价格和波动率都随时间变化,采用随机过程模型描述价格行为。
公式:
能更精确反映波动率变化。计算复杂,参数估计困难。
6、市场观察法:直接通过观察市场上的期权交易价格,使用供需关系和市场价差预测期权价格。当市场流动性较高时,交易价格可能比理论模型更可靠。快速且真实。市场情绪和操纵可能导致偏差。
比特币期权怎么盈利?
比特币期权盈利的主要策略包括买入期权、卖出期权、利用市场波动、套期保值和期权组合策略。比特币期权是一种基于比特币的金融衍生品,允许投资者在未来以约定价格买入或卖出比特币。下文是策略的具体介绍:
1、买入期权:看涨期权:当你预期比特币价格会上涨时,可以购买看涨期权。如果到期时比特币价格高于执行价格,你可以以较低的执行价格购买比特币,并以市场价格卖出,从而实现盈利。
看跌期权:当你预期比特币价格会下跌时,可以购买看跌期权。如果到期时比特币价格低于执行价格,你可以以市场价格卖出比特币,并以较高的执行价格买回,从而实现盈利。
2、卖出期权:卖出看涨期权:你可以选择卖出看涨期权,收取期权费。如果比特币价格在期权到期时低于执行价格,期权将失效,你保留所收取的期权费作为利润。但需注意,这种策略存在无限亏损的风险。
卖出看跌期权:卖出看跌期权,收取期权费。如果比特币价格高于执行价格,期权将失效,期权费成为你的利润。如果价格低于执行价格,你可能需要以执行价格购买比特币。
3、利用市场波动:比特币的价格波动性较大,投资者可以利用这一点进行期权交易。如果预计市场波动性将增加,可以购买期权,波动性增加时,期权的价格通常会上涨,投资者可以在期权价格上涨时卖出获利。
4、套期保值:如果你已经持有比特币,可以通过购买看跌期权来保护你的投资。当比特币价格下跌时,看跌期权的价值会上升,从而抵消部分损失。
5、期权组合策略:牛市价差:同时买入一个看涨期权并卖出另一个行权价更高的看涨期权,以限制风险并降低成本。
熊市价差:同时买入一个看跌期权并卖出另一个行权价更低的看跌期权,以限制风险并降低成本。
铁鹰策略:结合看涨和看跌期权,构建一个收益区间,适合在预期价格波动不大的情况下盈利。
相关攻略
比特币回踩关键支撑区,这轮调整的“黄金坑”出现了吗? 近期,全球知名投资机构富达的全球宏观经济总监 Jurrien Timmer 在社交媒体分享的一张技术图表,引发了市场的广泛关注。图表清晰揭示,比特币价格正在 6 5 万至 7 万美元的核心区间内持续震荡。在经历了一场从 12 6 万美元高位回落至
凯茜·伍德:比特币(BTC)暴跌接近尾声,同时提出新的3 4万美元目标 ARK Invest的掌门人凯茜·伍德又发声了。4月1日,她在接受CNBC采访时给出了一个让币圈稍感宽慰的判断:那个动辄从历史高点暴跌85%甚至更多的比特币,可能已经成为“过去式”了。 这位长期力挺加密货币的投资界明星明确表示,
比特币与宏观经济共振:减半叙事终结,美股周期开启 加密货币市场的底层叙事逻辑,正在发生一场静默但深刻的革命。过去十年主导市场的“比特币减半周期”理论,其影响力正在显著褪色。一种新的共识逐渐浮出水面:以比特币为代表的数字资产,其价格脉搏正日益与美股市场及全球宏观经济周期同频共振。这不仅是简单的关联性增
2025年机构加密投资狂飙:退休金入市,比特币ETF引爆万亿新纪元 如果说过去几年是机构资金的试探期,那么2025年无疑标志着全球资本大举涌入加密市场的元年正式开启。以比特币现货ETF获批为起点,一场由合规金融产品和颠覆性政策共同驱动的结构性变革,正以前所未有的深度重塑加密资产格局。一个信号至关重要
关键要点 2025年的比特币挖矿竞赛,格局已然清晰。行业领头羊MARA Holdings凭借超过57 EH s的算力与5万枚比特币的庞大储备稳坐头把交椅;而绿色能源的采用,则成为Riot Platforms和Iris Energy这样的公司定义自身优势的关键标签。与此同时,一个显著的趋势正在蔓延:领
热门专题
热门推荐
V社联合创始人G胖调整角色:从主导开发转向赋能团队,释放创意生产力 近期一则消息引发游戏行业广泛关注:Valve联合创始人加布·纽维尔(“G胖”)在公司内部进行了一次重要角色转型。此次调整的关键原因,与他个人在公司中的特殊影响力息息相关。根据透露,这位创始人决定减少在具体游戏开发工作中的直接深度参与
红魔姜超透露:全新游戏平板将于四月或五月发布,承诺带来惊艳体验 游戏硬件领域即将迎来重磅更新。努比亚红魔游戏手机的产品线负责人姜超,近日通过社交媒体进行了一次颇具悬念的“前瞻剧透”,成功引发了广大游戏玩家和科技爱好者的高度关注。他明确指出,红魔全新一代游戏平板的发布日期已锁定在四月或五月,并使用了“
金铲铲之战S17天煞羁绊:效果解析与实战应用 在《金铲铲之战》S17赛季中,【天煞】是一个定位独特的专属羁绊,仅由5费英雄“劫”所携带。激活这一羁绊需要特定的前置条件——玩家必须在强化符文选择阶段获得【入侵者劫】。一旦成功解锁,劫将获得全新的技能机制,从而在战局中发挥出颠覆性的作用。 金铲铲之战S1
索尼调整第一方工作室阵容,王牌重制团队蓝点工作室正式“退出”核心名单 近日,索尼在其PlayStation Studios官方网站的更新中做出了一项关键调整,引发了游戏玩家和行业观察者的广泛关注:曾凭借《恶魔之魂:重制版》等作品赢得盛誉的蓝点工作室,已不再出现在索尼核心第一方工作室的名单之中。此次页
未来人类X98W移动工作站正式发布:重新定义移动端专业性能的新标杆 在专业移动计算领域,总有一些产品能够打破常规认知。近日,未来人类(TerransForce)正式在其官网上线了全新的X98W高性能移动工作站,并宣布将于本月内全面发售。这款设备的问世,无疑为那些在移动办公环境中仍需要桌面级别强悍性能










