GPT-5 Pro实现数学研究突破:独立解读论文并优化边界,OpenAI总裁称其展现“生命迹象”
AI 已经能够自主思考并证明新的数学规律了?OpenAI 研究人员表示,自己喂给 GPT-5 Pro 一篇论文,结果模型读完之后得到了新的结论。
免费影视、动漫、音乐、游戏、小说资源长期稳定更新! 👉 点此立即查看 👈
在凸优化问题当中,GPT-5 Pro 针对一个边界问题,给出了比原文更加精确的阈值和相应证明。消息立即引发全网热议,不到半天推文就有 230 多万次阅读。

不过这位研究人员并没有将 GPT-5 Pro 的研究成果发表成论文,理由是被人类抢先了 —— 这篇论文后来又更新了一个版本,给出了新的边界,这个新的边界又把 GPT-5 Pro 反超了。
但是,GPT-5 Pro 的证明思路与此并不相同,说明它已经具备了独立探索的能力,所以人类的反攻也不影响这是 GPT-5 Pro 的一个新突破。OpenAI 总裁 Brockman 甚至将这一成果称之为“生命迹象”。

凸优化曲线是凸的吗?
喂给 GPT-5 Pro 的这篇论文,研究的是凸优化(convex optimization)问题,凸优化是数学最优化的一个子领域,研究定义于凸集中的凸函数最小化的问题。
具体来说,这篇论文题目为《凸优化曲线是凸的吗?》,研究了这样的一个问题:
当使用梯度下降算法优化光滑凸函数时,其产生的优化曲线(optimization curve)是否是凸的?
这里的“优化曲线”指的是函数值 f (x_n) 随迭代次数 n 变化的曲线。如果这条曲线是凸的,意味着优化速率(即相邻两次迭代的函数值下降量)是单调递减的。

关于这个问题,论文的结论是优化曲线凸不凸,关键取决于步长(step size)的选择,具体包括如下几个关键点:
凸性保证区间:当步长 η ∈ (0, 1 / L] 时(L 为平滑度),优化曲线保证是凸的;
非凸可能区间:当步长 η ∈ (1.75 / L, 2 / L) 时,即使梯度下降仍单调收敛,优化曲线可能不是凸的;
梯度范数性质:对于整个收敛区间 η ∈ (0, 2 / L],梯度范数序列 ||∇f (x_n)|| 总是单调递减的;
二阶可导凸函数的梯度流凸性:对于凸且二阶连续可导的函数,梯度流的优化曲线总是凸的;
光滑凸函数的梯度流凸性:对于凸 L-光滑函数(不要求二阶可导),梯度流的优化曲线总是凸的;
梯度流的梯度范数单调性:对于连续时间的梯度流,优化曲线总是凸的;
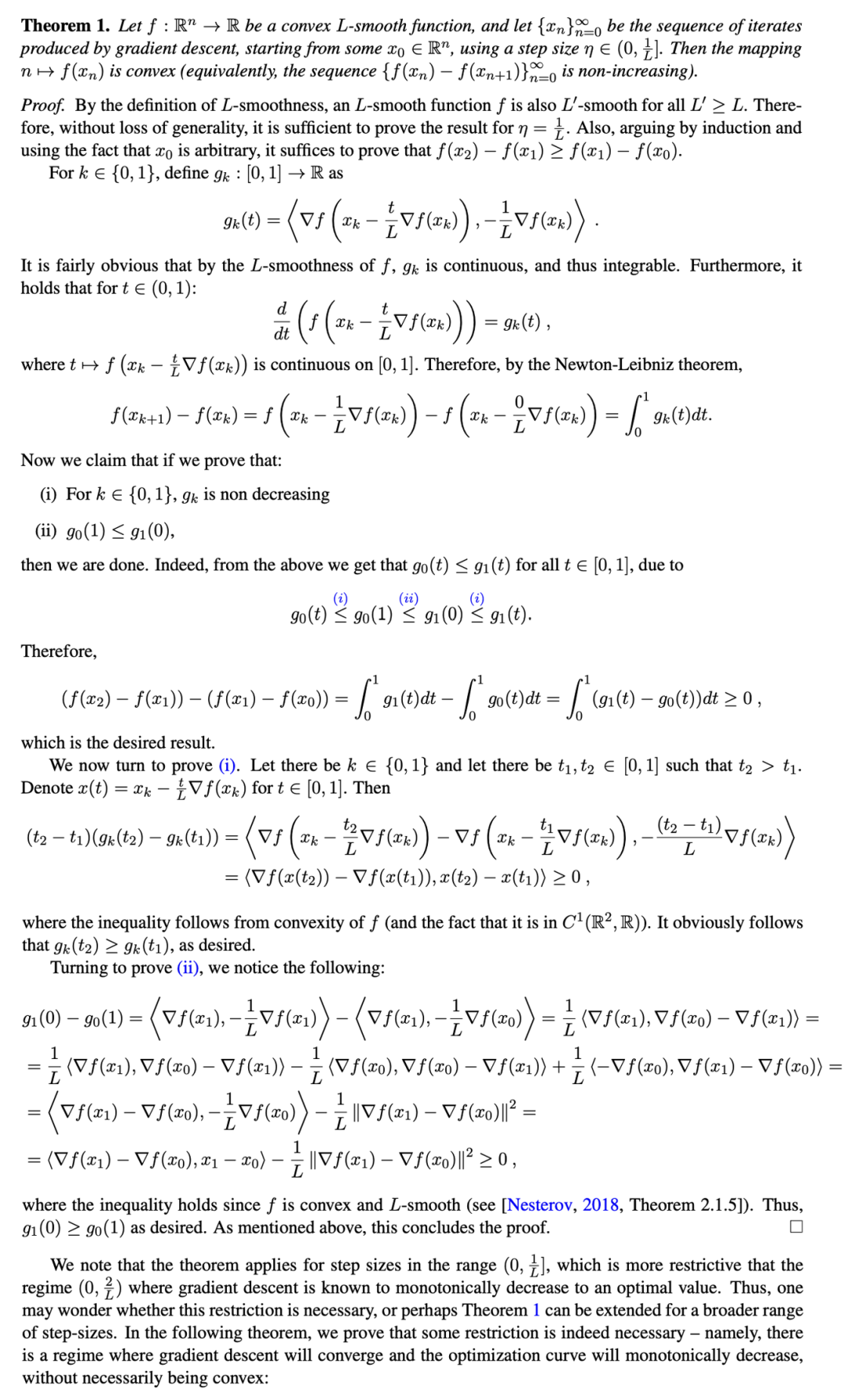
关于第一个结论,证明的核心是证明序列 {f (x_n) - f [(x_(n+1)]} 非递增。
论文作者巧妙地引入辅助函数 g_k (t),将离散的迭代过程转化为连续函数的积分,利用凸函数的性质证明辅助函数的单调性,通过比较相邻两个辅助函数的大小关系,最终证明优化曲线的凸性。

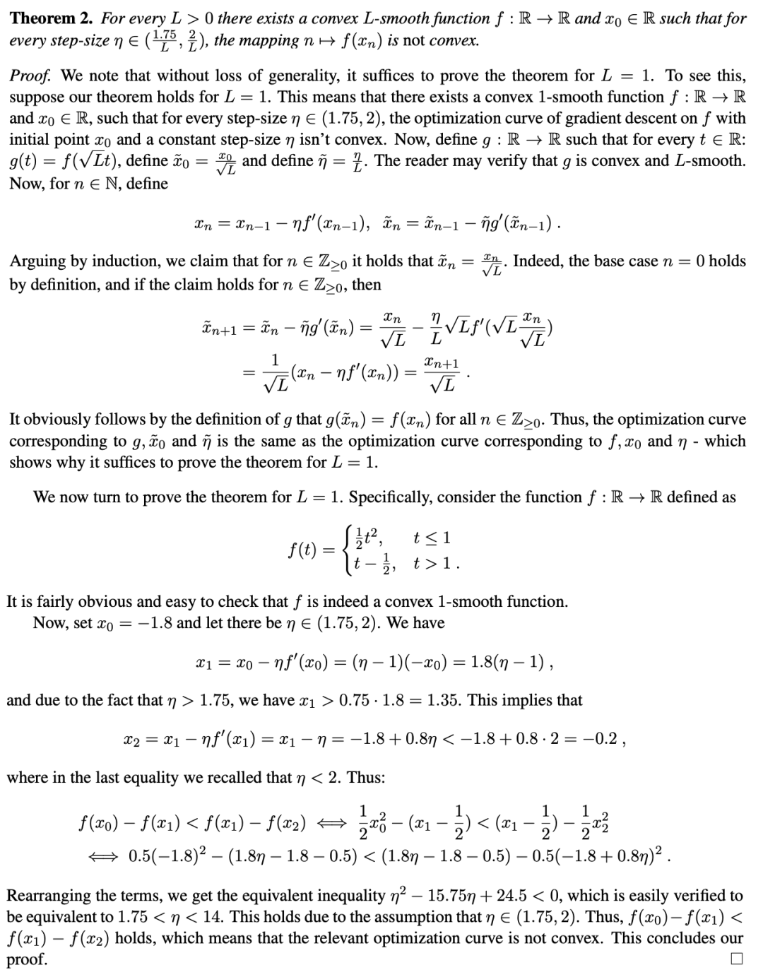
非凸可能区间部分则是构造一个分段函数(二次函数和线性函数的组合)作为反例实现证明。
作者选择特定的初始点 x_0 = -1.8,通过直接计算前三步迭代的函数值下降量,验证在该步长范围内,后面的下降量反而比前面大,违反了凸性要求。

由于 GPT-5 Pro 的证明主要针对的是边界问题,后面四个结论的证明过程在这里就不详细介绍了,感兴趣的话可以阅读原论文。
GPT-5 Pro 给出新边界
在论文的第一版中,作者分别证明了步长不大于 1 / L 和大于 1.75 / L 时的情况,但在 (1 / L, 1.75 / L] 范围内则未有定论。
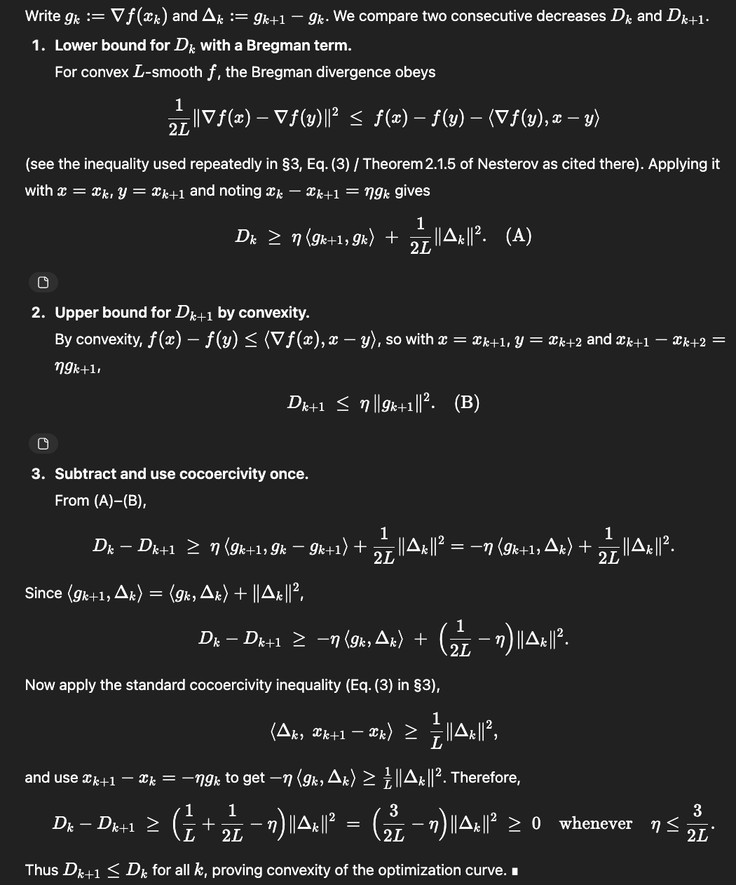
GPT-5 Pro 则是通过更精细的不等式技巧,用 17 分半的时间把 1 / L 这个边界移动到了 1.5 / L。
而人类检查证明过程的时间,是 25 分钟,GPT-5 Pro 读论文并进行证明的时间还要长。

其核心思路与原论文相似,均是将优化曲线凸性问题转化为证明函数值下降量递减。
但 GPT-5 Pro 巧妙运用了凸 L-光滑函数的两个基本不等式 ——Bregman 散度不等式(提供更紧的下界)和标准的共强制性(cocoercivity)不等式。
通过这种巧妙的代数操作,GPT-5 Pro 成功将凸性条件进一步细化。

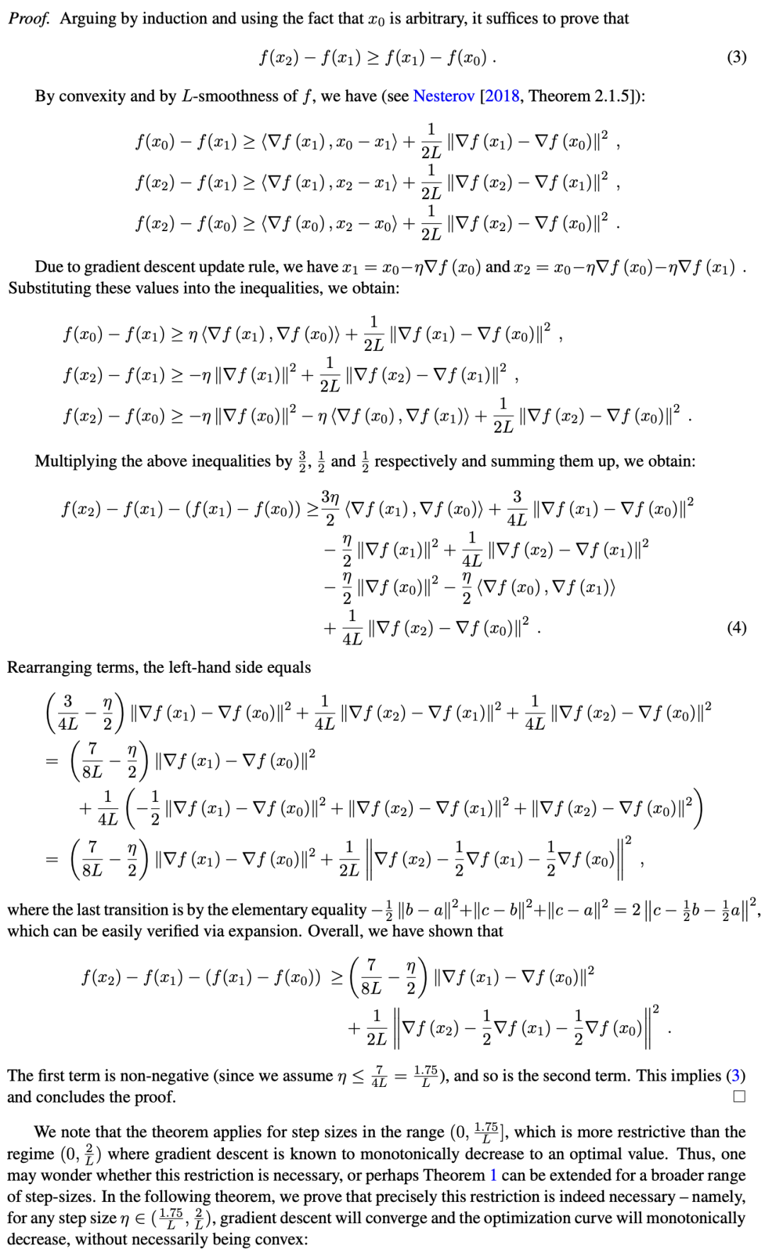
再之后,GPT-5 Pro 的发现还未来得及发表,论文原作者就对论文进行了更新,作者新增了一名,关键是证明了 1.75 / L 就是一个精确界限,之前未探索的区间实现了闭合。
其思路是利用凸 L-光滑函数的 Bregman 散度不等式,对三个点对 (x_0,x_1)、(x_1,x_2) 和 (x_0,x_2) 分别建立不等式,之后将三个不等式分别乘以不同权重后求和,并通过恒等式将复杂的梯度项组合化简。

虽然 GPT-5 Pro 给出的证明最后被人类扳回一城,但是,其思路和过程与新版论文不同。
也就是说,GPT-5 Pro 并不是发现了新论文才实现边界的精确化,而是确实具备了自主发现并证明数学规律的能力。
参考链接:
[1]https://x.com/SebastienBubeck/status/1958198661139009862
[2]https://arxiv.org/abs/2503.10138v1
[3]https://arxiv.org/abs/2503.10138v2
本文来自微信公众号:量子位(ID:QbitAI),作者:克雷西
相关攻略
1 月 18 日消息,Eclipse 创始人 Neel Somani 今日在 X 上发文称,他使用 GPT-5 2 Pro 破解了另一个著名的 Erdős(埃尔德什)难题。数学家陶哲轩表示,GPT
12 月 30 日消息,科技媒体 bleepingcomputer 昨日(12 月 29 日)发布博文,报道称微软面向网页版、Windows 11 版和移动端 Copilot 用户开始全量推送 G
12 月 20 日消息,12 月 11 日,OpenAI 发布了 ChatGPT-5 2,并照例将这次更新描述为一次“通用智能的重大提升”,称其是目前最适合现实世界专业使用的模型,甚至表示这是首个
GPT-5 首次通过「哥德尔测试」,连破三大组合优化猜想!甚至,它能自主推翻原有猜想,给出全新有效解法,当场惊呆 OpenAI 研究科学家。AI 迎来历史性一刻!GPT-5 成功破解三大猜想,通过了
12月8日消息,本轮AI的爆发起点就是23年OpenAI发布的ChatGPT,自从他们也成为AI技术的风向标,GPT迭代都是其他公司模仿的标杆。然而最近几个月来,OpenAI已经没那么神了,引领这一
热门专题
热门推荐
PAAL代币揭秘:深度解析Web3社区治理的核心钥匙 在去中心化自治组织的浪潮中,谁真正掌握了项目的话语权?PAAL代币提供了一套系统化的答案。它不仅是生态内流转的价值媒介,更是开启链上治理大门的核心凭证。通过持有并质押PAAL代币,用户能够对协议升级、资金分配乃至战略方向等关键事务投出决定性的一票
CTSI代币深度解析:Cartesi网络的灵魂与价值引擎 在飞速演进的Web3世界中,区块链的可扩展性始终是制约其大规模应用的核心瓶颈。Cartesi网络以其独特的“链下计算”方案脱颖而出,而驱动这一精密生态运转的核心燃料,正是CTSI代币。它不仅仅是一种支付媒介,更是集成了支付结算、网络安全、去中
SUI区块链技术深度解析:如何重塑高性能公链格局 当谈到下一代高性能区块链时,SUI区块链凭借其革命性的技术架构,已成为行业无法绕开的焦点。其核心竞争力并非源于单一优化,而是由Move编程语言、以对象为核心的数据模型以及并行执行引擎三者深度协同构成的完整技术体系。更引人注目的是其共识层的创新——Na
Mintlayer与Solidity:两套智能合约体系的核心差异与未来展望 在Web3蓬勃发展的今天,智能合约的重要性已经毋庸置疑。当我们提起这一概念,以太坊的Solidity语言和EVM虚拟机几乎是绕不开的首选。然而,随着比特币生态的复兴,一种基于UTXO模型的创新方案——Mintlayer,正凭
比特币周线RSI跌至27 8:重演2022年熊市见底信号? 近期,比特币市场正弥漫着一种历史性的熟悉感。技术分析领域的焦点指标——周线相对强弱指数(RSI)——已下探至27 8的关键位置。这一数值正无限逼近2022年6月熊市期间确认市场超卖的阈值。市场分析师普遍认为,这种技术指标的趋同性,可能是一个





