终末阵线伊诺贝塔英雄养成攻略
终末阵线伊诺贝塔英雄养成是这个游戏中最重要的一个内容,在游戏中的提升对于我们来说是非常的重要的,其中英雄的升级算是比较简单的,下面小编带来的就是终末阵线伊诺贝塔英雄升级经验计算,看看我们在游戏中该怎么样才能够让我们呢的战斗力变得更加的强大吧。
免费影视、动漫、音乐、游戏、小说资源长期稳定更新! 👉 点此立即查看 👈
1、 人物升级(所需资源:联合币、研修课程)
由于游戏中人物成长模型较为简练,因此我收集了人物的升级数据后用MATLAB拟合出了人物成长回归曲线。
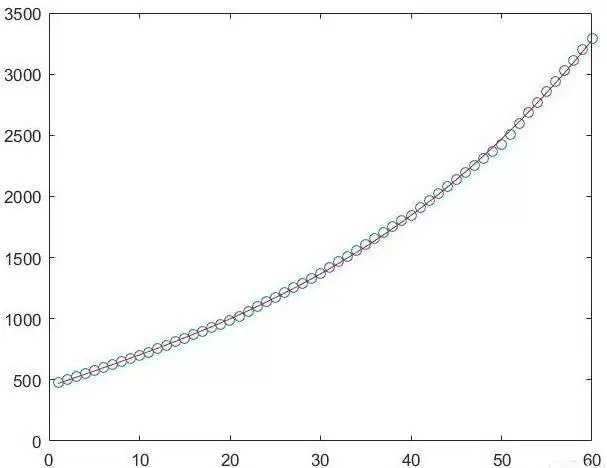
SSR骑士的回归方程为:Y=0.0061X 3-0.0014X 2+25.2558X+445.5721
经验证,拟合回归方程的误差数值在5以内,可以认为方程有效。

(SSR骑士)
从图中我们可以直观的看到,骑士升级并不存在显著的边际效益递减,因此从长期来说,升级是对人物成长收益最高的系统,建议玩家将其优先级设为最高。
2、 基因改造(所需资源:联合币,芯片,序列)
在第一阶的基因改造中,除了技能升级外,总共提供了900点耐久以及300点攻击,相当于SSR人物前三十级成长收益总和。
而如此高的收益,只需要24000联合币以及16个微型芯片。因此,基因改造虽然存在边际递减的现象,但在前期高的惊人的收益足以让玩家将其列为第二优先级的成长系统。

想了解最新最热手游攻略秘籍,这里每天都有最新的资讯等你来看!敬请关注“游乐网”。
热门专题
热门推荐
加密货币行业翘首以盼的监管里程碑,终于有了实质性进展。美国证券交易委员会(SEC)主席保罗·阿特金斯(Paul Atkins)近日证实,那份允许加密项目在早期获得注册豁免权的“安全港”框架提案,已经正式送抵白宫,进入了最终审查阶段。 在范德堡大学与区块链协会联合举办的数字资产峰会上,阿特金斯透露了这
微策略Strategy报告:第一季录得144 6亿美元浮亏 再斥资约3 3亿美元买进4871枚比特币 市场震荡的威力有多大?看看Strategy的最新季报就明白了。根据其最新向美国证管会(SEC)提交的8-K报告,受市场剧烈波动影响,这家公司所持的比特币在第一季度录得了一笔惊人的数字——144 6亿
稳定币巨头Tether的动向,向来是加密世界的风向标。这不,它向Web3基础设施的版图扩张,又迈出了关键一步。公司执行长Paolo Ardoino在社交平台X上透露,其工程团队正在全力“烹制”一个新项目——去中心化搜索引擎 “Hypersearch”。这个消息一出,立刻引发了行业的广泛猜想。 采用D
基地位于Coinbase旗下以太坊Layer2网络Base的Seamless Protocol,日前正式宣告了服务的终结。这个曾经吸引了超过20万用户的原生DeFi借贷协议,在运营不到三年后,终究没能跑赢时间。它主打的核心产品是Integrated Leverage Markets(ILMs)——一
PAAL代币揭秘:深度解析Web3社区治理的核心钥匙 在去中心化自治组织的浪潮中,谁真正掌握了项目的话语权?PAAL代币提供了一套系统化的答案。它不仅是生态内流转的价值媒介,更是开启链上治理大门的核心凭证。通过持有并质押PAAL代币,用户能够对协议升级、资金分配乃至战略方向等关键事务投出决定性的一票





