cos30度解密:1995高考题四大解法
让我们一起重温1995年高考数学中的一道经典三角求值题。这道看似简单的题目,如今却让不少高中生犯了难。本文将为大家详细解析四种不同的解题思路。
免费的交易所推荐:
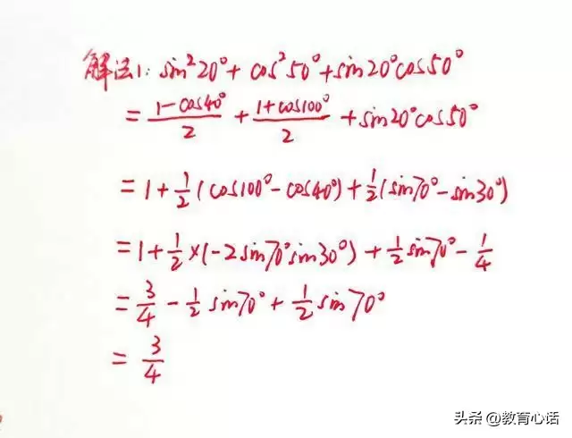
解法一:巧妙运用降幂公式
注意到题目中存在二次项形式,首先考虑使用降幂公式进行转化。实际上,降幂公式可以直接从二倍角公式推导出来。
解法二:配方法的应用
观察题目结构,很多同学会联想到完全平方式的形式。我们可以尝试先进行配方操作:
解法三:妙设辅助变量
这里介绍一个更具技巧性的方法:通过设置两个辅助变量m和n来简化问题:
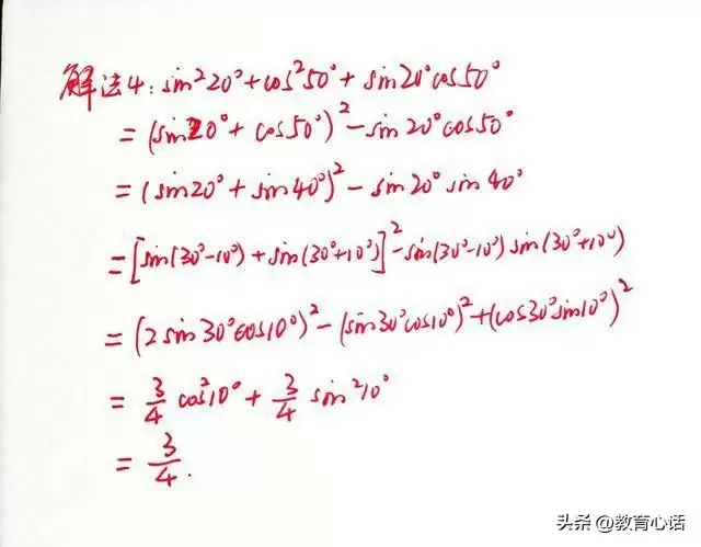
解法四:角度变换技巧
考虑到新课标已删去积化和差公式,这个解法更适合现在的学生:
这三种解法各有特点,但核心都在于巧妙地处理角度关系。本题充分展示了三角函数变换的精妙之处。
无论采用哪种方法,关键在于准确把握三角函数的性质及其相互关系。这些经典的解题思路,至今仍值得我们细细品味。
相关攻略
在币安现货市场高效购买以太坊:一份详尽的专业指南 对于众多Web3世界的探索者而言,选择一个安全可靠、功能强大的交易平台是开启数字资产之旅的第一道关口。作为全球领先的加密货币交易所,币安以其顶级的流动性、全面的产品矩阵和用户友好的设计,成为无数投资者买卖以太坊及其他加密资产的首选。本指南将为你深度解
币安模拟交易深度解析:新手的终极无风险练兵场 在瞬息万变、波动剧烈的数字货币市场,新手贸然入场如同在雷区中蒙眼奔跑。而经验丰富的交易者同样也需要一个安全的环境来验证新策略。币安模拟交易,正是为此而生的专业化虚拟交易平台。它不仅是初学者入门的“新手村”,更是所有交易者测试策略、熟悉平台的无风险演习场。
深度解析币安合约持仓模式:从单向策略到双向布局的核心进阶指南 踏入币安合约交易的世界,理解持仓模式是构建交易策略的第一步。系统默认的 「单向持仓」 与进阶的 「双向持仓」,不仅仅是两个功能选项,更代表了从新手入门到高手策略演化的不同维度。本文将带您深入剖析这两种模式的核心差异、适用场景及实战策略,助
币安智慧钱信号深度解析:揭秘顶尖交易者与巨鲸的真实动向 在瞬息万变的加密货币期货市场,个人投资者常感迷茫:市场真正的风向往哪吹?机构和大户们正在如何布局?如今,依靠猜测的时代已经过去。通过币安期货内置的智慧钱信号功能,您可以直接透视高绩效交易者与巨鲸账户的实时持仓与交易倾向,为您的决策提供关键数据支
币安每日词汇WOTD:边玩边学的加密新潮流 在快速演进的Web3世界中,持续学习是跟上节奏的关键。币安推出的“每日词汇”巧妙地将这一过程游戏化,成为了连接全球数百万用户的益智乐趣。本文将深入解析这个游戏的玩法、价值,并结合2025年10月23日的具体案例,为你提供一份全面的参与指南。 币安每日词汇W
热门专题
热门推荐
支付宝蚂蚁庄园2026年4月4日今日最新答案揭晓 今日蚂蚁庄园小课堂的首道题目是:在判断流浪动物是否友善时,以下哪一种信号解读是不正确的? A、狗狗摇尾巴就一定代表友好 B、瞳孔放大通常表示恐惧 正确答案 狗狗摇尾巴就一定代表友好 详细解析 许多人存在一个普遍误区,认为犬类摇尾巴一定是开心和亲近的信
他趣:如何从真诚交友顺利走向婚姻殿堂 他趣并非直接促成婚姻的魔法钥匙,但它确实扮演着至关重要的角色——为众多单身人士搭建了一座从线上认识到线下相恋,最终携手步入婚姻的可靠桥梁。这个平台汇聚了真实且有婚恋意图的用户,让原本可能无缘相遇的两个人,有了相识、相知直至相守的珍贵机会。 第一步:完善个人资料,
洛克王国世界开荒攻略:首日必抓精灵与阵容搭配详解 《洛克王国世界》开服第一天,所有训练师的核心目标非常明确:高效利用初期时间,组建一套既能轻松探索地图,又能平稳应对各类战斗的精灵队伍。选择正确的开荒阵容,能让你的冒险之旅事半功倍;若选择不当,则可能陷入被动,浪费宝贵资源。那么,哪些宠物是玩家公认的“
洛克王国全属性克制关系解析:掌握十八系胜负关键 进入洛克王国,你将探索一个由18种精灵属性构成的丰富对战世界:普通、草、火、水、光、地、冰、龙、电、毒、虫、武、翼、萌、幽、恶、机械与幻系。各属性之间存在着复杂而精准的克制与抵抗规则,这对新手玩家而言可能显得纷繁复杂。本文旨在全面解析洛克王国属性克制表
光系核心英雄乔丝琳养成全攻略:从获取到毕业的深度指南 一、乔丝琳获取途径与资源投入规划 作为光系核心输出英雄,乔丝琳的获取时机非常明确,她将在服务器开区第3天通过专属转盘活动正式登场。玩家需要为其规划清晰的培养路径:起步品质建议至少达到红2,而终极目标则是彩4完全体毕业。 大额投入方案(适合追求极速











