MicroStrategy机遇与风险:戴维斯双击与双杀
上周我们讨论了Lido在监管环境变化中可能获益的潜力,希望能帮助大家抓住这波“买谣言”的交易机会。本周我们来聊聊MicroStrategy(微策略)的热点话题。许多前辈对这家公司的运作模式进行了点评,我也在深入研究后有了自己的见解,想与大家分享。我认为MicroStrategy股价上涨的原因在于“戴维斯双击”效应。通过融资购买BTC的业务设计,公司将BTC的增值与自身盈利绑定,并通过传统金融市场的创新融资渠道获得资金杠杆,使公司能够超越BTC增值带来的盈利增长。随着持仓量的扩大,公司还获得了一定的BTC定价权,进一步强化了盈利增长预期。然而,这种模式的风险也在于此。当BTC市场出现震荡或反转时,BTC的盈利增长将停滞,公司的经营支出和债务压力会影响其融资能力,进而影响盈利增长预期。如果没有新的动力推动BTC价格上涨,MSTR股价相对于BTC持仓的正溢价将迅速收敛,这就是所谓的“戴维斯双杀”。
2025虚拟币交易平台推荐:
- 欧易(OKX)交易平台(>>>进入官网<<<)(下载OKX的Android安装包)
- 币安(Binance)交易平台(>>>进入官网<<<)(下载币安Android安装包)
何为戴维斯双击和双杀
熟悉我的朋友应该知道,我致力于帮助更多非金融专业的朋友理解这些动态,因此我会分享自己的思考逻辑。首先,让我们补充一些基本知识,了解“戴维斯双击”和“双杀”是什么。
“戴维斯双击”(Davis Double Play)是由投资大师克里夫顿·戴维斯(Clifford Davis)提出的,通常用来描述在良好的经济环境下,企业因两个因素而出现股价大幅上涨的现象。这两个因素是:
公司盈利增长:公司实现了强劲的盈利增长,或者其业务模式、管理层等方面的优化,导致利润提升。
估值扩张:由于市场对该公司前景更加看好,投资者愿意为其支付更高的价格,从而推动股票估值的提升。也就是说,股票的市盈率(P/E Ratio)等估值倍数扩张。
具体催动“戴维斯双击”的逻辑如下:首先,公司业绩超预期,收入和利润都在增长。例如,产品销售好、市场份额扩大或成本控制成功等,这些将直接导致公司的盈利增长。而这种增长同时也会让市场对公司未来前景的信心增强,导致投资者愿意接受更高的市盈率P/E,为股票支付更高的价格,估值开始扩张。这种线性和指数结合的正反馈效应通常会导致股票价格呈现加速上涨,就是所谓“戴维斯双击”。
举例来说明这个过程,假设某公司当前的市盈率是15倍,预计其未来盈利将增长30%。如果由于公司盈利的增长以及市场情绪的变化,投资者愿意为其支付18倍的市盈率,那么即使盈利增长率不变,估值的提升也会推动股价大幅上涨,例如:
当前股价:$100
盈利增长30%,意味着每股盈利(EPS)从$5增加到$6.5。
市盈率从15增长到18。
新的股价:$6.5 × 18 = $117
股价从$100上涨到$117,体现了盈利增长和估值提升的双重作用。
而“戴维斯双杀”则与之相反,通常用来描述在两个负面因素的共同作用下,导致股价的快速下跌。这两个负面因素分别是:
公司盈利下降:公司的盈利能力下降,可能是因为收入减少、成本上升、管理失误等因素,导致盈利低于市场预期。
估值收缩:由于盈利下降或市场前景变差,投资者对公司未来的信心下降,导致其估值倍数(如市盈率)下降,股价下跌。
整个逻辑如下:首先,公司未能达成预期的盈利目标,或者面临经营困难,导致业绩不佳,盈利下降。而这会进一步使得市场对其未来的预期变差,投资者信心不足,不愿意接受当前高估的市盈率,只愿为股票支付更低的价格,从而导致估值倍数下降,股价进一步下跌。
同样举例来说明这个过程,假设某公司当前的市盈率是15倍,预计其未来盈利将下降20%。由于盈利下降,市场开始对该公司的前景产生疑虑,投资者开始降低其市盈率。例如,将市盈率从15降低到12。股价可能因此大幅下跌,例如:
当前股价:$100
盈利下降20%,意味着每股盈利(EPS)从$5降低到$4。
市盈率从15降低到12。
新的股价:$4 × 12 = $48
股价从$100下跌到$48,体现了盈利下降和估值收缩的双重作用。
这种共振效应通常发生在高成长股中,尤其是在很多科技股体现很明显,因为投资人通常愿意为这些公司业务未来增长给予较高的预期,然而这种预期通常会有比较大的主观因素支撑,所以相应的波动性也很大。
MSTR的高溢价是如何造成的,又为什么会成为其商业模式的核心
在补充了这个背景知识后,我想大家应该能够大概了解MSTR相对于其BTC持仓的高溢价是如何产生的了。首先,MicroStrategy将自身业务从传统的软件业务,切换到了融资购买BTC,当然不排除未来有相应的资管营收。这就意味着这家企业的盈利来源于其通过稀释股权和发债所获得资金购买的BTC增值的资本利得。伴随着BTC的增值,所有投资人的股东权益将相应变大,投资人因此获益,在这一点上MSTR与其他BTC ETF无异。
而产生区别的在于其融资能力带来杠杆效应,因为MSTR投资人对公司未来盈利增长的预期是来源于其融资能力的增长而获得的杠杆收益,考虑到MSTR的股票总市值相对于其持有的BTC总价值处于正溢价状态,也就是说MSTR的总市值高于其持有的BTC总价值。只要处于这种正溢价状态,无论股权融资和其可转债融资,伴随着将获得的资金购入BTC,都会进一步增加每股权益。这就使MSTR拥有了与BTC ETF不同的盈利增长的能力。
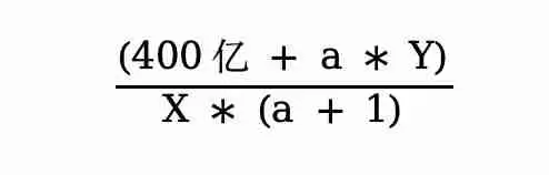
举例来说明,假设当前MSTR持有的BTC为400亿美元,总流通股X,其总市值为Y。则此时每股权益为400亿 / X。以最不利的股权稀释来融资的话,假设增发新股比例为a,这意味着总流通股变为X*(a+1),以当前估值完成融资,共计筹得a * Y亿美元。而将这些资金全部转化为BTC,则从BTC持仓变为400亿 + a * Y亿,意味着每股权益变为:
我们将它与原先的每股权益相减去计算一下稀释股权对于每股权益的增长,如下:
这就意味着当Y大于400亿,也就是其持有的BTC价值时,也就是意味着存在正溢价时,完成融资购BTC所带来的每股权益增长恒大于0,且正溢价越大,每股权益增长越高,两者呈线性关系,而至于稀释比例a的影响,在第一象限呈现反比例特征,这就意味着,增发股份越少,权益增长幅度越高。
所以对于Michael Saylor来说,MSTR市值与其持有的BTC价值的正溢价是其商业模式成立的核心因素,因此他的最优选择就是如何维护这个溢价的同时不断融资,增加自己的市占率,获得更多对BTC的定价权。而定价权的不断增强,又会增强投资人在高市盈率的情况下还会对未来成长保持信心,使其能够完成募资。
总结一下,MicroStrategy商业模式的奥秘就在于,BTC升值带动公司盈利上升,而BTC增长趋势向好则意味着企业盈利增长趋势向好,在这种“戴维斯双击”的支持下,MSTR正溢价开始放大,所以市场在博弈的是MicroStrategy能够以多高的正溢价估值完成后续融资。
MicroStrategy给行业带来的风险是什么
接下来我们来聊一下MicroStrategy给行业带来的风险,我认为其核心在于这种商业模式会显著增加BTC价格的波动性,充当波动的放大器。其原因在于“戴维斯双杀”,而BTC进入高位震荡期就是整个多米诺骨牌开始的阶段。
让我们试想一下当BTC的涨幅放缓,进入震荡期时,MicroStrategy的盈利不可避免的开始下降,在这里想要展开讲一下,我看到有小伙伴非常看重其持仓成本,以及浮盈规模。这是没有意义的,原因在于在MicroStrategy的商业模式里,盈利是透明且相当于实时结算的,在传统股票市场里我们知道,真正造成股价波动的因素是财报,只有季度财报公布,其真实盈利水平才会被市场确认,在此之间,投资人只是根据一些外部信息去预估财务情况的变化。也就是说,在大多数时间,股价的反应是滞后于其公司真实的盈收变化的,这种滞后关系会在每季度财报公布时被矫正。然而在MicroStrategy的商业模式里,由于其持仓规模以及BTC的价格都属于公开信息,因此投资人可以实时了解其真实的盈利水平,而且不存在滞后效应,因为每股权益是随其动态变化的,相当于盈利实时结算。既然如此,股价就已经真实反应其所有盈利,不存在滞后效应,因此再去关注其持仓成本是无意义的。
把话题拉回,来看下“戴维斯双杀”是如何展开的,当BTC的增长放缓,进入振荡阶段,MicroStrategy的盈利将不断降低,甚至归零,此时固定的经营成本以及融资成本又会进一步缩小企业盈利,甚至处于亏损的状态。而此时这种震荡将不断消磨市场对后续BTC价格发展的信心。而这会转化为对MicroStrategy融资能力的质疑,从而进一步打击对于其盈利增长的预期,在这两者的共振下,MSTR的正溢价将会快速收敛。而为了维护其商业模式的成立,Michael Saylor是必须要维护正溢价的状态的。所以通过出售BTC换回资金回购股票是必须要做的操作,而这就是MicroStrategy开始卖出其第一颗BTC的时刻。
有小伙伴要问,就拿着BTC不动,让股价自然落体不就行了。我的回答是不可以,更精确点来说是当BTC价格出现反转时不可以,震荡时倒是可以适当容忍,原因在于MicroStrategy当前的股权结构,以及对于Michael Saylor来说,什么才是最优解。
根据当前MicroStrategy的持股比例中,不乏一些顶级的财团,例如Jane Street和贝莱德等,而作为创始人的Michael Saylor仅占10%不到,当然通过双层股权的设计,Michael Saylor拥有的投票权具有绝对优势,因为其持有的股票更多的是B类普通股,而B类普通股的投票权于A类是10:1的关系。所以这家公司还处在Michael Saylor强有力的控制下,但是其股权占比并不高。
这就意味着对Michael Saylor来说,公司的长远价值是远高于其持有的BTC的价值的,因为假设公司面临破产清算,其能获得的BTC也不多。
那么在震荡阶段卖出BTC,回购股票来维护溢价的好处是什么呢。答案也显而易见,当出现溢价收敛时,假设Michael Saylor判断此时MSTR的市盈率因恐慌处于低估的状态,则通过出售BTC换回资金,并从市场中回购MSTR是一笔划算的操作。因此此时回购对于流通量的减小而放大每股权益的效果将高于BTC储备减小而缩小每股权益的效果,当恐慌结束后,股价拉回,每股权益将因此变得更高,有利于后续发展,这种效果在BTC趋势反转的极端情况下,MSTR出现负溢价时更容易理解。
而考虑到当前Michael Saylor的持仓量,而且当出现震荡或下行周期时,流动性通常是收紧的,那么当它开始抛售的时候,BTC的价格下跌将加速。而下跌加速又会进一步恶化投资人对MicroStrategy盈利增长的预期,溢价率进一步走低,而这有迫使其卖出BTC回购MSTR,此时“戴维斯双杀”开始。
当然还有一个迫使其出售BTC维护股价的原因在于,其背后的投资人是一群手眼通天的Deep State,不可能眼看着股价归零,而无动于衷,势必给到Michael Saylor压力,迫使其承担其市值管理的责任。而且查到最近资讯,显示随着不断的股权稀释,Michael Saylor的投票权已经低于50%,当然具体的消息源没有找到。但这个趋势似乎是不可避免的。
MicroStrategy的可转债是否在到期前真的没有风险
经过上面的讨论,我想我已经把我的逻辑完整的阐述了。再此还希望可以讨论一个话题,MicroStrategy是否在短期内没有债务风险。已经有前辈对MicroStrategy的可转债的性质做过介绍,我在这不展开讨论。的确,其债务久期还蛮久。在到期日来临之前确实没有偿付风险。但我的观点是其债务风险还是有可能通过股价提前反馈的。
MicroStrategy发的可转债本质上是一个叠加了免费的看涨期权的债券,到期时债权人可以要求微策略以之前约定好的转换率股票等值进行赎回,但是这里对微策略也有保护,就是微策略可以主动选择赎回方式,用现金、股票或者两者的组合,这样相对灵活一些,如果资金充裕就多偿还些现金,避免股权被稀释,如果资金不充裕,那就多搭点股票,而且这个可转债是无担保的,所以确实偿债带来的风险倒是不大。而且这里对微策略还有个保护,就是溢价率超过130%,微策略也可以选择直接现金原值赎回,这就给了续贷谈判创造了条件。
所以这个债的债权人,只有在股价高于转换价格,同时低于转换价格的130%之间,才会有资本利得,除此之外就只有本金加低息。当然经过Mindao老师的提醒,这个债券的投资人主要还是对冲基金用来做Delta hedging,赚取波动率收益。因此详细思考了下背后的逻辑。
通过可转债进行Delta hedging具体的操作主要是通过购买MSTR可转债,同时卖空等量的MSTR股票,以对冲股票价格波动带来的风险。而且伴随着后续价格发展,对冲基金需要不断调整仓位动态对冲。而动态对冲通常有以下两种场景:
当MSTR股价下跌时,可转债的Delta值降低,因为债券的转换权变得更不值钱(更接近“虚值”)。那么此时需要卖空更多的MSTR股票以匹配新的Delta值。
当MSTR股价上涨时,可转债的Delta值增加,因为债券的转换权变得更有价值(更接近“实值”)。那么此时通过买回部分先前卖空的MSTR股票以匹配新的Delta值,从而保持组合的对冲性。
动态对冲需要在以下情况下进行频繁调整:
标的股价显著波动:如比特币价格大幅变化导致MSTR股价剧烈波动。
市场条件变化:如波动率、利率或其他外部因素影响可转债定价模型。
通常对冲基金会根据Delta的变化幅度(如每变动0.01)触发操作,保持组合的精确对冲。
我们来举一个具体的场景用于说明,假设一个对冲基金的初始持仓如下
买入价值1000万美元的MSTR可转债(Delta = 0.6)。
卖空价值600万美元的MSTR股票。
当股价从$100涨到$110,可转债的Delta值变为0.65,则此时需调整股票头寸。计算需回补股票数为(0.65−0.6)×1000万=50万。具体操作为买回50万美元的股票。
而当股价从$100回落到$95,可转债新的Delta值变为0.55,需调整股票头寸。计算需增加空头股票为(0.6−0.55)×1000万=50万。具体操作为卖空50万美元的股票。
这就意味着当MSTR价格下跌时,其可转债背后的对冲基金为了动态对冲Delta,将会卖空更多的MSTR股票,进而进一步打击MSTR股价,而这就会对正溢价产生负面影响,进而影响整个商业模式,因此债券端的风险是会通过股价提前反馈。当然在MSTR的上行趋势中,对冲基金会购入更多的MSTR,所以也是一种双刃剑。
相关攻略
比特币回踩关键支撑区,这轮调整的“黄金坑”出现了吗? 近期,全球知名投资机构富达的全球宏观经济总监 Jurrien Timmer 在社交媒体分享的一张技术图表,引发了市场的广泛关注。图表清晰揭示,比特币价格正在 6 5 万至 7 万美元的核心区间内持续震荡。在经历了一场从 12 6 万美元高位回落至
凯茜·伍德:比特币(BTC)暴跌接近尾声,同时提出新的3 4万美元目标 ARK Invest的掌门人凯茜·伍德又发声了。4月1日,她在接受CNBC采访时给出了一个让币圈稍感宽慰的判断:那个动辄从历史高点暴跌85%甚至更多的比特币,可能已经成为“过去式”了。 这位长期力挺加密货币的投资界明星明确表示,
比特币与宏观经济共振:减半叙事终结,美股周期开启 加密货币市场的底层叙事逻辑,正在发生一场静默但深刻的革命。过去十年主导市场的“比特币减半周期”理论,其影响力正在显著褪色。一种新的共识逐渐浮出水面:以比特币为代表的数字资产,其价格脉搏正日益与美股市场及全球宏观经济周期同频共振。这不仅是简单的关联性增
2025年机构加密投资狂飙:退休金入市,比特币ETF引爆万亿新纪元 如果说过去几年是机构资金的试探期,那么2025年无疑标志着全球资本大举涌入加密市场的元年正式开启。以比特币现货ETF获批为起点,一场由合规金融产品和颠覆性政策共同驱动的结构性变革,正以前所未有的深度重塑加密资产格局。一个信号至关重要
关键要点 2025年的比特币挖矿竞赛,格局已然清晰。行业领头羊MARA Holdings凭借超过57 EH s的算力与5万枚比特币的庞大储备稳坐头把交椅;而绿色能源的采用,则成为Riot Platforms和Iris Energy这样的公司定义自身优势的关键标签。与此同时,一个显著的趋势正在蔓延:领
热门专题
热门推荐
OPPO A6k手机重磅发布:天玑6300处理器、高清LCD直屏、7000mAh超大电池,售价仅1999元起 OPPO旗下广受欢迎的A系列再添实力新机。近日,备受期待的OPPO A6k正式上市发售。这款新品搭载了备受好评的天玑6300八核处理器,并配备了一块容量高达7000mAh的耐用长寿电池,成为
速览 在《红色沙漠》的广阔世界中,数量丰富的支线任务与主线剧情共同构筑了沉浸式的冒险体验。其中,“熔化锁链的火焰”任务作为瑟金斯家族剧情线的关键环节,其触发机制与主线进程紧密相连。任务并非随时可用,玩家需将主线故事推进到特定阶段后,任务才会自动添加至任务日志。本篇攻略将为你详解此支线任务的接取条件与
《异种航员2》运动机制深度解析 在《异种航员2》(Xenonauts 2)的策略战斗中,对“时间单位”(TU)的高效运用是取胜的核心。每个士兵的移动、射击乃至战术配合,都依赖于玩家对TU的精确规划。操作上手简单:选中单位后,直接使用鼠标左键点击目的地方格,系统便会清晰显示移动所需消耗的时间单位,帮助
速览 在《异种航员2》(Xenonauts 2)的战局中,掌握“战术规避”与精通“火力输出”同等关键。游戏全新设计的掩体系统,是提升你作战小队生存几率的战略性核心。简言之,战场上绝大多数可见的物体都能转化为你的战术屏障。无论是散落的木箱、残缺的矮墙,还是茂密的灌木丛与坚实的建筑物,巧妙地利用它们,就
速览 在开放世界大作《红色沙漠》中,庞大的支线任务系统为玩家提供了丰富的探索体验。其中,“超凡建造物”任务是阿方索家族势力任务线中的重要一环。要成功接取此任务,玩家必须首先完成其前置任务【枪械名门】。在此之后,任务的下一步关键操作是前往游戏中标注的特定建筑地点进行互动调查——这本质上是一个用于快速移








