下一个ICP?详解去中心化计算机Quilibrium
撰文:lydia wu
大家都在用的虚拟币交易平台推荐:
- OKX(欧易)>>>进入官网<<< >>>官方下载<<<
- Binance(币安)>>>进入官网<<< >>>官方下载<<<
读者应知悉:由于 Quilibrium 的主网尚未发布,且目前的公开信息较少,本文中关于激励机制、经济模型、融资历史、路线图等的描述仅立足于当下的时间点,实际情况在未来可能发生改变。本文的写作主要出于研究与科普目的,请勿作为投资参考,同时也欢迎同业的批评探讨。
1. 报告要点1.1 核心投资逻辑Quilibrium 试图在传统互联网的计算能力和区块链的去中心化之间找到一个「平衡」,并为此设计了一套独特的去中心化云计算架构Quilibrium 构建了一套基于数据库的操作系统,在开发体验上更贴近传统软件,可能将会吸引更多的传统软件开发者,以及方便目前的 Web3 开发者构建更加复杂的加密应用Quilibrium 的设计强调安全和隐私,对于不希望暴露敏感数据,又期望使用加密技术的企业来说具备较大的吸引力;对于个人来说,Farcaster 的初步破圈也证明了去中心化应用在获取用户以及产生收益方面的长期潜力创始人兼 CEO Cassie Heart 是前 Coinbase 高级工程师、Farcaster 开发者,团队拥有丰富的经验、稳定的交付能力和鲜明的个性1.2 主要风险项目处于非常早期的阶段,主网尚未发布,且项目复杂度较高,技术可行性和市场需求的验证尚未完成短期内可能会面临来自知名度更高的 Arweave AO 在用户心智和开发者方面的竞争没有固定的通证模型,代币释放速率可能不稳定,对于投资者来说增加了一定风险1.3 估值由于 Quilibrium 尚处于非常早期的阶段,我们暂时无法得出项目的准确估值。但从流通市值和全流通市值来看,相比概念有重合度的其他市场玩家,Quilibrium 目前的市值具备一定的吸引力。
2.业务分析Quilibrium 自己定位为「去中心化的互联网层协议,提供云计算的便利而不牺牲隐私或可扩展性」,以及「去中心化的PaaS解决方案」。针对这一定位,本部分将围绕以下几个问题对 Quilibrium 的业务进行阐述。
传统互联网的云计算有什么问题?我们为什么需要(又)一个去中心化的计算机?与目前主流的区块链设计相比,Quilibrium 有什么特殊之处?来源:Cassie Heart 的 Farcaster 账号登录后复制2.1 业务定位
2.1.1 从计算谈起
无论在 Web2 还是 Web3, 「计算」都是一个至关重要的概念,是应用开发、执行和扩展的动力来源。
在传统互联网架构中,计算任务通常由中心化的服务器完成。云计算的出现提高了计算的可扩展性、可访问性和成本效率,并逐渐取代传统计算成为主流。
从服务内容看,大型云服务商提供的云服务模型通常可以分为基础设施即服务 (IaaS) , 平台即服务 (PaaS) 和软件即服务 (SaaS) 三大类,分别对应不同需求和能力的主体,提供对资源的不同级别的控制能力。一般终端用户比较熟悉的是 SaaS。PaaS 和 IaaS 主要面向开发人员。
来源:Lydia @ Mint Ventures登录后复制
来源: S2 Lab, Lydia @ Mint Ventures登录后复制
在以太坊等主流区块链中,计算通常由去中心化节点完成。这种方式不依赖中央控制的服务器,每个节点在本地执行计算任务,并通过共识机制确保数据的正确和一致,但去中心化计算的能力和处理速度通常无法与传统云服务相比。
而 Quilibrium 试图在传统互联网的计算能力和可扩展性,以及区块链的去中心化之间找到一个「平衡」,为应用开发开辟新的可能。
来源: Cassie Heart 的直播录屏登录后复制
2.1.2 计算机系统的中心化问题
对于大部分终端用户来说,计算机的中心化问题并不易于感知。这是因为终端用户直接面对的大多是硬件层面的计算机系统。我们的 PC、手机等设备分散在世界各地,并在个人控制下独立运行。这种分布式的物理存在使得计算机系统在硬件层面不一定中心化。
与相对分散的硬件形成对比的是,现有的计算机系统在网络架构和云计算服务层面明显更加中心化——亚马逊 AWS, 微软 Azure, Google Cloud 在 2024 年一季度的云服务市场份额超过 67%,与后来者拉开了显著的差距。
来源:Synergy Research Group登录后复制
并且,作为 AI 浪潮「卖水人」,云服务商强者恒强的趋势似乎还在延续。微软 Azure 作为 OpenAI 的独家云服务提供商,近一年来的业绩增速一改往日颓势,呈现出加速增长的态势。在微软 2024 财年第三财季(即 2024 自然年一季度)财报中,Azure 和其他云服务的收入增长了 31%,高于市场预期的增长 28.6%。
来源: Microsoft, Lydia @ Mint Ventures登录后复制
除了市场竞争层面的考量,中心化的计算机系统带来的隐私和安全问题也愈发得到关注——几家大型云服务商的每一次宕机都会产生大范围的影响。数据显示,从 2010 年至 2019 年间,AWS 累计出现过 22 次突发故障,年均故障次数达 2.4 次。除了亚马逊自身的电商业务受影响之外,使用 AWS 的 Robinhood、迪士尼、Netflix、任天堂等公司的网络服务也大规模中断。
2.1.3 去中心化计算机的提出
在此背景之下,去中心化计算机的必要性被反复提出。由于近年来中心化云服务商越来越多地采用分布式架构,通过在多个地点复制数据和服务来避免单点故障,以及通过边缘存储来提升性能,去中心化计算的叙事重点逐渐转移到数据安全、隐私、可扩展性和成本效益上。
我们首先来辨析几个由不同项目提出来的去中心化计算机的概念,它们的共同特征是希望通过分散数据存储和处理,构建一个全球性的分布式计算平台,支持去中心化应用的开发。
世界计算机 (World Computer): 一般指以太坊,提供一个全球性的智能合约执行环境,其核心功能是去中心化的计算和智能合约的全球统一执行互联网计算机 (Internet Computer): 一般指由 Dfinity 基金会开发的 ICP,目标是扩展互联网的功能,实现去中心化的应用直接在互联网上运行超并行计算机(Hyper Parallel Computer): 一般指由 Arweave 提出的 AO 协议,是一种基于 Arweave 网络运行的分布式计算系统,特点是高并行性和高容错性值得注意的是,ICP, AO 和 Quilibrium 都不是传统意义上的区块链。它们不依赖线性的区块排列结构,但保持了区块链的核心原理如去中心化、数据不可篡改等,可以被视为是区块链技术范畴的自然扩展。虽然 ICP 至今未能将其宏图伟业落实,但 AO 和 Quilibrium 的出现确实带来了一种影响 Web3 未来的新可能性。
下表对比了三者的技术特点和应用方向,以期帮助读者理解「Quilibrium 是否会重蹈ICP覆辙」,以及同样作为去中心化计算的前沿解决方案,Quilibrium 和被称为「以太坊杀手」的AO有什么区别。
2.2 共识机制在传统区块链中,共识机制处于一个较为抽象和核心的层面,它定义了网络如何达成一致、如何处理和验证交易以及其他操作。不同的共识机制选择将影响网络的安全性、速度、扩展性和去中心化程度等。
Quilibrium 的共识机制被称为「有意义的工作证明」 (Proof of Meaningful Work/PoMW),矿工被要求完成对网络有实际意义的工作,比如数据存储、数据检索、网络维护等。PoMW 共识机制的设计整合了如密码学、多方计算、分布式系统、数据库架构和图论等多个领域,旨在降低对单一资源 ( 如能源或者资本 ) 的依赖,确保网络的去中心化程度,以及在网络规模扩大的同时也能保持安全性和扩展性。
激励机制是确保共识机制能够顺利运行的关键。Quilibrium 的激励分配不是静态的,而是会根据网络状态动态调整,以保障激励与需求相匹配。Quilibrium 还引入了多重证明机制,允许一个节点验证多个数据片段,在节点和核心资源不足时依然可以维持网络运行。
我们可以用一个简化的公式来理解矿工的最终收益,其中单位奖励会根据网络规模动态调整。
收益=评分×单位奖励
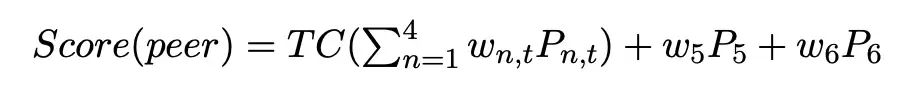
评分的计算基于多种因素,具体公式如下:
其中,各个参数定义如下:
Time in Mesh for Topic: 参与时间长、稳定性高,评分越高First Message Deliveries for Topic: 首次传递消息的次数越多,评分越高Mesh Message Delivery Rate/Failures for Topic: 传递率高且失败率低的节点评分更高Invalid Messages for Topic: 传递无效消息的次数越少,评分越高相关攻略
区块链主网深度解析:从信任基石到市场引擎 在Web3和区块链的世界里,主网是一个项目从蓝图走向现实的里程碑。它不仅是代码的运行环境,更是整个加密生态价值流转与信任构建的基石。理解主网,是理解DeFi、NFT乃至元宇宙等所有上层应用如何运转的关键。本文将深入剖析区块链主网的核心作用、演进历程及其对加密
区块链不可能三角终极指南:去中心化、安全与扩展性的深度博弈 在区块链技术演进的道路上,一个被称为“不可能三角”的核心理论始终是开发者与研究者无法绕开的终极命题。该理论指出,任何区块链系统都难以在去中心化、安全性和可扩展性这三个维度上同时达到最优。无论是比特币、以太坊,还是新兴的Solana、BNB
模块化区块链革命:深度解析Celestia架构与TIA价值 当区块链世界陷入“不可能三角”的困境,性能、安全与去中心化难以兼得时,一场深刻的架构革命正在悄然发生。传统“大而全”的单体区块链设计,正被一种更具弹性与扩展潜力的新范式所取代——这就是模块化区块链。本文将深入剖析这一趋势的核心,并聚焦于该领
零知识证明深度解析:区块链隐私与性能的革命性技术 在数字时代,如何在证明自己知晓一个秘密的同时,却对这个秘密本身守口如瓶?这听起来像是一个哲学悖论,但零知识证明(Zero-Knowledge Proof, ZKP)这一密码学奇迹使之成为现实。它正在重塑Web3、区块链隐私与可扩展性的格局,成为驱动下
所有资讯均经过区块链领域顶尖专家和资深业内人士的严格事实核查。近日,一则来自彭博社的报道在Web3与金融圈引发广泛关注:香港另类资产管理公司Flow Capital Partners,计划通过现实世界资产代币化平台DigiFT,将其规模达1 5亿美元的私募信贷基金份额进行链上发行。这标志着资产代币化
热门专题
热门推荐
Incerto Observability是什么 在监控工具这个领域,我们常常面临一个选择题:是选择功能强大但黑盒化的商业套件,还是拥抱灵活却需要大量自研投入的开源方案?Incerto Observability的出现,似乎提供了一个折中的答案。这款由 Incerto Technologies 开发
《灰烬之国》深度评测:硬核肉鸽与叙事融合,是否值得长期投入? 近期,一款名为《灰烬之国》的 Roguelike 手游在玩家社群中热度显著上升。它尤其吸引了那些钟爱高自由度构筑与强随机性挑战的硬核玩家群体。本作成功地将深度叙事与复杂的玩法系统相结合,那么,它是否值得你投入大量时间进行深入体验?我们来全
大数据量插入的性能瓶颈分析在数据库操作中,直接使用简单的INSERT语句处理海量数据时,往往会遭遇显著的性能瓶颈。当数据量达到百万甚至千万级别时,单次事务过大、日志写入压力剧增、锁竞争激烈以及网络传输超时等问题会集中爆发,导致插入操作异常缓慢,甚至引发事务回滚或连接中断。其中,数据库的事务日志(如M
《红色沙漠》弓箭爆炸输出流玩法攻略分享 在《红色沙漠》这款游戏中,追求极致伤害与爽快战斗体验的玩家,往往会对弓箭爆炸输出流青睐有加。该流派以其卓越的爆发能力和广泛的适应性,堪称应对各类高难度BOSS与副本的“万金油”选择。其核心魅力在于通过精妙的技能组合,在短时间内倾泻出毁灭性的伤害。如果你渴望掌握
理解 insert into select 的核心概念在数据库操作中,数据的复制与迁移是一项常见任务。insert into select 语句正是为此而生的强大工具。它并非两个独立命令的简单拼接,而是一个将数据查询与数据插入无缝结合的单步操作。其基本语法结构为:INSERT INTO 目标表 (列













