FIL币2025年能突破50美元吗?
Fil代币在2025年能突破50美金一枚吗?
适合国内用的虚拟币交易所
随着区块链技术的快速发展,去中心化存储逐渐成为全球数据管理的新趋势。Filecoin(FIL)作为这一领域的先行者,凭借其独特的经济模型和强大的社区支持,迅速吸引了大量投资者和用户的关注。本文将深入解析Filecoin的核心功能、主要机构持有者、灰度基金的购买记录,并探讨FIL的未来价格预测及其利好信息。
一、Filecoin概述
Filecoin 是什么?
Filecoin是一个基于区块链的去中心化存储网络,旨在提供安全、高效且经济的分布式云存储服务。它建立在IPFS(星际文件系统)之上,通过内容寻址的方式更高效地存储和检索文件。Filecoin通过引入经济激励机制,鼓励用户出租闲置的硬盘空间,并确保文件的安全性和可靠性。
FIL代币功能
·支付存储和检索费用:用户支付FIL租用存储空间或检索文件。
·质押与挖矿奖励:矿工质押FIL提供存储服务,获得FIL奖励。
·网络治理:FIL持有者参与网络治理,投票表决协议变更。
FIL代币分配
FIL的总供应量为20亿枚,具体分配如下:
·矿工奖励:70%(14亿枚),用于激励矿工。
·团队和顾问:15%(3亿枚),6年内线性释放。
·投资者:10%(2亿枚),有锁定期。
·基金会:5%(1亿枚),支持生态系统发展。
截至2025年1月6日,FIL的流通量约为5.74亿枚,占总供应量的28.7%。
二、主要机构持有者
以下是FIL的主要机构持有者及其大致持有量:
·灰度基金(Grayscale):持有量超过174.85万枚FIL,持续增持。
·Coinbase Custody:持有量数百万枚FIL,具体数量未公开。
·Polychain Capital:持有量数十万枚FIL,作为早期投资者持续支持项目。
·Protocol Labs(Filecoin基金会):持有量约3亿枚FIL,负责项目的开发和生态系统的长期发展。
·其他机构:如A16z、Electric Capital等知名基金也持有FIL。
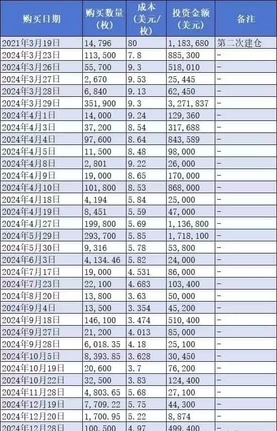
三、灰度基金FIL购买记录
总结:
·总购买次数:66次
·当前持有量:超过174.85万枚FIL
·总成本:约22,127,843美元
·平均成本:约11.88美元/枚
四、2025年FIL价格预测
根据现有市场状况和技术发展,对FIL价格的预测范围如下:
·保守预测:2025年FIL的价格可能在12.94到45.81美元之间波动。
·乐观预测:一些更为激进的预测认为,FIL有可能在2025年达到74.22美元甚至更高。
·长期潜力:如果Filecoin能够在去中心化存储领域取得显著进展,并且市场需求大幅增长,FIL的价格可能会突破100美元大关。
五、利好信息
·去中心化存储的需求增长:全球数据量的快速增长使得传统的集中式云存储面临成本高昂、隐私问题,而去中心化存储提供了更安全、透明且成本更低的替代方案。
·Web3.0生态系统的崛起:Filecoin是Web3.0的重要基础设施,为去中心化应用(DApps)、NFT、元宇宙等领域提供了可靠的存储服务。
·与科技巨头的合作:Filecoin已经与IBM、AWS等科技巨头建立了合作关系,提升了其技术实力和市场份额。
·Filecoin Plus计划的成功实施:该计划通过引入信誉机制,确保存储提供商的服务质量,吸引了更多高质量的存储提供商加入。
·时空证明(PoSt)机制的优势:Filecoin的挖矿机制更加注重实际存储服务的提供,而非单纯的算力竞争,确保了网络的安全性和可靠性。
·合规化进程的推进:Filecoin团队正在积极应对监管挑战,推动项目的合规化进程,增强了市场的信心。
六、结论
Filecoin(FIL)作为去中心化存储领域的领先项目,凭借其独特的技术和经济模型,已经在全球范围内获得了广泛关注。主要机构持有者的积极参与不仅为FIL注入了新的流动性,也增强了市场的信心。随着生态系统的不断扩展和技术进步,FIL的未来发展前景值得期待。
七、写在最后
Fil代币可谓是众多币圈大咖的“梦中情人”,作为存储龙头代币,在2021年Q1山寨季时曾一度上涨至238美金,如今已经横盘长达4年之久;对其爱有多深,对其期望就有多大。
今日受利好消息刺激,Fil曾一度上涨突破6美金;如果能突破20美金压力位,意味着其上涨空间将彻底被打开。
热门专题
热门推荐
三星电子计划在2030年前开发基于 forksheet 结构的 1nm SF1 0 工艺 近日,半导体制造领域传出重要技术进展。据《韩国经济日报》3月31日援引行业内部人士消息,三星电子晶圆代工厂已经制定了一项直至2030年的详细技术路线图。该计划的核心目标是,在2030年之前完成1纳米(1nm)级
4月1日消息,OPPO于今日在线上正式发布了新一代机型K15 Pro。该系列手机最受瞩目的核心卖点在于全系搭载了性能强劲的疾风散热引擎,通过主动散热技术大幅提升了手机在高负载状态下的性能表现。为了从
4月1日消息,为了有效应对全球存储市场的短缺危机,韩国两大芯片巨头三星电子与SK海力士不约而同地选择了加大对中国工厂的投入。据韩国媒体最新披露,这两大巨头已确定在2025年继续扩大在华投资规模。这一
4月1日消息,4月1日,界面新闻独家获悉,原特斯拉中国区总经理孔艳双已入职小米,将接替原小米汽车总监李晓锐负责汽车销售方面工作。孔艳双于3月初入职,处于工作交接期,目前小米内部并未正式发文通告其正式
笔记本电脑电池不耐用?酷睿 Ultra 三代轻薄本彻底解决续航难题 移动办公时,笔记本电脑续航时间短是许多用户的核心痛点。如今,搭载新一代处理器的轻薄本带来了突破性解决方案:华硕无畏 Pro16 2026 酷睿版。这款产品内置英特尔酷睿 Ultra7 356H 处理器,并配备高达 80Wh 的大容量










