DeFi到比特币:加密资产估值新视角
加密货币已经成为金融科技领域中最具活力和潜力的板块之一。随着越来越多的机构资金涌入,如何合理估值加密货币项目成为了一个关键问题。传统金融资产有成熟的估值体系,比如现金流折现模型(DCF Model)和市盈率估值法(P/E),但这些方法并不完全适用于加密货币项目,因为它们具有不同的特点、经济模型和代币功能。我们需要探索适合各个赛道的估值模型。
2025虚拟币交易平台推荐:
- 欧易(OKX)交易平台(>>>进入官网<<<)(下载OKX的Android安装包)
- 币安(Binance)交易平台(>>>进入官网<<<)(下载币安Android安装包)
公链——梅特卡夫定律
梅特卡夫定律(Metcalfe's Law)认为,网络的价值与其节点数的平方成正比。这条定律在互联网公司的价值预测中已被广泛认可。例如,有研究表明,Facebook和腾讯的价值与其用户数量的增长呈现出梅特卡夫定律的特征。同样,这条定律也适用于区块链公链项目的估值。研究发现,以太坊的市值与其每日活跃用户数量之间存在对数线性关系,具体公式为:
V = 3000 * N^1.43
其中,V 代表网络价值,N 代表有效节点数。根据统计,梅特卡夫定律估值法与以太坊市值走势确实有一定的相关性:
对数形式的走势图:
然而,梅特卡夫定律在应用于新兴公链时存在局限性。由于这些公链在初期用户基数较小,不适合用梅特卡夫定律进行估值,比如早期的 Solana 和 Tron。此外,梅特卡夫定律无法反映质押率对代币价格的影响、EIP1559 机制下 Gas fee burn 的长期影响,以及公链生态可能基于 Security Ratio 对 TVS(Total Value Secured)的博弈等因素。
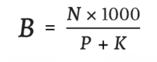
CEX 平台币——盈利回购&销毁模型
中心化交易所平台币类似于股权通证,其价值与交易所的收入(如交易手续费收入、上币费和其他金融业务)、公链生态发展情况和交易所的市场份额密切相关。平台币通常有回购销毁机制,可能还包括公链中的 Gas Fee Burn 机制。平台币的估值需要考虑平台的整体收入情况,通过折现未来现金流来估算其内在价值,同时也要考虑平台币的销毁机制来衡量其稀缺性变化。简化的盈利回购&销毁模型估值法计算方式为:
平台币价值增长率 = K * 交易量增长率 * 供应量销毁率
BNB 是最经典的交易所平台币,自 2017 年诞生以来获得了广泛的投资者好评。BNB 的赋能方式经历了两个阶段:第一阶段是盈利回购(2017 年至 2020 年),币安每个季度用 20% 的利润回购并销毁 BNB;第二阶段是自动销毁和 BEP95 机制(自 2021 年起),不再参考币安利润,而是根据 BNB 的价格和 BNB Chain 季度区块数量计算销毁量。BEP95 机制类似于 Ethereum 的 EIP1559,每个区块 Reward 的 10% 会被销毁。Auto-Burn 机制的计算公式如下:
假设 2024 年 Binance 交易量增长率为 40%,BNB 供应量销毁率为 3.5%,取常数 K 为 10,则:
BNB 价值增长率 = 10 * 40% * 3.5% = 14%
这意味着,假设按照这个数据,2024 年 BNB 的价格应该比 2023 年上涨 14%。
自 2017 年至今,BNB 已经累计销毁了 5952.9 万余个,平均每个季度销毁剩余 BNB 数量的 1.12%。然而,在实际操作中运用该估值法时,需要密切关注交易所的市场份额变化。如果某家交易所的市场份额持续下降,即使其当前盈利表现尚可,未来的盈利预期也可能受到影响,从而降低平台币的估值。此外,监管政策的变化对 CEX 平台币的估值也有很大影响,政策的不确定性可能导致市场对平台币的预期发生改变。
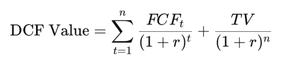
DeFi 项目——代币现金流贴现估值法
DeFi 项目的估值采用代币现金流贴现估值法(Discounted Cash Flow,DCF),其核心逻辑是将代币未来所能产生的现金流进行预测,并按照一定的折现率折现为当前的价值。具体公式如下:
其中,FCFt 是第 t 年的自由现金流(Free Cash Flow),r 为贴现率,n 为预测年限,TV 为终值(Terminal Value)。
以 Raydium(RAY)为例,2024 年其收入为 98.9 百万美元,假设年增长率为 10%,贴现率为 15%,预测年限为 5 年,永续增长率为 3%,FCF 转换率为 90%。未来五年现金流如下:
未来五年贴现 FCF 总和为 390.3 百万美元:
终值贴现为 611.6 百万美元:
因此,RAY 的 DCF 总估值为 611.6 百万美元 + 390.3 百万美元 = 1.002 亿美元。目前,RAY 的市值为 1.16 亿美元,整体相近。但这个估值是基于未来 5 年每年增长率 10% 的假设,实际上在熊市中 Raydium 可能出现负增长,而在牛市中增长率可能超过 10%。
DeFi 协议的估值面临几个挑战:首先,治理代币通常未能捕获协议的营收价值,为了规避 SEC 判定为证券的风险,不能直接分红,尽管有规避方式(如质押奖励、回购销毁等),但 DeFi 协议将盈利反馈到代币的动力不足。其次,未来现金流预测非常困难,因为市场牛熊转换迅速,DeFi 协议的现金流波动大,竞争对手和用户行为多变。再者,折现率的确定复杂,需要综合考虑市场风险、项目风险等多种因素,不同折现率的选择会对估值结果产生巨大影响。最后,有些 DeFi 项目采用盈利回购销毁机制,这类机制的实施会影响代币的流通量和价值,因此这类 DeFi 代币可能不适合使用现金流贴现估值法。
比特币——多元估值法的综合考量
挖矿成本估值法表明,比特币价格低于主流矿机挖矿成本的时间占比仅为 10% 左右,这充分说明了挖矿成本在比特币价格支撑方面的重要作用。因此,比特币挖矿成本可以视为比特币价格的底限。比特币的价格只有少数时间低于主流矿机挖矿成本,从过去的情况来看,这些时候都是极好的投资机会。
比特币常被视为“数字黄金”,能够替代部分黄金的“价值储存”功能。目前,比特币市值在黄金市值中所占比例为 7.3%。如果这一比例分别提升至 10%、15%、33%、100%,按照相应换算,比特币单价将分别达到 92,523 美元、138,784 美元、305,325 美元、925,226 美元。这一模型基于两者在价值储存属性上的类比,为比特币估值提供了一个宏观的参照视角。然而,比特币与黄金在物理属性、市场认知、应用场景等方面仍存在诸多差异,黄金历经数千年成为全球公认的避险资产,具有广泛的工业用途和实物支撑;而比特币是基于区块链技术的虚拟资产,其价值更多源于市场共识和技术创新。因此,在运用该模型时,需充分考量这些差异对比特币实际价值的影响。
总结
本文旨在提倡为加密货币项目寻找合适的估值模型,以推动行业内有价值项目的稳健发展,同时吸引更多机构投资者配置加密资产。尤其在市场走熊时,大浪淘沙,我们必须用最严格的标准、最朴素的逻辑,去寻找那些有长期价值的项目。通过合理的估值模型,就像 2000 年时在“泡沫破灭”中抓住 Google 和 Apple 一样,在熊市中挖掘加密货币领域的“Google 和 Apple”。
热门专题
热门推荐
《和平精英》战斗军犬全方位使用指南:从特性解析到实战精通 在《和平精英》中选用战斗军犬作为战术伙伴,首先需要深入理解其核心特性与定位。军犬堪称战场的“生物侦察系统”,其卓越的追踪与索敌能力,能为你精准捕捉敌人的足迹与动向。自跳伞开始,你的战术规划就应将军犬纳入其中——预先评估落点周边的地形与建筑布局
《无限轮回》主线第三章红妆阁全攻略:地图、怪物与关键线索全解析 各位探索者,你是否正因《无限轮回》主线第三章“红妆阁”的复杂谜题与强敌而止步不前?无需焦虑,这份详尽的全流程通关攻略将为你层层剖析。从精细地图解析到怪物机制拆解,再到核心藏品与剧情线索的位置说明,所有关键信息一网打尽。阅读本文后,你将获
死亡搁浅2发明家岛屿前往方法路线全攻略 在《死亡搁浅2》的宏大世界中,发明家岛屿是一个充满机遇与秘密的重要地点。它如同地图上的一颗明珠,吸引着玩家前往探索。然而抵达之路并非一帆风顺,需要策略与准备。这份指南将为你详细解析前往发明家岛屿的完整流程与要点。 推进主线剧情,解锁关键任务节点 前往发明家岛屿
远光84梅歇尔高手进阶:全面玩法技巧与实战教学 许多《远光84》的玩家都想知道,游戏中的强力角色梅歇尔究竟该如何驾驭?本篇攻略将为你深度解析她的核心玩法与实战技巧,助你从入门到精通,充分发挥这位角色的战场统治力。 远光84梅歇尔深度技巧攻略: 技能释放的精髓 梅歇尔的技能组合兼具灵活性与高额伤害,掌
如何在《明日方舟:终末地》中为洛茜搭配武器:提升输出循环与技能收益的关键攻略 各位博士,大家好。在《明日方舟:终末地》中,六星近卫干员洛茜凭借独特的物火混伤与破防叠加机制,成为了战场上的关键角色。她的武器选择,不仅直接影响输出手感的流畅度,更决定了技能加成的最终上限。本文将为您提供一套详尽的洛茜武器














